Sex Differences in the Individual Behaviour of Bait-Attracted White Sharks (Carcharodon carcharias, Linnaeus, 1758) Are Linked to Different Environmental Factors in South Africa
Abstract
Simple Summary
Abstract
1. Introduction
2. Materials and Methods
2.1. Study Area
2.2. Data Collection
2.3. Surface Behaviour and Ethograms
2.4. Data Analysis
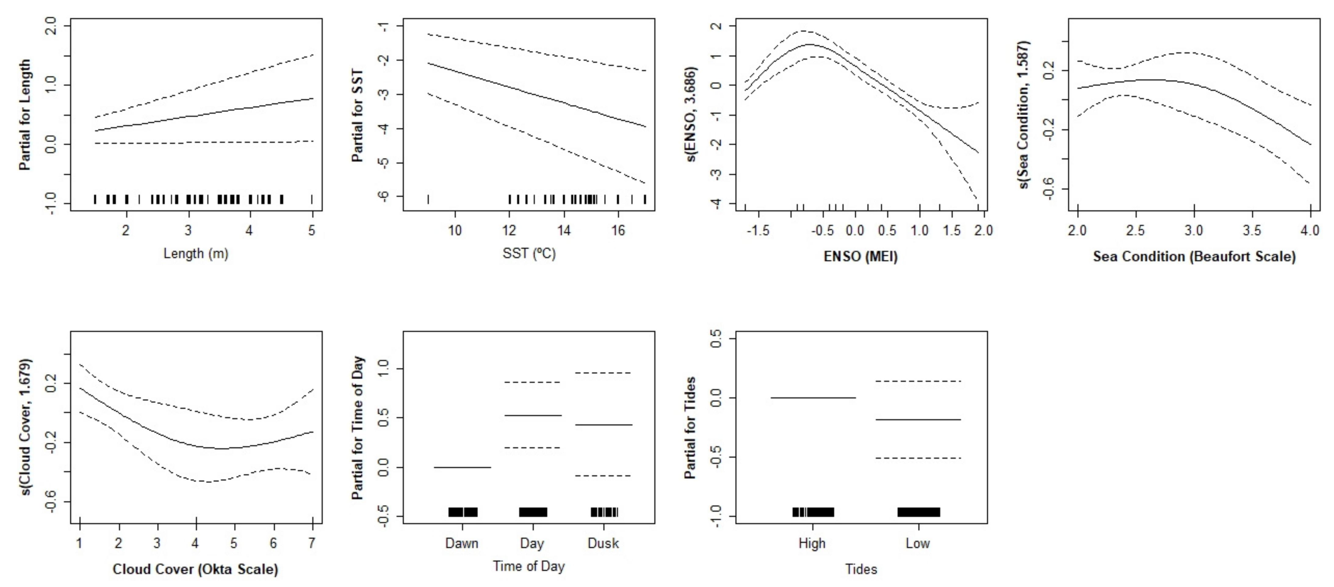
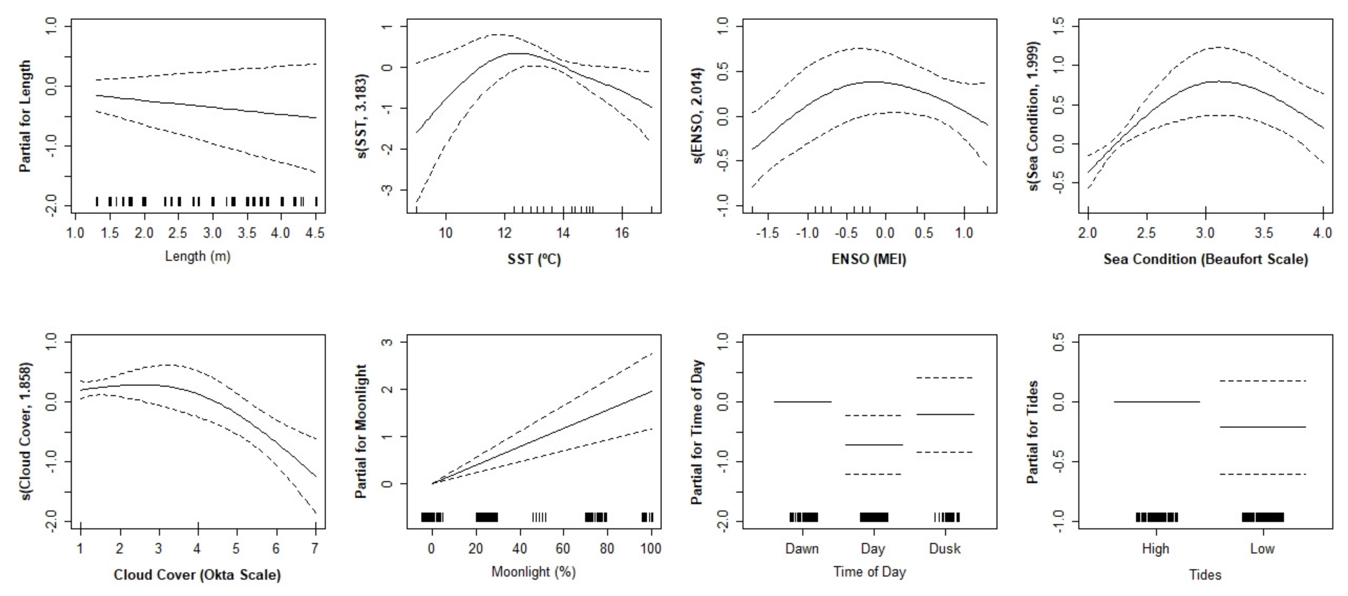
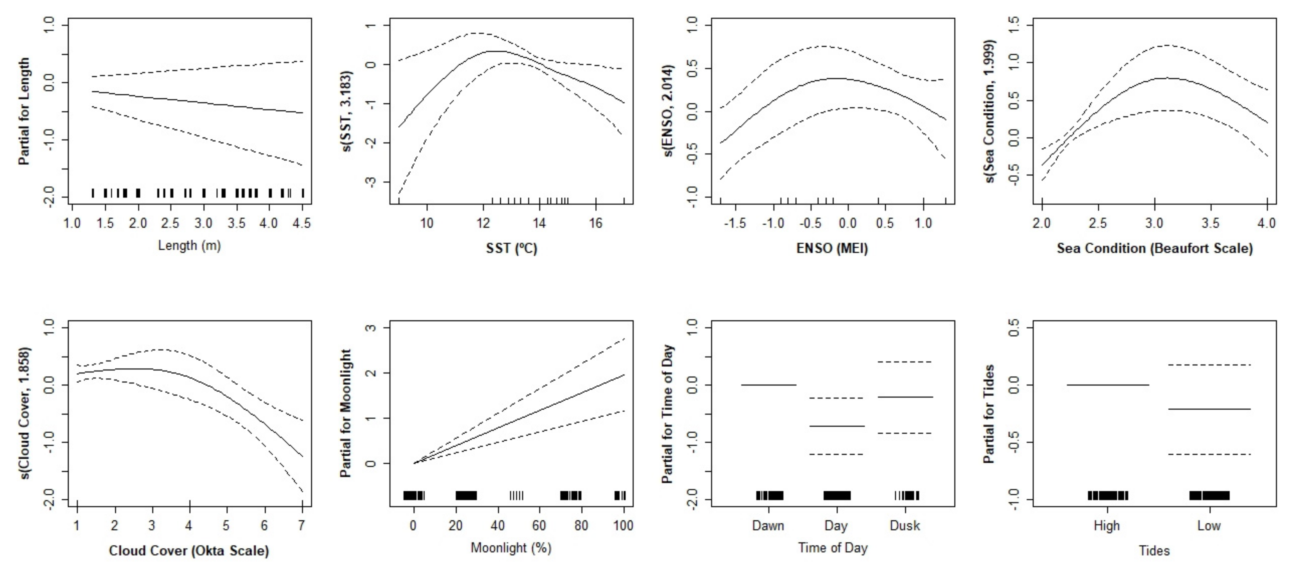
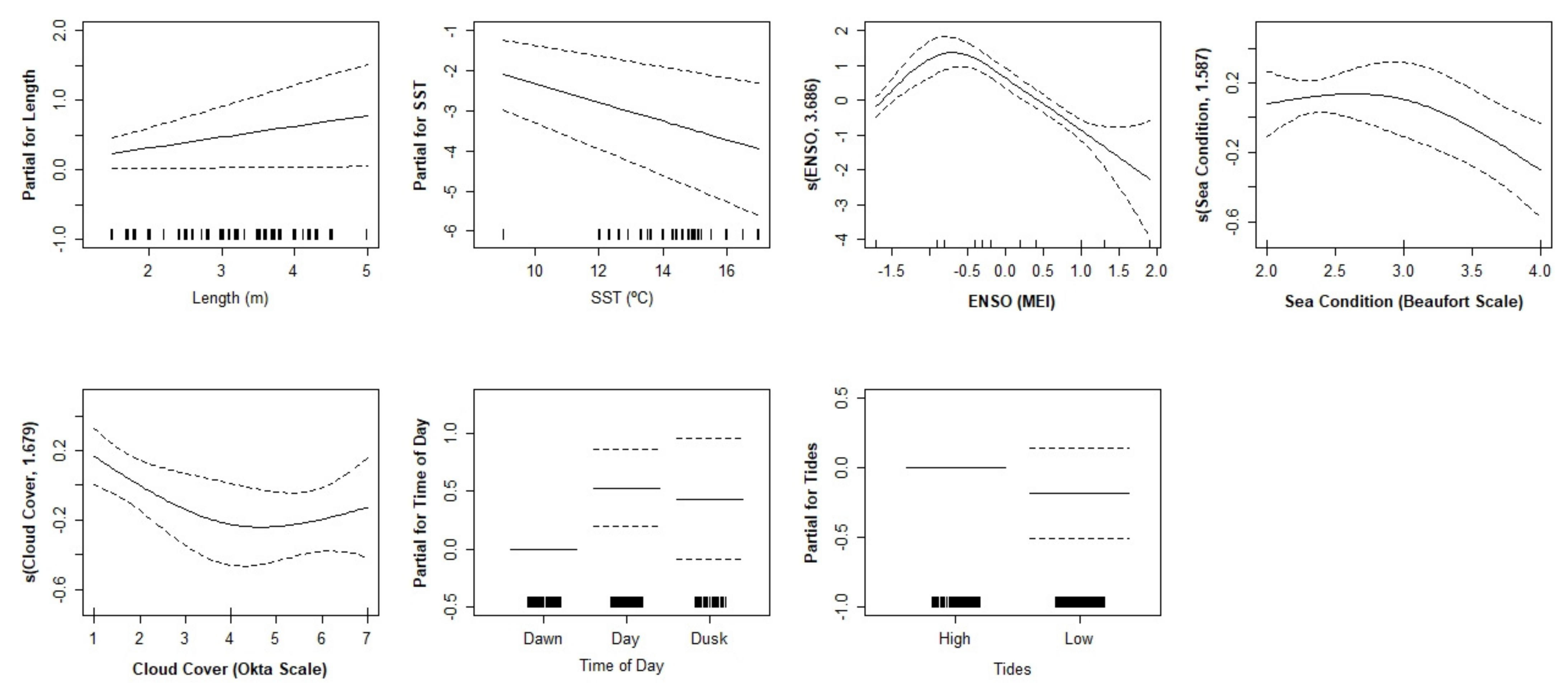
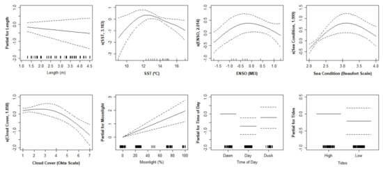
3. Results
4. Discussion
5. Conclusions
Supplementary Materials
Author Contributions
Funding
Institutional Review Board Statement
Informed Consent Statement
Data Availability Statement
Acknowledgments
Conflicts of Interest
References
- Compagno, L.J.V. FAO Species Catalogue. Sharks of the World. An annotated and illustrated catalogue of shark species known to date. Bullhead, mackerel and carpet sharks (Heterodontiformes, Lamniformes and Orectolobiformes). FAO Species Cat. Fish. Purp. 2001, 2, 100–108. [Google Scholar]
- Klimley, A.P.; Ainley, D.G. Great White Sharks: Ecology and Behavior; Academic Press: San Diego, CA, USA, 1996. [Google Scholar]
- Domeier, M.L. Global Perspectives on the Biology and Life History of the White Shark; CRC Press: Boca Raton, FL, USA, 2012. [Google Scholar]
- Huveneers, C.; Apps, K.; Becerril-García, E.E.; Bruce, B.; Butcher, P.A.; Carlisle, A.B.; Chapple, T.K.; Christiansen, H.M.; Cliff, G.; Curtis, T.H.; et al. Future research directions on the “Elusive” White Shark. Front. Mar. Sci. 2018, 5, 108–115. [Google Scholar] [CrossRef]
- Rigby, C.L.; Barreto, R.; Carlson, J.; Fernando, D.; Fordham, S.; Francis, M.P.; Herman, K.; Jabado, R.W.; Jones, G.C.A.; Liu, K.M.; et al. Carcharodon carcharias (Amended Version of 2019 Assessment). The IUCN Red List of Threatened Species 2022: e.T3855A212629880. 2022. Available online: https://www.iucnredlist.org/species/3855/212629880 (accessed on 25 September 2022).
- Bonfil, R.; Meÿer, M.; Scholl, M.C.; Johnson, R.; O’Brien, S.; Oosthuizen, H.; Swanson, S.; Kotze, D.; Paterson, M. Transoceanic migration, spatial dynamics, and population linkages of white sharks. Science 2005, 310, 100–103. [Google Scholar] [CrossRef]
