Reduced Cross-Frequency Coupling and Daytime Sleepiness in Obstructive Sleep Apnea Patients
Abstract
Simple Summary
Abstract
1. Introduction
2. Methods
2.1. Study Participants
2.2. Data Acquisition
2.3. Data Analysis (Preprocessing)
2.4. Data analysis (Modulation Index)
2.5. Data Analysis (Statistical Analysis)
2.6. Scientific Control
2.7. Data Availability
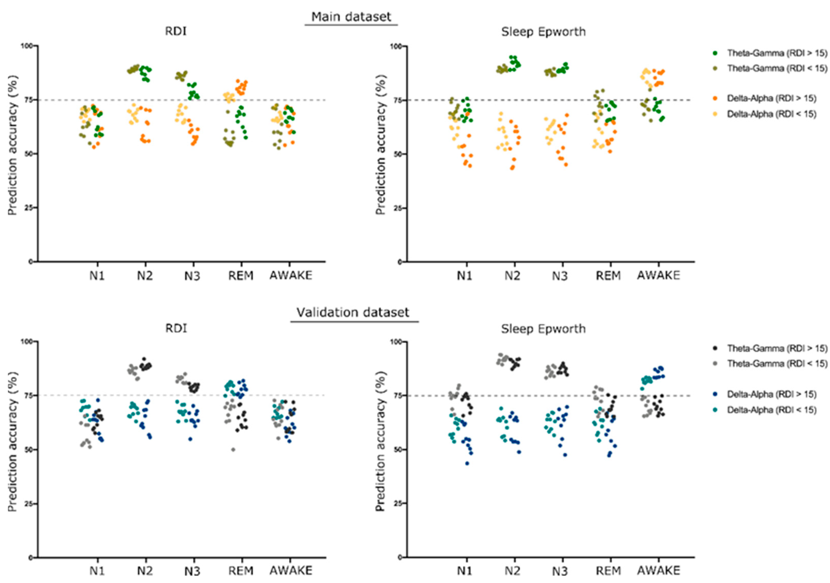
3. Results
3.1. First (Main) Dataset
3.2. Validation Dataset
3.3. Scientific Control Findings
4. Discussion
4.1. Theta–Gamma Phase–Amplitude Coupling
4.2. Delta–Alpha Phase–Amplitude Coupling
4.3. Sleep Stage Classification
4.4. REM Sleep
4.5. Patient-Reported Excessive Daytime Sleepiness
4.6. Cross-Frequency Coupling and Brain Function
4.7. Therapeutic and Clinical Practice Implications
4.8. Implications for Future Research and Limitations
5. Conclusions
Supplementary Materials
Author Contributions
Funding
Institutional Review Board Statement
Informed Consent Statement
Data Availability Statement
Acknowledgments
Conflicts of Interest
References
- Heinzer, R.; Vat, S.; Marques-Vidal, P.; Marti-Soler, H.; Andries, D.; Tobback, N.; Mooser, V.; Preisig, M.; Malhotra, A.; Waeber, G.; et al. Prevalence of sleep-disordered breathing in the general population: The HypnoLaus study. Lancet Respir. Med. 2015, 3, 310–318. [Google Scholar] [CrossRef]
- Guilleminault, C.; Ramar, K. Neurologic Aspects of Sleep Apnea: Is Obstructive Sleep Apnea a Neurologic Disorder? Skull Base 2009, 29, 368–371. [Google Scholar] [CrossRef] [PubMed]
- Gouveris, H.; Eckert, D. Editorial: Obstructive Sleep Apnea and the Brain. Front. Surg. 2018, 5, 78. [Google Scholar] [CrossRef] [PubMed]
- Strollo, P.J., Jr.; Soose, R.J.; Maurer, J.T.; De Vries, N.; Cornelius, J.; Froymovich, O.; Hanson, R.D.; Padhya, T.A.; Steward, D.L.; Gillespie, M.B.; et al. Upper-Airway Stimulation for Obstructive Sleep Apnea. N. Engl. J. Med. 2014, 370, 139–149. [Google Scholar] [CrossRef]
- Gouveris, H.; Bahr, K.; Schmitt, E.; Abriani, A.; Boekstegers, T.; Fassnacht, S.; Huppertz, T.; Groppa, S.; Muthuraman, M. Corticoperipheral neuromuscular disconnection in obstructive sleep apnoea. Brain Commun. 2020, 2, fcaa056. [Google Scholar] [CrossRef]
- Zhang, Q.; Wang, D.; Qin, W.; Li, Q.; Chen, B.; Zhang, Y.; Yu, C. Altered Resting-State Brain Activity in Obstructive Sleep Apnea. Sleep 2013, 36, 651–659. [Google Scholar] [CrossRef]
- Park, B.; Palomares, J.A.; Woo, M.A.; Kang, D.W.; Macey, P.; Yan-Go, F.L.; Harper, R.M.; Kumar, R. Disrupted functional brain network organization in patients with obstructive sleep apnea. Brain Behav. 2016, 6, e00441. [Google Scholar] [CrossRef]
- Nadalin, J.K.; Martinet, L.-E.; Blackwood, E.B.; Lo, M.-C.; Widge, A.S.; Cash, S.S.; Eden, U.T.; Kramer, M.A. A statistical framework to assess cross-frequency coupling while accounting for confounding analysis effects. eLife 2019, 8, 44287. [Google Scholar] [CrossRef]
