Obesity and Metabolic Traits after High-Fat Diet in Iberian Pigs with Low Birth Weight of Placental Origin
Abstract
Simple Summary
Abstract
1. Introduction
2. Materials and Methods
2.1. Animals and Experimental Procedure
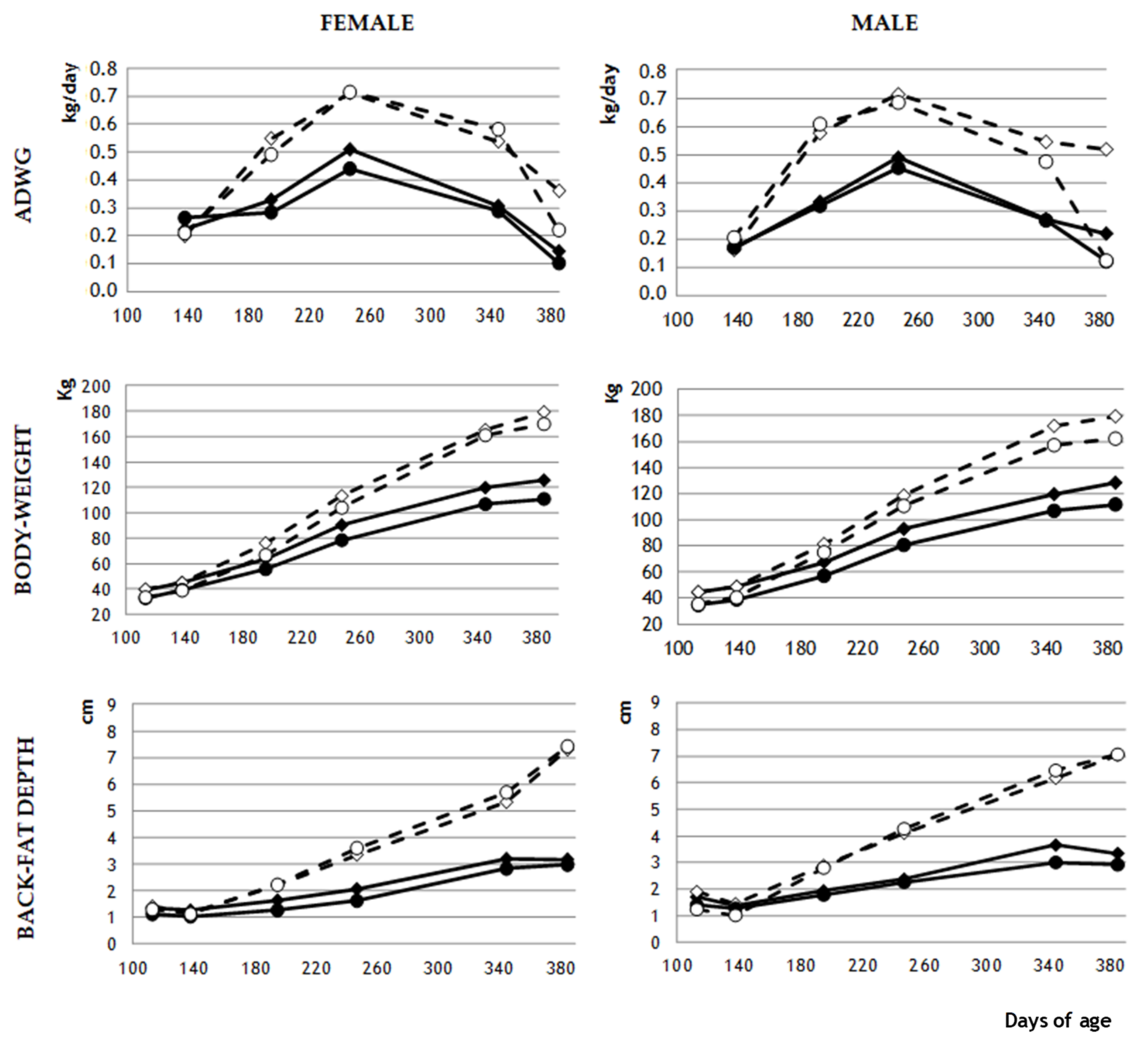
2.2. Evaluation of Growth Patterns and Adiposity
2.3. Evaluation of Metabolic Indexes
2.4. Measurement of Cardiovascular Features
2.5. Statistical Analysis
3. Results
3.1. Effects on Growth Patterns and Adiposity
3.2. Effects on Metabolism and Redox Status
3.3. Effects on Cardiovascular Features
4. Discussion
4.1. Catch-Up Growth in Obese LBW Animals
4.2. Metabolic Syndrome in Obese LBW Animals
5. Conclusions
Supplementary Materials
Author Contributions
Funding
Institutional Review Board Statement
Data Availability Statement
Acknowledgments
Conflicts of Interest
References
- Hanson, M.; Godfrey, K.M.; Lillycrop, K.A.; Burdge, G.C.; Gluckman, P.D. Developmental plasticity and developmental origins of noncommunicable disease: Theoretical considerations and epigenetic mechanisms. Prog. Biophys. Mol. Biol. 2011, 106, 272–280. [Google Scholar] [CrossRef] [PubMed]
- Ergaz, Z.; Avgil, M.; Ornoy, A. Intrauterine growth restriction—Etiology and consequences: What do we know about the human situation and experimental animal models? Reprod. Toxicol. 2005, 20, 301–322. [Google Scholar] [CrossRef] [PubMed]
- Bhutta, Z.A.; Das, J.K.; Rizvi, A.; Gaffey, M.F.; Walker, N.; Horton, S.; Webb, P.; Lartey, A.; Black, R.E.; The Lancet Nutrition Interventions Review Group; et al. Evidence-based interventions for improvement of maternal and child nutrition: What can be done and at what cost? Lancet 2013, 382, 452–477. [Google Scholar] [CrossRef]
- Hovi, P.; Andersson, S.; Eriksson, J.G.; Jarvenpaa, A.L.; Strang-Karlsson, S.; Makitie, O.; Kajantie, E. Glucose Regulation in young adults with very low birth weight. N. Engl. J. Med. 2007, 356, 2053–2063. [Google Scholar] [CrossRef] [PubMed]
- Ibañez, L.; Lopez-Bermejo, A.; Suarez, L.; Marcos, M.V.; Dıaz, M.; Zegher, F. Visceral adiposity without overweight in children born small for gestational age. J. Clin. Endocrinol. Metabol. 2008, 93, 2079–2083. [Google Scholar] [CrossRef] [PubMed]
- Scully, T. Diabetes in numbers. Nature 2012, 485, S2–S3. [Google Scholar] [CrossRef] [PubMed]
- Kong, A.P.; Xu, G.; Brown, N.; So, W.Y.; Ma, R.C.; Chan, J.C. Diabetes and its comorbidities-where East meets west. Nat. Rev. Endocrinol. 2013, 9, 537–547. [Google Scholar] [CrossRef] [PubMed]
- Barouki, R.; Gluckman, P.D.; Grandjean, P.; Hanson, M.; Heindel, J.J. Developmental origins of non-communicable disease: Implications for research and public health. Environ. Health 2012, 11, 42. [Google Scholar] [CrossRef]