- Domeier, M.L.; Nasby-Lucas, N. Migration patterns of white sharks Carcharodon carcharias tagged at Guadalupe Island, Mexico, and identification of an eastern Pacific shared offshore foraging area. Mar. Ecol. Prog. Ser. 2008, 370, 221–237. [Google Scholar] [CrossRef]
- Martin, R.A.; Hammerschlag, N.; Collier, R.S.; Fallows, C. Predatory behaviour of white sharks (Carcharodon carcharias) at Seal Island, South Africa. J. Mar. Biol. Assoc. UK 2005, 85, 1121–1135. [Google Scholar] [CrossRef]
- Malcolm, H.; Bruce, B.D.; Stevens, J.D. A Review of the Biology and Status of White Sharks in Australian Waters; CSIRO Marine Research: Hobart, Australia, 2001. [Google Scholar]
- Domeier, M.L.; Nasby-Lucas, N.; Lam, C.H. Fine-Scale Habitat Use by White Sharks at Guadalupe Island, Mexico. In Global Perspectives on the Biology and Life History of the White Shark, 1st ed.; Domeier, M.L., Ed.; CRC Press: Boca Raton, FL, USA, 2012; pp. 121–132. [Google Scholar]
- Inaba, K. Contribution of Marine Animals in Physiology, Endocrinology, and Ethology. In Japanese Marine Life, 1st ed.; Inaba, K., Hall-Spencer, J., Eds.; Springer: Singapore, 2020. [Google Scholar]
- Goldman, K.J.; Anderson, S.D. Space utilization and swimming depth of white sharks, Carcharodon carcharias, at the South Farallon Islands, central California. Environ. Biol. Fish. 1999, 56, 351–364. [Google Scholar] [CrossRef]
- Chapple, T.K.; Gleiss, A.C.; Jewell, J.D.; Wikelski, M.; Block, B.A. Tracking sharks without teeth: A non-invasive rigid tag attachment for large predatory sharks. Anim. Biotelem. 2015, 3, 14. [Google Scholar] [CrossRef]
- Sperone, E.; Micarelli, P.; Andreotti, S.; Spinetti, S.; Andreani, A.; Serena, F.; Brunelli, E.; Tripepi, S. Social interactions among bait-attracted white sharks at Dyer Island (South Africa). Mar. Biol. Res. 2010, 6, 408–414. [Google Scholar] [CrossRef]
- Jorgensen, S.J.; Reeb, C.A.; Chapple, T.K.; Anderson, S.; Perle, C.; Van Sommeran, S.R.; Fritz-Cope, C.; Brown, A.C.; Klimley, A.P.; Block, B.A. Philopatry and migration of Pacific white sharks. Proc. R. Soc. B 2010, 277, 679–688. [Google Scholar] [CrossRef]
- Cliff, G.; Dudley, S.F.J.; Jury, M.R. Catches of White Sharks in KwaZulu-Natal, South Africa and Environmental Influences. In Great White Sharks: Ecology and Behavior, 1st ed.; Klimley, A.P., Ainley, D.G., Eds.; Academic Press: San Diego, CA, USA, 1996; pp. 351–362. [Google Scholar]