- Jensen, O.; Colgin, L. Cross-frequency coupling between neuronal oscillations. Trends Cogn. Sci. 2007, 11, 267–269. [Google Scholar] [CrossRef]
- Canolty, R.T.; Knight, R.T. The functional role of cross-frequency coupling. Trends Cogn. Sci. 2010, 14, 506–515. [Google Scholar] [CrossRef]
- Fries, P. A mechanism for cognitive dynamics: Neuronal communication through neuronal coherence. Trends Cogn. Sci. 2005, 9, 474–480. [Google Scholar] [CrossRef]
- Allen, E.A.; Liu, J.; Kiehl, K.A.; Gelernter, J.; Pearlson, G.D.; Perrone-Bizzozero, N.I.; Calhoun, V.D. Components of Cross-Frequency Modulation in Health and Disease. Front. Syst. Neurosci. 2011, 5, 59. [Google Scholar] [CrossRef] [PubMed]
- Cori, J.M.; Jackson, M.L.; Barnes, M.; Westlake, J.; Emerson, P.; Lee, J.; Galante, R.; Hayley, A.; Wilsmore, N.; Kennedy, G.A.; et al. The Differential Effects of Regular Shift Work and Obstructive Sleep Apnea on Sleepiness, Mood and Neurocognitive Function. J. Clin. Sleep Med. 2018, 14, 941–951. [Google Scholar] [CrossRef] [PubMed]
- Zhou, J.; Camacho, M.; Tang, X.; Kushida, C.A. A review of neurocognitive function and obstructive sleep apnea with or without daytime sleepiness. Sleep Med. 2016, 23, 99–108. [Google Scholar] [CrossRef]
- Stoffers, D.; Diaz, B.A.; Chen, G.; den Braber, A.; van’t Ent, D.; Boomsma, D.I.; Mansvelder, H.D.; de Geus, E.; van Someren, E.J.W.; Linkenkaer-Hansen, K. Resting-State fMRI Functional Connectivity Is Associated with Sleepiness, Imagery, and Discontinuity of Mind. PLoS ONE 2015, 10, e0142014. [Google Scholar] [CrossRef] [PubMed]
- Baril, A.-A.; Gagnon, K.; Arbour, C.; Soucy, J.-P.; Montplaisir, J.; Gagnon, J.-F.; Gosselin, N. Regional Cerebral Blood Flow during Wakeful Rest in Older Subjects with Mild to Severe Obstructive Sleep Apnea. Sleep 2015, 38, 1439–1449. [Google Scholar] [CrossRef] [PubMed]
- Zhu, Y.; Ren, F.; Zhu, Y.; Zhang, X.; Liu, W.; Tang, X.; Qiao, Y.; Cai, Y.; Zheng, M. Gradually Increased Interhemispheric Functional Connectivity During One Night of Sleep Deprivation. Nat. Sci. Sleep 2020, 12, 1067–1074. [Google Scholar] [CrossRef]
- Cantero, J.L.; Atienza, M.; Stickgold, R.; Kahana, M.J.; Madsen, J.R.; Kocsis, B. Sleep-dependent theta oscillations in the human hippocampus and neocortex. J. Neurosci. 2003, 23, 10897–10903. [Google Scholar] [CrossRef]
- Sanders, H.T.; McCurry, M.; Clements, M.A. Sleep stage classification with cross frequency coupling. Annu. Int. Conf. IEEE Eng. Med. Biol. Soc. 2014, 2014, 4579–4582. [Google Scholar]
- Dimitriadis, I.S.; Salis, C.; Linden, D. A novel, fast and efficient single-sensor automatic sleep-stage classification based on complementary cross-frequency coupling estimates. Clin Neurophysiol. 2018, 129, 815–828. [Google Scholar] [CrossRef]