- Speakman, J.; Hambly, C.; Mitchell, S.; Krol, E. Animal models of obesity. Obes. Rev. 2007, 8, 55–61. [Google Scholar] [CrossRef]
- Rosenfeld, C.S. Animal models to study environmental epigenetics. Biol. Reprod. 2010, 82, 473–488. [Google Scholar] [CrossRef]
- Swanson, A.M.; David, A.L. Animal models of fetal growth restriction: Considerations for translational medicine. Placenta 2015, 36, 623–630. [Google Scholar] [CrossRef]
- Arner, P. Resistin: Yet another adipokine tells us that men are not mice. Diabetologia 2005, 48, 2203–2205. [Google Scholar] [CrossRef]
- Russell, J.C.; Proctor, S.D. Small animal models of cardiovascular disease: Tools for the study of the roles of metabolic syndrome, dyslipidemia, and atherosclerosis. Cardiovasc. Pathol. 2006, 15, 318–330. [Google Scholar] [CrossRef]
- Hamernik, D.L. Farm animals are important biomedical models. Anim. Front. 2019, 9, 3–5. [Google Scholar] [CrossRef]
- Dyson, M.C.; Alloosh, M.; Vuchetich, J.P.; Mokelke, E.A.; Sturek, M. Components of metabolic syndrome and coronary artery disease in female Ossabaw swine fed excess atherogenic diet. Comp. Med. 2006, 56, 35–45. [Google Scholar]
- Spurlock, M.E.; Gabler, N.K. The Development of porcine models of obesity and the metabolic syndrome. J. Nutr. 2008, 138, 397–402. [Google Scholar] [CrossRef]
- Torres-Rovira, L.; Astiz, S.; Caro, A.; Lopez-Bote, C.; Ovilo, C.; Pallares, P.; Perez-Solana, M.L.; Sanchez-Sanchez, R.; Gonzalez-Bulnes, A. Diet-induced swine model with obesity/leptin resistance for the study of metabolic syndrome and type 2 diabetes. Sci. World J. 2012, 2012, 510149. [Google Scholar] [CrossRef]
- Torres-Rovira, L.; Gonzalez-Anover, P.; Astiz, S.; Caro, A.; Lopez-Bote, C.; Ovilo, C.; Pallares, P.; Perez-Solana, M.L.; Sanchez-Sanchez, R.; Gonzalez-Bulnes, A. Effect of an obesogenic diet during the juvenile period on growth pattern, fatness and metabolic, cardiovascular and reproductive features of swine with obesity/leptin resistance. Endocr. Metab. Immune Disord. Drug Targets 2013, 13, 143–151. [Google Scholar] [CrossRef]
- Gonzalez-Bulnes, A.; Astiz, S.; Ovilo, C.; Lopez-Bote, C.; Torres-Rovira, L.; Barbero, A.; Ayuso, M.; Garcia-Contreras, C.; Vazquez-Gomez, M. Developmental Origins of Health and Disease in swine: Implications for animal production and biomedical research. Theriogenology 2016, 86, 110–119. [Google Scholar] [CrossRef]
- Schröder, H.J. Models of fetal growth restriction. Eur. J. Obstetr. Gynecol. Reprod. Biol. 2003, 110, S29–S39. [Google Scholar] [CrossRef]
- Baschat, A.A.; Hecher, K. Fetal growth restriction due to placental disease. Semin. Perinatol. 2004, 28, 67–80. [Google Scholar] [CrossRef]
- Wang, J.; Feng, C.; Liu, T.; Shi, M.; Wu, G.; Bazer, F.W. Physiological alterations associated with intrauterine growth restriction in fetal pigs: Causes and insights for nutritional optimization. Mol. Reprod. Dev. 2017, 84, 897–904. [Google Scholar] [CrossRef] [PubMed]