- Strong, W.R., Jr.; Murphy, R.C.; Bruce, B.D.; Nelson, D.R. Movements and Associated Observations of Bait-Attracted White Sharks, Carcharodon carcharias: A Preliminary Report. Aust. J. Mar. Freshw. Res. 1992, 43, 13–20. [Google Scholar] [CrossRef]
- Klimley, A.P. The Predatory Behavior of the White Shark. Am. Sci. 1994, 82, 122–133. [Google Scholar]
- Becerril-García, E.E.; Martínez-Rincón, R.O.; Galván-Magaña, F.; Santana-Morales, O.; Hoyos-Padilla, E.M. Statistical modelling reveals spatial, temporal, and environmental preferences for white sharks at an oceanic aggregation site. Mar. Ecol. Prog. Ser. 2020, 655, 171–183. [Google Scholar] [CrossRef]
- Sperone, E.; Micarelli, P.; Andreotti, S.; Brandmayr, P.; Bernabò, I.; Brunelli, E.; Tripepi, S. Surface behavior of bait-attracted white sharks at Dyer Island (South Africa). Mar. Biol. Res. 2012, 8, 982–991. [Google Scholar] [CrossRef]
- Bruce, B.D.; Bradford, R.W. The effects of shark cage-diving operations on the behaviour and movements of white sharks, Carcharodon carcharias, at the Neptune Islands, South Australia. Mar. Biol. 2013, 160, 889–907. [Google Scholar] [CrossRef]
- Huveneers, C.; Rogers, P.J.; Beckmann, C.; Semmens, J.M.; Bruce, B.D.; Seuront, L. The effects of cage-diving activities on the fine-scale swimming behaviour and space use of white sharks. Mar. Biol. 2013, 160, 2863–2875. [Google Scholar] [CrossRef]
- Laroche, K.R.; Kock, A.A.; Lawrence, D.M.; Oosthuizen, H.W. Effects of provisioning ecotourism activity on the behavior of white sharks Carcharodon carcharias. Mar. Ecol. Prog. Ser. 2007, 338, 199–209. [Google Scholar] [CrossRef]
- Huveneers, C.; Holman, D.; Robbins, R.; Fox, A.; Endler, J.A.; Taylor, A.H. White Sharks Exploit the Sun during Predatory Approaches. Am. Nat. 2015, 185, 562–570. [Google Scholar] [CrossRef]
- Towner, A.V.; Leos-Barajas, V.; Langrock, R.; Schick, R.S.; Smale, M.J.; Kaschke, T.; Jewell, O.J.D.; Papastamatiou, Y.P. Sex-specific and individual preferences for hunting strategies in white sharks. Funct. Ecol. 2016, 30, 1397–1407. [Google Scholar] [CrossRef]
- Kock, A.; O’Riain, M.J.; Mauff, K.; Meÿer, M.; Kotze, D.; Griffiths, C. Residency, Habitat Use and Sexual Segregation of White Sharks, Carcharodon carcharias in False Bay, South Africa. PLoS ONE 2013, 8, e55048. [Google Scholar] [CrossRef] [PubMed]