- Vallat, R.; Walker, M.P. An open-source, high-performance tool for automated sleep staging. Elife 2021, 10, e70092. [Google Scholar] [CrossRef] [PubMed]
- Johns, M.W. A New Method for Measuring Daytime Sleepiness: The Epworth Sleepiness Scale. Sleep 1991, 14, 540–545. [Google Scholar] [CrossRef]
- Bausmer, U.; Gouveris, H.; Selivanova, O.; Goepel, B.; Mann, W. Correlation of the Epworth Sleepiness Scale with respiratory sleep parameters in patients with sleep-related breathing disorders and upper airway pathology. Eur. Arch. Oto-Rhino-Laryngol. 2010, 267, 1645–1648. [Google Scholar] [CrossRef]
- Iber, C.; Ancoli-Israel, S.; Chesson, A.L., Jr.; Quan, S.F. The AASM Manual for the Scoring of Sleep and Associated Events: Rules, Terminology and Technical Specifications, 1st ed.; American Academy of Sleep Medicine: Westchester, IL, USA, 2007. [Google Scholar]
- Berry, R.B.; Budhiraja, R.; Gottlieb, D.J.; Gozal, D.; Iber, C.; Kapur, V.K.; Marcus, C.L.; Mehra, R.; Parthasarathy, S.; Quan, S.F.; et al. Rules for Scoring Respiratory Events in Sleep: Update of the 2007 AASM Manual for the Scoring of Sleep and Associated Events. Deliberations of the Sleep Apnea Definitions Task Force of the American Academy of Sleep Medicine. J. Clin. Sleep Med. 2012, 8, 597–619. [Google Scholar] [CrossRef] [PubMed]
- Berry, R.B.; Brooks, R.; Gamaldo, C.; Harding, S.M.; Lloyd, R.M.; Quan, S.F.; Troester, M.T.; Vaughn, B.V. AASM Scoring Manual Updates for 2017 (Version 2.4). J. Clin. Sleep Med. 2017, 13, 665–666. [Google Scholar] [CrossRef] [PubMed]
- Oostenveld, R.; Fries, P.; Maris, E.; Schoffelen, J.-M. FieldTrip: Open Source Software for Advanced Analysis of MEG, EEG, and Invasive Electrophysiological Data. Comput. Intell. Neurosci. 2011, 2011, 156869. [Google Scholar] [CrossRef]
- Muthuraman, M.; Bange, M.; Koirala, N.; Ciolac, D.; Pintea, B.; Glaser, M.; Tinkhauser, G.; Brown, P.; Deuschl, G.; Groppa, S. Cross-frequency coupling between gamma oscillations and deep brain stimulation frequency in Parkinson’s disease patients. Brain 2020, 143, 3393–3407. [Google Scholar] [CrossRef]
- Hyafil, A.; Giraud, A.-L.; Fontolan, L.; Gutkin, B. Neural Cross-Frequency Coupling: Connecting Architectures, Mechanisms, and Functions. Trends Neurosci. 2015, 38, 725–740. [Google Scholar] [CrossRef]
- Jirsa, V.; Müller, V. Cross-frequency coupling in real and virtual brain networks. Front. Comput. Neurosci. 2013, 7, 78. [Google Scholar] [CrossRef]
- Tort, A.B.L.; Komorowski, R.; Eichenbaum, H.; Kopell, N. Measuring Phase-Amplitude Coupling Between Neuronal Oscillations of Different Frequencies. J. Neurophysiol. 2010, 104, 1195–1210. [Google Scholar] [CrossRef]
- Tort, A.B.L.; Kramer, M.A.; Thorn, C.; Gibson, D.J.; Kubota, Y.; Graybiel, A.M.; Kopell, N.J. Dynamic cross-frequency couplings of local field potential oscillations in rat striatum and hippocampus during performance of a T-maze task. Proc. Natl. Acad. Sci. USA 2008, 105, 20517–20522. [Google Scholar] [CrossRef] [PubMed]