- Royston, J.P.; Flecknell, P.A.; Wootton, R. New evidence that the intra-uterine growth-retarded piglet is a member of a discrete subpopulation. Neonatology 1982, 42, 100–104. [Google Scholar] [CrossRef]
- Lopez-Bote, C.J. Sustained utilization of the Iberian pig breed. Meat Sci. 1998, 49, S17–S27. [Google Scholar] [CrossRef]
- Fenton, F.R.; Schwartz, F.L.; Bazer, F.W.; Robison, O.W.; Ulberg, L.C. Stage of gestation when uterine capacity limits embryo survival in gilts. J. Anim. Sci. 1972, 35, 383–388. [Google Scholar] [CrossRef]
- Wootton, R.; McFadyen, I.R.; Cooper, J.E. Measurement of placental blood flow in the pig and its relation to placental and fetal weight. Neonatology 1977, 31, 333–339. [Google Scholar] [CrossRef]
- Gonzalez-Añover, P.; Encinas, T.; Torres-Rovira, L.; Pallares, P.; Muñoz-Frutos, J.; Gomez-Izquierdo, E.; Sanchez-Sanchez, R.; Gonzalez-Bulnes, A. Ovulation rate, embryo mortality and intrauterine growth retardation in obese swine with gene polymorphisms for leptin and melanocortin receptors. Theriogenology 2011, 75, 34–41. [Google Scholar] [CrossRef]
- Torres-Rovira, L.; Gonzalez-Añover, P.; Pallares, P.; Perez-Solana, M.L.; Astiz, S.; Gomez-Izquierdo, E.; Sanchez-Sanchez, R.; Gonzalez-Bulnes, A. The interaction between ovulation rate and embryo survival in determining prolificacy of different strains of obese swine with gene polymorphisms for leptin receptors. Anim. Prod. Sci. 2012, 52, 58–63. [Google Scholar] [CrossRef]
- Gonzalez-Bulnes, A.; Torres-Rovira, L.; Ovilo, C.; Astiz, S.; Gomez-Izquierdo, E.; Gonzalez-Añover, P.; Pallares, P.; Perez-Solana, M.L.; Sanchez-Sanchez, R. Reproductive, endocrine and metabolic feto-maternal features and placental gene expression in a swine breed with obesity/leptin resistance. Gen. Comp. Endocrinol. 2012, 176, 94–101. [Google Scholar] [CrossRef]
- Wu, G.; Bazer, F.W.; Wallace, J.M.; Spencer, T.E. Board-invited review: Intrauterine growth retardation: Implications for the animal sciences. J. Anim. Sci. 2006, 84, 2316–2337. [Google Scholar] [CrossRef] [PubMed]
- Zhao, L.; Huang, Y.; Du, M. Farm animals for studying muscle development and metabolism: Dual purposes for animal production and human health. Anim. Front. 2019, 9, 21–27. [Google Scholar] [CrossRef] [PubMed]
- Smith, B.I.; Govoni, K.E. Use of agriculturally important animals as models in biomedical research. Adv. Exp. Med. Biol. 2022, 1354, 315–333. [Google Scholar] [PubMed]
- Segura, J.; Lopez-Bote, C.J. A laboratory efficient method for intramuscular fat analysis. Food Chem. 2014, 145, 821–825. [Google Scholar] [CrossRef] [PubMed]