- Domeier, M.L.; Nasby-Lucas, N. Sex-specific migration patterns and sexual segregation of adult white sharks, Carcharodon carcharias, in the Northeastern Pacific. In Global Perspectives on the Biology and Life History of the White Shark, 1st ed.; Domeier, M.L., Ed.; CRC Press: Boca Raton, FL, USA, 2012; pp. 133–146. [Google Scholar]
- Robbins, R.L. Environmental variables affecting the sexual segregation of great white sharks Carcharodon carcharias at the Neptune Islands South Australia. J. Fish. Biol. 2007, 70, 1350–1364. [Google Scholar] [CrossRef]
- Bruce, B.D.; Harasti, D.; Lee, K.; Gallen, C.; Bradford, R. Broad-scale movements of juvenile white sharks Carcharodon carcharias in eastern Australia from acoustic and satellite telemetry. Mar. Ecol. Prog. Ser. 2019, 619, 1–15. [Google Scholar] [CrossRef]
- Pyle, P.; Anderson, S.D.; Klimley, A.P.; Henderson, R.P. Environmental Factors Affecting the Occurrence and Behavior of White Sharks at the Farallon Islands, California. In Great White Sharks: Ecology and Behavior, 1st ed.; Klimley, A.P., Ainley, D.G., Eds.; Academic Press: San Diego, CA, USA, 1996; pp. 281–291. [Google Scholar]
- Mench, J. Why it is important to understand Animal Behavior. Inst. Lab. Anim. Res. J. 1998, 39, 20–26. [Google Scholar] [CrossRef]
- Nasby-Lucas, N.; Dewar, H.; Lam, C.H.; Goldman, K.J.; Domeier, M.L. White Shark Offshore Habitat: A Behavioral and Environmental Characterization of the Eastern Pacific Shared Offshore Foraging Area. PLoS ONE 2009, 4, e8163. [Google Scholar] [CrossRef] [PubMed]
- Francis, M.P.; Duffy, C.A.J.; Bonfil, R.; Manning, M.J. The Third Dimension Vertical Habitat Use by White Sharks, Carcharodon carcharias, in New Zealand and in Oceanic and Tropical Waters of the Southwest Pacific Ocean. In Global Perspectives on the Biology and Life History of the White Shark, 1st ed.; Domeier, M.L., Ed.; CRC Press: Boca Raton, FL, USA, 2012; pp. 319–342. [Google Scholar]
- Weltz, K.; Kock, A.A.; Winker, H.; Attwood, C.; Sikweyiya, M. The Influence of Environmental Variables on the Presence of White Sharks, Carcharodon carcharias at Two Popular Cape Town Bathing Beaches: A Generalized Additive Mixed Model. PLoS ONE 2013, 8, e68554. [Google Scholar] [CrossRef]
- Hammerschlag, N.; Martin, R.A.; Fallows, C. Effects of environmental conditions on predator–prey interactions between white sharks (Carcharodon carcharias) and Cape fur seals (Arctocephalus pusillus pusillus) at Seal Island, South Africa. Environ. Biol. Fish. 2006, 76, 341–350. [Google Scholar] [CrossRef]