- Hulsemann, J.M.; Naumann, E.; Rasch, B. Quantification of Phase-Amplitude Coupling in Neuronal Oscillations: Comparison of Phase-Locking Value, Mean Vector Length, Modulation Index, and Generalized-Linear-Modeling-Cross-Frequency-Coupling. Front. Neurosci. 2019, 13, 573. [Google Scholar] [CrossRef] [PubMed]
- Muthuraman, M.; Galka, A.; Deuschl, G.; Heute, U.; Raethjen, J. Dynamical correlation of non-stationary signals in time domain—A comparative study. Biomed. Signal Process. Control 2010, 5, 205–213. [Google Scholar] [CrossRef]
- Cortes, C.; Vapnik, V. Support-vector networks. Mach. Learn. 1995, 20, 273–297. [Google Scholar] [CrossRef]
- Drucker, H.; Burges, C.J.C.; Kaufman, L.; Smola, A.; Vapnik, V. Support vector regression machines. In Proceedings of the 9th International Conference on Neural Information Processing Systems, Denver, Colorado, 3–5 December 1996; MIT Press: Cambridge, MA, USA, 1996; pp. 155–161. [Google Scholar]
- Curran, J.M. An introduction to Bayesian credible intervals for sampling error in DNA profiles. Law Probab. Risk 2005, 4, 115–126. [Google Scholar] [CrossRef][Green Version]
- Narkiewicz, K.; Montano, N.; Cogliati, C.; van de Borne, P.J.H.; Dyken, M.; Somers, V.K. Altered Cardiovascular Variability in Obstructive Sleep Apnea. Circulation 1998, 98, 1071–1077. [Google Scholar] [CrossRef]
- Wang, W.; Tretriluxana, S.; Redline, S.; Surovec, S.; Gottlieb, D.J.; Khoo, M.C. Association of cardiac autonomic function measures with severity of sleep-disordered breathing in a community-based sample. J. Sleep Res. 2008, 17, 251–262. [Google Scholar] [CrossRef]
- Park, D.-H.; Shin, C.-J.; Hong, S.-C.; Yu, J.; Ryu, S.-H.; Kim, E.-J.; Shin, H.-B.; Shin, B.-H. Correlation between the Severity of Obstructive Sleep Apnea and Heart Rate Variability Indices. J. Korean Med. Sci. 2008, 23, 226–231. [Google Scholar] [CrossRef]
- Qin, H.; Keenan, B.T.; Mazzotti, D.R.; Vaquerizo-Villar, F.; Kraemer, J.F.; Wessel, N.; Tufik, S.; Bittencourt, L.; Cistulli, P.A.; de Chazal, P.; et al. Heart rate variability during wakefulness as a marker of obstructive sleep apnea severity. Sleep 2021, 44, zsab018. [Google Scholar] [CrossRef]
- Shaffer, F.; Ginsberg, J.P. An Overview of Heart Rate Variability Metrics and Norms. Front. Public Health 2017, 5, 258. [Google Scholar] [CrossRef]
- Kruschke, J.K. Bayesian estimation supersedes the t test. J. Exp. Psychol. Gen. 2013, 142, 573–603. [Google Scholar] [CrossRef] [PubMed]
- Vyazovskiy, V.; Cirelli, C.; Pfister-Genskow, M.; Faraguna, U.; Tononi, G. Molecular and electrophysiological evidence for net synaptic potentiation in wake and depression in sleep. Nat. Neurosci. 2008, 11, 200–208. [Google Scholar] [CrossRef] [PubMed]