- Gonzalez-Bulnes, A.; Ovilo, C.; Lopez-Bote, C.J.; Astiz, S.; Ayuso, M.; Perez-Solana, M.L.; Sanchez-Sanchez, R.; Torres-Rovira, L. Gender-specific early postnatal catch-up growth after intrauterine growth retardation by food restriction in swine with obesity/leptin resistance. Reproduction 2012, 144, 269–278. [Google Scholar] [CrossRef]
- Barbero, A.; Astiz, S.; Lopez-Bote, C.J.; Perez-Solana, M.L. Ayuso, M.; Garcia-Real, I.; Gonzalez-Bulnes, A. Maternal malnutrition and offspring sex determine juvenile obesity and metabolic disorders in a swine model of leptin resistance. PLoS ONE 2013, 8, e78424. [Google Scholar] [CrossRef] [PubMed]
- Gonzalez-Bulnes, A.; Ovilo, C. Genetic basis, nutritional challenges and adaptive responses in the prenatal origin of obesity and type-2 diabetes. Curr. Diabetes Rev. 2012, 8, 144–154. [Google Scholar] [CrossRef] [PubMed]
- Ozaki, T.; Nishina, H.; Hanson, M.A.; Poston, L. Dietary restriction in pregnant rats causes gender-related hypertension and vascular dysfunction in offspring. J. Physiol. 2001, 530, 141–152. [Google Scholar] [CrossRef] [PubMed]
- Woods, L.L.; Weeks, D.A.; Rasch, R. Programming of adult blood pressure by maternal protein restriction: Role of nephrogenesis. Kidney Int. 2004, 65, 1339–1348. [Google Scholar] [CrossRef]
- Grigore, D.; Ojeda, N.B.; Alexander, B.T. Sex differences in the fetal programming of hypertension. Gender Med. 2008, 5, S121–S132. [Google Scholar] [CrossRef]
- Mingrone, G.; Manco, M.; Mora, M.E.; Guidone, C.; Iaconelli, A.; Gniuli, D. Influence of maternal obesity on insulin sensitivity and secretion in offspring. Diabetes Care 2008, 31, 1872–1876. [Google Scholar] [CrossRef]
- Mao, J.; Zhang, X.; Sieli, P.T.; Falduto, M.T.; Torres, K.E.; Rosenfeld, C.S.; Roberts, R.M. Contrasting effects of different maternal diets on sexually dimorphic gene expression in the murine placenta. Proc. Nat. Acad. Sci. USA 2010, 107, 5557–5562. [Google Scholar] [CrossRef]
- Torres-Rovira, L.; Tarrade, A.; Astiz, S.; Mourier, E.; Perez-Solana, M.; de la Cruz, P.; Gomez-Fidalgo, E.; Sanchez-Sanchez, R.; Chavatte-Palmer, P.; Gonzalez-Bulnes, A. Sex and breed-dependent organ development and metabolic responses in foetuses from lean and obese/leptin resistant swine. PLoS ONE 2013, 8, e66728. [Google Scholar] [CrossRef][Green Version]
- Gonzalez-Bulnes, A.; Torres-Rovira, L.; Astiz, S.; Ovilo, C.; Sanchez-Sanchez, R.; Gomez-Fidalgo, E.; Perez-Solana, M.; Martin-Lluch, M.; Garcia-Contreras, C.; Vazquez-Gomez, M. Fetal sex modulates developmental response to maternal malnutrition. PLoS ONE 2015, 10, e0142158. [Google Scholar] [CrossRef]
- Cogollos, L.; Garcia-Contreras, C.; Vazquez-Gomez, M.; Astiz, S.; Sanchez-Sanchez, R.; Gomez-Fidalgo, E.; Ovilo, C.; Isabel, B.; Gonzalez-Bulnes, A. Effects of fetal genotype and sex on developmental response to maternal malnutrition. Reprod. Fertil. Dev. 2017, 29, 1155–1168. [Google Scholar] [CrossRef]