- Skomal, G.B.; Hoyos-Padilla, E.M.; Kukulya, A.; Stokey, R. Subsurface observations of white shark Carcharodon carcharias predatory behaviour using an autonomous underwater vehicle. J. Fish. Biol. 2015, 87, 1293–1312. [Google Scholar] [CrossRef]
- Heithaus, M.R. Predator–prey interactions. In Biology of Sharks and Their Relatives, 1st ed.; Carrier, J.C., Musick, J.A., Heithaus, M.R., Eds.; CRC Press: Boca Raton, FL, USA, 2004; pp. 488–512. [Google Scholar]
- Kukulya, A.L.; Stokey, R.; Fiester, C.; Hoyos-Padilla, M.E.; Skomal, G. Multi-vehicle autonomous tracking and filming of white sharks Carcharodon carcharias. In Proceedings of the IEEE/OES Autonomous Underwater Vehicles (AUV), Tokyo, Japan, 6–9 November 2016; pp. 423–430. [Google Scholar] [CrossRef]
- Johnson, R.L.; Venter, A.; Bester, M.N.; Oosthuizen, W.H. Seabird predation by white sharks Carcharodon carcharias, and Cape fur seal, Arctocephalus pusillus pusillus, at Dyer Island. S. Afr. J. Wild. Res. 2006, 36, 23–32. [Google Scholar]
- Griffiths, C.L.; Robinson, T.B.; Lange, L.; Mead, A. Marine Biodiversity in South Africa: An Evaluation of Current States of Knowledge. PLoS ONE 2010, 5, e12008. [Google Scholar] [CrossRef] [PubMed]
- Ferreira, C.A.; Ferreira, T.P. Population Dynamics of White Sharks in South Africa. In Great White Sharks: Ecology and Behavior, 1st ed.; Klimley, A.P., Ainley, D.G., Eds.; Academic Press: San Diego, CA, USA, 1996; pp. 381–391. [Google Scholar]
- Compagno, L.; Dando, M.; Fowler, S. Sharks of the World; HarperCollins Publishers Ltd.: London, UK, 2005. [Google Scholar]
- Anderson, S.D.; Goldman, K.J. Photographic evidence of white shark movements in California waters. Calif. Fish Game 1996, 82, 182–186. [Google Scholar]
- Domeier, M.L.; Nasby-Lucas, N. Annual re-sightings of photographically identified white sharks (Carcharodon carcharias) at an eastern Pacific aggregation site (Guadalupe Island, Mexico). Mar. Biol. 2007, 150, 977–984. [Google Scholar] [CrossRef]
- NOAA Tides and Currents. Center for Operational Oceanographic Products and Services. Available online: https://tidesandcurrents.noaa.gov/astronomical.html/ (accessed on 20 May 2021).
- NOAA National Weather Service. Climate Prediction Center. Available online: https://origin.cpc.ncep.noaa.gov/products/analysis_monitoring/ensostuff/ONI_v5.php (accessed on 20 May 2021).