- Launois, C.; Attali, V.; Georges, M.; Raux, M.; Morawiec, E.; Rivals, I.; Arnulf, I.; Similowski, T. Cortical Drive to Breathe during Wakefulness in Patients with Obstructive Sleep Apnea Syndrome. Sleep 2015, 38, 1743–1749. [Google Scholar] [CrossRef] [PubMed]
- Hudson, A.L.; Niérat, M.-C.; Raux, M.; Similowski, T. The Relationship Between Respiratory-Related Premotor Potentials and Small Perturbations in Ventilation. Front. Physiol. 2018, 9, 621. [Google Scholar] [CrossRef] [PubMed]
- Saboisky, J.P.; Stashuk, D.W.; Hamilton-Wright, A.; Carusona, A.L.; Campana, L.M.; Trinder, J.; Eckert, D.J.; Jordan, A.S.; McSharry, D.G.; White, D.P.; et al. Neurogenic Changes in the Upper Airway of Patients with Obstructive Sleep Apnea. Am. J. Respir. Crit. Care Med. 2012, 185, 322–329. [Google Scholar] [CrossRef] [PubMed]
- Amiri, M.; Frauscher, B.; Gotman, J. Phase-Amplitude Coupling Is Elevated in Deep Sleep and in the Onset Zone of Focal Epileptic Seizures. Front. Hum. Neurosci. 2016, 10, 387. [Google Scholar] [CrossRef]
- Takeuchi, S.; Mima, T.; Murai, R.; Shimazu, H.; Isomura, Y.; Tsujimoto, T. Gamma Oscillations and Their Cross-frequency Coupling in the Primate Hippocampus during Sleep. Sleep 2015, 38, 1085–1091. [Google Scholar] [CrossRef]
- Nyhus, E.; Curran, T. Functional role of gamma and theta oscillations in episodic memory. Neurosci. Biobehav. Rev. 2010, 34, 1023–1035. [Google Scholar] [CrossRef]
- Ito, J.; Roy, S.K.; Liu, Y.; Cao, Y.; Fletcher, M.L.; Lu, L.; Boughter, J.D.; Grün, S.; Heck, D.H. Whisker barrel cortex delta oscillations and gamma power in the awake mouse are linked to respiration. Nat. Commun. 2014, 5, 3572. [Google Scholar] [CrossRef]
- Kim, B.; Kocsis, B.; Hwang, E.; Kim, Y.; Strecker, R.E.; McCarley, R.W.; Choi, J.H. Differential modulation of global and local neural oscillations in REM sleep by homeostatic sleep regulation. Proc. Natl. Acad. Sci. USA 2017, 114, E1727–E1736. [Google Scholar] [CrossRef]
- Alekseichuk, I.; Turi, Z.; De Lara, G.A.; Antal, A.; Paulus, W. Spatial Working Memory in Humans Depends on Theta and High Gamma Synchronization in the Prefrontal Cortex. Curr. Biol. 2016, 26, 1513–1521. [Google Scholar] [CrossRef]
- Axmacher, N.; Henseler, M.M.; Jensen, O.; Weinreich, I.; Elger, C.E.; Fell, J. Cross-frequency coupling supports multi-item working memory in the human hippocampus. Proc. Natl. Acad. Sci. USA 2010, 107, 3228–3233. [Google Scholar] [CrossRef]
- Fiebelkorn, I.; Snyder, A.; Mercier, M.; Butler, J.; Molholm, S.; Foxe, J. Cortical cross-frequency coupling predicts perceptual outcomes. NeuroImage 2013, 69, 126–137. [Google Scholar] [CrossRef] [PubMed]
- Tort, A.B.L.; Komorowski, R.W.; Manns, J.R.; Kopell, N.J.; Eichenbaum, H. Theta–gamma coupling increases during the learning of item–context associations. Proc. Natl. Acad. Sci. USA 2009, 106, 20942–20947. [Google Scholar] [CrossRef]
- Voytek, B.; Canolty, R.T.; Shestyuk, A.; Crone, N.; Parvizi, J.; Knight, R.T. Shifts in gamma phase–amplitude coupling frequency from theta to alpha over posterior cortex during visual tasks. Front. Hum. Neurosci. 2010, 4, 191. [Google Scholar] [CrossRef] [PubMed]
- Wang, L.; Saalmann, Y.B.; Pinsk, M.A.; Arcaro, M.J.; Kastner, S. Electrophysiological Low-Frequency Coherence and Cross-Frequency Coupling Contribute to BOLD Connectivity. Neuron 2012, 76, 1010–1020. [Google Scholar] [CrossRef] [PubMed]
- Nonoda, Y.; Miyakoshi, M.; Ojeda, A.; Makeig, S.; Juhász, C.; Sood, S.; Asano, E. Interictal high-frequency oscillations generated by seizure onset and eloquent areas may be differentially coupled with different slow waves. Clin. Neurophysiol. 2016, 127, 2489–2499. [Google Scholar] [CrossRef] [PubMed]
- De Hemptinne, C.; Ryapolova-Webb, E.S.; Air, E.L.; Garcia, P.A.; Miller, K.J.; Ojemann, J.G.; Galifianakis, N.B.; Starr, P.A. Exaggerated phase-amplitude coupling in the primary motor cortex in Parkinson disease. Proc. Natl. Acad. Sci. USA 2013, 110, 4780–4785. [Google Scholar] [CrossRef]
- López-Azcárate, J.; Tainta, M.; Rodríguez-Oroz, M.C.; Valencia, M.; González, R.; Guridi, J.; Iriarte, J.; Obeso, J.A.; Artieda, J.; Alegre, M. Coupling between Beta and High-Frequency Activity in the Human Subthalamic Nucleus May Be a Pathophysiological Mechanism in Parkinson’s Disease. J. Neurosci. 2010, 30, 6667–6677. [Google Scholar] [CrossRef]
- Goutagny, R.; Gu, N.; Cavanagh, C.; Jackson, J.; Chabot, J.G.; Quirion, R.; Krantic, S.; Williams, S. Alterations in hippocampal network oscillations and theta-gamma coupling arise before Aβ overproduction in a mouse model of Alzheimer’s disease. European J. Neurosci. 2013, 38, 3527. [Google Scholar] [CrossRef]
- Bahramisharif, A.; Mazaheri, A.; Levar, N.; Schuurman, P.R.; Figee, M.; Denys, D. Deep Brain Stimulation Diminishes Cross-Frequency Coupling in Obsessive-Compulsive Disorder. Biol. Psychiatry 2016, 80, e57–e58. [Google Scholar] [CrossRef]
- Dimitriadis, S.I.; Laskaris, N.A.; Bitzidou, M.P.; Tarnanas, I.; Tsolaki, M.N. A novel biomarker of amnestic MCI based on dynamic cross-frequency coupling patterns during cognitive brain responses. Front. Neurosci. 2015, 9, 350. [Google Scholar] [CrossRef] [PubMed]
- Aru, J.; Priesemann, V.; Wibral, M.; Lana, L.; Pipa, G.; Singer, W.; Vicente, R. Untangling cross-frequency coupling in neuroscience. Curr. Opin. Neurobiol. 2015, 31, 51–61. [Google Scholar] [CrossRef]
- Nowak, M.; Hinson, E.; Van Ede, F.; Pogosyan, A.; Guerra, A.; Quinn, A.; Brown, P.; Brown, C.J. Driving Human Motor Cortical Oscillations Leads to Behaviorally Relevant Changes in Local GABA A Inhibition: A tACS-TMS Study. J. Neurosci. 2017, 37, 4481–4492. [Google Scholar] [CrossRef] [PubMed]