- R Core Team. R: A Language and Environment for Statistical Computing; R Foundation for Statistical Computing: Vienna, Austria, 2021. [Google Scholar]
- Marubini, F.; Gimona, A.; Evans, P.G.H.; Wright, P.J.; Pierce, G.J. Habitat preferences and interannual variability in occurrence of the harbour porpoise Phocoena phocoena off northwest Scotland. Mar. Ecol. Prog. Ser. 2009, 381, 297–310. [Google Scholar] [CrossRef]
- Zuur, A.F.; Ieno, E.; Elphick, C. A protocol for data exploration to avoid common statistical problems. Methods Ecol. Evol. 2010, 1, 3–14. [Google Scholar] [CrossRef]
- Qian, S.S. Environmental and Ecological Statistics with R; Chapman & Hall; CRC Press: New York, NY, USA, 2009. [Google Scholar]
- Burnham, K.P.; Anderson, D.R. Model Selection and Multimodel Inference: A Practical Information Theoretic Approach; Springer: New York, NY, USA, 2002. [Google Scholar]
- Zuur, A.F.; Ieno, E.N.; Smith, G.M. Analysing Ecological Data; Springer: New York, NY, USA, 2007. [Google Scholar]
- Schlaff, A.M.; Heupel, M.R.; Simpfendorfer, C.A. Influence of environmental factors on shark and ray movement, behaviour and habitat use: A review. Rev. Fish. Biol. Fish. 2014, 24, 1089–1103. [Google Scholar] [CrossRef]
- Huveneers, C.; Watanabe, Y.Y.; Payne, N.L.; Semmens, J.M. Interacting with wildlife tourism increases activity of white sharks. Conserv. Physiol. 2018, 6, coy019. [Google Scholar] [CrossRef] [PubMed]
- Ellis, D.V. Animal Behaviour and Its Applications; Lewis Publishers: Chelsea, MA, USA, 1986. [Google Scholar]
- Hewitt, A.M.; Kock, A.A.; Booth, A.J.; Griffiths, C.L. Trends in sightings and population structure of white sharks, Carcharodon carcharias, at Seal Island, False Bay, South Africa, and the emigration of subadult female sharks approaching maturity. Environ. Biol. Fish. 2018, 101, 39–54. [Google Scholar] [CrossRef]
- Micarelli, P.; Bonsignori, D.; Compagno, L.J.V.; Pacifico, A.; Romano, C.; Reinero, F.R. Analysis of sightings of white sharks in Gansbaai (South Africa). Eur. Zool. J. 2021, 88, 363–374. [Google Scholar] [CrossRef]
- Skubel, R.A.; Kirtman, B.P.; Fallows, C.; Hammerschlag, N. Patterns of long-term climate variability and predation rates by a marine apex predator, the white shark Carcharodon carcharias. Mar. Ecol. Pror. Ser. 2018, 587, 129–139. [Google Scholar] [CrossRef]
- Lee, K.A.; Roughan, M.; Harcourt, R.G.; Peddemors, V.M. Environmental correlates of relative abundance of potentially dangerous sharks in nearshore areas, southeastern Australia. Mar. Ecol. Prog. Ser. 2018, 599, 157–179. [Google Scholar] [CrossRef]
- Goldman, K.J. Regulation of body temperature in the white shark, Carcharodon carcharias. J. Comp. Physiol. B 1997, 167, 423–429. [Google Scholar] [CrossRef]
- Watanabe, Y.Y.; Payne, N.L.; Semmens, J.M.; Fox, A.; Huveneers, C. Swimming strategies and energetics of endothermic white sharks during foraging. Exp. Biol. 2019, 222, jeb185603. [Google Scholar] [CrossRef]
- Carey, F.G.; Teal, J.M.; Kanwisher, J.W. The visceral temperatures of mackerel sharks (Lamnidae). Physiol. Zool. 1981, 54, 334–344. [Google Scholar] [CrossRef]
- Byrnes, E.E.; Vila Pouca, C.; Brown, C. Laterality strength is linked to stress reactivity in Port Jackson sharks (Heterodontus portusjacksoni). Behav. Brain. Res. 2016, 305, 239–246. [Google Scholar] [CrossRef]
- Beale, C.S.; Stewart, J.D.; Setyawan, E.; Sianipar, A.B.; Erdmann, M.V. Population dynamics of oceanic manta rays (Mobula birostris) in the Raja Ampat Archipelago, West Papua, Indonesia, and the impacts of the El Niño-Southern Oscillation on their movement ecology. Divers. Distrib. 2019, 25, 1472–1487. [Google Scholar] [CrossRef]
- Lindesay, J.A. South African rainfall, the Southern Oscillation and a Southern Hemisphere semi-annual cycle. J. Climatol. 1988, 8, 17–30. [Google Scholar] [CrossRef]
- Schumann, E.H.; Cohen, A.L.; Jury, M.R. Coastal sea temperature variability along the south coast of South Africa and the relationship to regional and global climate. J. Mar. Res. 1995, 53, 231–248. [Google Scholar] [CrossRef]
- Karinen, J.F.; Wing, B.L.; Strat, R.R. Records and sighting of fish and invertebrates in the eastern Gulf of Alaska and oceanic phenomena related to the 1983 El Niño event. In El Niño North; El Niño Effects in the Eastern Subarctic Pacific Ocean, 1st ed.; Wooster, W.S., Fluharty, D.L., Eds.; University Washington: Seattle, WA, USA, 1985; pp. 253–267. [Google Scholar]
- Mecklenburg, C.W.; Mecklenburg, T.A.; Thorsteinson, L.K. Fishes of Alaska; American Fisheries Society: Bethesda, MD, USA, 2002. [Google Scholar]
- Martin, R.A. Northerly Distribution of White Sharks, Carcharodon carcharias, in the Eastern Pacific and Relation to ENSO Events. Mar. Fish. Rev. 2004, 66, 16–26. [Google Scholar]
- Towner, A.V.; Underhill, L.G.; Jewell, O.J.D.; Smale, M.J. Environmental Influences on the Abundance and Sexual Composition of White Sharks Carcharodon carcharias in Gansbaai, South Africa. PLoS ONE 2013, 8, e71197. [Google Scholar] [CrossRef]
- Long, D.J.; Hanni, K.D.; Pyle, P.; Roletto, J.; Jones, R.E.; Bandar, R. White shark predation on four pinniped species in Central California waters: Geographic and temporal patterns inferred from wounded carcasses. In Great White Sharks: Ecology and Behavior, 1st ed.; Klimley, A.P., Ainley, D.G., Eds.; Academic Press: San Diego, CA, USA, 1996; pp. 263–274. [Google Scholar]
- Guttridge, T.L.; Myrberg, A.A.; Porcher, I.F.; Sims, D.W.; Krause, J. The role of learning in shark behaviour. Fish Fish. 2009, 10, 450–469. [Google Scholar] [CrossRef]
- Schilds, A.; Mourier, J.; Huveneers, C.; Nazimi, L.; Fox, A.; Leu, S.T. Evidence for non-random co-occurrences in a white shark aggregation. Behav. Ecol. Sociobiol. 2019, 73, 138–149. [Google Scholar] [CrossRef]
- Milankovic, H.R.; Ray, N.D.; Gentle, L.K.; Kruger, C.; Jacobs, E.; Ferreira, C.J. Seasonal occurrence and sexual segregation of great white sharks Carcharodon carcharias in Mossel Bay, South Africa. Environ. Biol. Fish. 2021, 104, 555–568. [Google Scholar] [CrossRef]
- Fallows, C.; Fallows, M.; Hammerschlag, N. Effects of lunar phase on predator-prey interactions between white shark (Carcharodon carcharias) and Cape fur seals (Arctocephalus pusillus pusillus). Environ. Biol. Fish. 2016, 99, 805–812. [Google Scholar] [CrossRef]
- Morse, P.; Mole, M.A.; Bester, M.N.; Johnson, R.; Scacco, U.; Gennari, E. Cape fur seals (Arctocephalus pusillus pusillus) adjust traversing behaviour with lunar conditions in the high white shark (Carcharodon carcharias) density waters of Mossel Bay, South Africa. Mar. Ecol. Prog. Ser. 2019, 622, 219–230. [Google Scholar] [CrossRef]
- Klimley, A.P.; Anderson, S.D.; Pyle, P.; Henderson, R.P. Spatiotemporal Patterns of White Shark (Carcharodon carcharias) Predation at the South Farallon Islands, California. Copeia 1992, 1992, 680–690. [Google Scholar] [CrossRef]
- Strong Jr, W.R. Shape Discrimination and Visual Predatory Tactics in White Sharks. In Great White Sharks: Ecology and Behavior, 1st ed.; Klimley, A.P., Ainley, D.G., Eds.; Academic Press: San Diego, CA, USA, 1996; pp. 229–240. [Google Scholar]
- Fallows, C.; Martin, R.A.; Hammerschlag, N. Comparisons between White Shark–Pinniped Interactions at Seal Island (South Africa) with Other Sites in California. In Global Perspectives on the Biology and Life History of the White Shark, 1st ed.; Domeier, M.L., Ed.; CRC Press: Boca Raton, FL, USA, 2012; pp. 105–117. [Google Scholar]
- Anderson, S.D.; Klimley, A.P.; Pyle, P.; Henderson, R.P. Tidal Height and White Shark Predation at the Farallon Islands, California. In Great White Sharks: Ecology and Behavior, 1st ed.; Klimley, A.P., Ainley, D.G., Eds.; Academic Press: San Diego, CA, USA, 1996; pp. 275–279. [Google Scholar]
- Skomal, G.B.; Mandelman, J.W. The physiological response to anthropogenic stressors in marine elasmobranch fishes: A review with a focus on the secondary response. Comp. Biochem. Physiol. A Mol. Integr. Physiol. 2012, 162, 146–155. [Google Scholar] [CrossRef] [PubMed]
- Nagelkerken, I.; Munday, P.L. Animal behaviour shapes the ecological effects of ocean acidification and warming: Moving from individual to community-level responses. Glob. Change Biol. 2016, 22, 974–989. [Google Scholar] [CrossRef]
- White, C.F.; Lyons, K.; Jorgensen, S.J.; O’Sullivan, J.; Winkler, C.; Weng, K.C.; Lowe, C.G. Quantifying habitat selection and variability in habitat suitability for juvenile white sharks. PLoS ONE 2019, 14, e0214642. [Google Scholar] [CrossRef] [PubMed]
- Burgess, G.H.; Callahan, M. Worldwide Patterns of White Shark Attacks on Humans. In Great White Sharks: Ecology and Behavior, 1st ed.; Klimley, A.P., Ainley, D.G., Eds.; Academic Press: San Diego, CA, USA, 1996; pp. 457–469. [Google Scholar]