- Melo-Silva, C.A.; Borel, J.-C.; Gakwaya, S.; Sériès, F. Acute upper airway muscle and inspiratory flow responses to transcranial magnetic stimulation during sleep in apnoeic patients. Exp. Physiol. 2013, 98, 946–956. [Google Scholar] [CrossRef] [PubMed]
- Hopfinger, J.B.; Buonocore, M.H.; Mangun, G.R. The neural mechanisms of top-down attentional control. Nat. Neurosci. 2000, 3, 284–291. [Google Scholar] [CrossRef]
- Killgore, W.D.; Vanuk, J.R.; Knight, S.A.; Markowski, S.M.; Pisner, D.; Shane, B.; Fridman, A.; Alkozei, A. Daytime sleepiness is associated with altered resting thalamocortical connectivity. NeuroReport 2015, 26, 779–784. [Google Scholar] [CrossRef] [PubMed]







| Dataset | Group | N | Age (Years) | Sex | RDI (per Hour) | ESS | t-Test p-Values |
|---|---|---|---|---|---|---|---|
| Main | RDI ≤ 15 | 42 | 55.67 ± 10.22 | F = 19 | 9.30 ± 3.26 | 10.90 ± 4.53 | Age: 0.746 |
| M = 23 | Sex: 0.085 | ||||||
| RDI > 15 | 44 | 56.52 ± 13.91 | F = 12 | 27.96 ± 12.47 | 11.59 ± 4.45 | RDI: <0.001 | |
| M = 32 | ESS: 0.480 | ||||||
| Validation | RDI ≤ 15 | 42 | 52.79 ± 9.71 | F = 17 | 11.04 ± 2.97 | 9.86 ± 4.90 | Age: 0.119 |
| M = 25 | Sex: 0.168 | ||||||
| RDI > 15 | 42 | 56.0 ± 9.02 | F = 11 | 49.48 ± 19.67 | 10.14 ± 5.47 | RDI: <0.001 | |
| M = 31 | ESS: 0.817 |
Publisher’s Note: MDPI stays neutral with regard to jurisdictional claims in published maps and institutional affiliations. |
© 2022 by the authors. Licensee MDPI, Basel, Switzerland. This article is an open access article distributed under the terms and conditions of the Creative Commons Attribution (CC BY) license (https://creativecommons.org/licenses/by/4.0/).
Share and Cite
Gouveris, H.; Koirala, N.; Anwar, A.R.; Ding, H.; Ludwig, K.; Huppertz, T.; Matthias, C.; Groppa, S.; Muthuraman, M. Reduced Cross-Frequency Coupling and Daytime Sleepiness in Obstructive Sleep Apnea Patients. Biology 2022, 11, 700. https://doi.org/10.3390/biology11050700
Gouveris H, Koirala N, Anwar AR, Ding H, Ludwig K, Huppertz T, Matthias C, Groppa S, Muthuraman M. Reduced Cross-Frequency Coupling and Daytime Sleepiness in Obstructive Sleep Apnea Patients. Biology. 2022; 11(5):700. https://doi.org/10.3390/biology11050700
Chicago/Turabian StyleGouveris, Haralampos, Nabin Koirala, Abdul Rauf Anwar, Hao Ding, Katharina Ludwig, Tilman Huppertz, Christoph Matthias, Sergiu Groppa, and Muthuraman Muthuraman. 2022. "Reduced Cross-Frequency Coupling and Daytime Sleepiness in Obstructive Sleep Apnea Patients" Biology 11, no. 5: 700. https://doi.org/10.3390/biology11050700
APA StyleGouveris, H., Koirala, N., Anwar, A. R., Ding, H., Ludwig, K., Huppertz, T., Matthias, C., Groppa, S., & Muthuraman, M. (2022). Reduced Cross-Frequency Coupling and Daytime Sleepiness in Obstructive Sleep Apnea Patients. Biology, 11(5), 700. https://doi.org/10.3390/biology11050700