- Winton, M.V.; Sulikowski, J.; Skomal, G.B. Fine-scale vertical habitat use of white sharks at an emerging aggregation site and implications for public safety. Wildl. Res. 2021, 48, 345–360. [Google Scholar] [CrossRef]
- Ryan, L.A.; Lynch, S.K.; Harcourt, R.; Slip, D.J.; Peddemors, V.; Everett, J.D.; Harrison, L.; Hart, N.S. Environmental predictive models for shark attacks in Australian waters. Mar. Ecol. Prog. Ser. 2019, 631, 165–179. [Google Scholar] [CrossRef]
- Curtis, T.H.; Bruce, B.D.; Cliff, G.; Dudley, S.F.J.; Klimley, A.P.; Kock, A.; Lea, R.N.; Lowe, C.G.; McCosker, J.E.; Skomal, G.B.; et al. Responding to the risk of white shark attack: Updated statistics, prevention, control methods, and recommendations. In Global Perspectives on the Biology and Life History of the White Shark, 1st ed.; Domeier, M.L., Ed.; CRC Press: Boca Raton, FL, USA, 2012; pp. 477–510. [Google Scholar]



| N of Simple Ethograms | N of Complex Ethograms (N of Behavioural Units) | N of Tot Ethograms (N of Tot Behavioural Units) | |
|---|---|---|---|
| Females | 132 | 210 (1295) | 342 (1427) |
| Males | 110 | 134 (731) | 244 (841) |
| Total | 242 | 344 (2026) | 586 (2268) |
| Model Parameters | Estimate | Edf | SE | z-Value | X2 | p-Value | Deviance Explained (%) | R2 | UBRE |
|---|---|---|---|---|---|---|---|---|---|
| Females | |||||||||
| Intercept | 3.632 | 0.714 | 5.083 | <0.001 | |||||
| Length | 0.156 | 0.073 | 2.132 | 0.033 | |||||
| SST | −0.232 | 0.048 | −4.814 | <0.001 | |||||
| Time of Day_Day | 0.526 | 0.166 | 3.170 | 0.002 | |||||
| Time of Day_Dusk | 0.432 | 0.260 | 1.662 | 0.096 | |||||
| Tides | −0.183 | 0.163 | −1.124 | 0.261 | |||||
| Smoother terms | |||||||||
| ENSO | 3.686 | 66.309 | <0.001 | ||||||
| Sea Condition | 1.587 | 4.753 | 0.049 | ||||||
| Cloud Cover | 1.679 | 4.307 | 0.067 | ||||||
| Best model (n = 282): NBehavUnits~length + SST + s(ENSO) + s(SeaCondition) + s(CloudCover) + TimeofDay + Tides | 34 | 0.103 | −0.090 | ||||||
| Males | |||||||||
| Intercept | 1.301 | 0.387 | 3.366 | <0.001 | |||||
| Length | −0.118 | 0.101 | −1.167 | 0.243 | |||||
| Moonlight | 0.020 | 0.004 | 4.858 | <0.001 | |||||
| Time of Day_Day | −0.719 | 0.244 | −2.941 | 0.003 | |||||
| Time of Day_Dusk | −0.212 | 0.310 | −0.685 | 0.493 | |||||
| Tides | −0.212 | 0.197 | −1.080 | 0.280 | |||||
| Smoother terms | |||||||||
| SST | 3.183 | 9.258 | 0.039 | ||||||
| ENSO | 2.014 | 7.214 | 0.035 | ||||||
| Sea Condition | 1.999 | 13.567 | 0.001 | ||||||
| Cloud Cover | 1.858 | 15.629 | <0.001 | ||||||
| Best model (n = 205): NBehavUnits~length + s(SST) + s(ENSO) + moonlight + s(SeaCondition) + s(CloudCover) + TimeofDay + Tides | 44.7 | 0.377 | −0.068 | ||||||
Publisher’s Note: MDPI stays neutral with regard to jurisdictional claims in published maps and institutional affiliations. |
© 2022 by the authors. Licensee MDPI, Basel, Switzerland. This article is an open access article distributed under the terms and conditions of the Creative Commons Attribution (CC BY) license (https://creativecommons.org/licenses/by/4.0/).
Share and Cite
Azevedo, O.M.; Correia, A.M.; Micarelli, P.; Reinero, F.R.; Rijllo, G.; Giglio, G.; Sperone, E. Sex Differences in the Individual Behaviour of Bait-Attracted White Sharks (Carcharodon carcharias, Linnaeus, 1758) Are Linked to Different Environmental Factors in South Africa. Biology 2022, 11, 1735. https://doi.org/10.3390/biology11121735
Azevedo OM, Correia AM, Micarelli P, Reinero FR, Rijllo G, Giglio G, Sperone E. Sex Differences in the Individual Behaviour of Bait-Attracted White Sharks (Carcharodon carcharias, Linnaeus, 1758) Are Linked to Different Environmental Factors in South Africa. Biology. 2022; 11(12):1735. https://doi.org/10.3390/biology11121735
Chicago/Turabian StyleAzevedo, Olga Mouteira, Ana Mafalda Correia, Primo Micarelli, Francesca Romana Reinero, Giuseppe Rijllo, Gianni Giglio, and Emilio Sperone. 2022. "Sex Differences in the Individual Behaviour of Bait-Attracted White Sharks (Carcharodon carcharias, Linnaeus, 1758) Are Linked to Different Environmental Factors in South Africa" Biology 11, no. 12: 1735. https://doi.org/10.3390/biology11121735
APA StyleAzevedo, O. M., Correia, A. M., Micarelli, P., Reinero, F. R., Rijllo, G., Giglio, G., & Sperone, E. (2022). Sex Differences in the Individual Behaviour of Bait-Attracted White Sharks (Carcharodon carcharias, Linnaeus, 1758) Are Linked to Different Environmental Factors in South Africa. Biology, 11(12), 1735. https://doi.org/10.3390/biology11121735