- Breier, B.H.; Vickers, M.H.; Ikenasio, B.A.; Chan, K.Y.; Wong, W.P.S. Fetal programming of appetite and obesity. Mol. Cell. Endocrinol. 2001, 185, 73–79. [Google Scholar] [CrossRef]
- Hales, C.N.; Ozanne, S.E. The dangerous road of catch-up growth. J. Physiol. 2003, 547, 5–10. [Google Scholar] [CrossRef]
- Ross, M.G.; Desai, M. Gestational programming: Population survival effects of drought and famine during pregnancy. Am. J. Physiol. Regul. Integr. Comp. Physiol. 2005, 288, R25–R33. [Google Scholar] [CrossRef]
- Ibañez, L.; Ong, K.; Dunger, D.B.; de Zegher, F. Early development of adiposity and insulin resistance after catch-up weight gain in small-forgestational-age children. J. Clin. Endocrinol. Metabol. 2006, 91, 2153–2158. [Google Scholar] [CrossRef]
- Elder, D.A.; Prigeon, R.L.; Wadwa, R.P.; Dolan, L.M.; D’Alessio, D.A. Beta-cell function, insulin sensitivity, and glucose tolerance in obese diabetic and nondiabetic adolescents and young adults. J. Clin. Endocrinol. Metab. 2006, 91, 185–191. [Google Scholar] [CrossRef]
- Scheen, A.J. Central nervous system: A conductor orchestrating metabolic regulations harmed by both hyperglycaemia and hypoglycaemia. Diabetes Metab. 2010, 36, 31–38. [Google Scholar] [CrossRef]
- Gonzalez-Bulnes, A.; Astiz, S.; Vazquez-Gomez, M.; Garcia-Contreras, C. Developmental origins of metabolic disorders: The need for biomarker candidates and therapeutic targets from adequate preclinical models. EuPA Open Proteom. 2016, 10, 50–55. [Google Scholar] [CrossRef] [PubMed]
- Koopmans, S.J.; Schuurman, T. Considerations on pig models for appetite, metabolic syndrome and obese type 2 diabetes: From food intake to metabolic disease. Eur. J. Pharmacol. 2015, 759, 231–239. [Google Scholar] [CrossRef] [PubMed]
- Kahn, S.E.; Prigeon, R.L.; McCulloch, D.K.; Boyko, E.J.; Bergman, R.N.; Schwartz, M.W.; Neifing, J.L.; Ward, W.K.; Beard, J.C.; Palmer, J.P. Quantification of the relationship between insulin sensitivity and beta-cell function in human subjects. Evidence for a hyperbolic function. Diabetes 1993, 42, 1663–1672. [Google Scholar] [CrossRef] [PubMed]
- Koyama, K.; Chen, G.; Lee, Y.; Unger, R.H. Tissue triglycerides, insulin resistance, and insulin production: Implications forhyperinsulinemia of obesity. Am. J. Physiol. 1997, 273, 708–713. [Google Scholar] [CrossRef]
- Slyper, A.H. Childhood obesity, adipose tissue distribution, and the pediatric practitioner. Pediatrics 1998, 102, e4. [Google Scholar] [CrossRef]
- Kwiterovich, P.O. Primary and secondary disorders of lipid metabolism in pediatrics. Pediatr. Endocrinol. Rev. 2008, 5, 727–738. [Google Scholar]
- Chandler-Laney, P.C.; Phadke, R.P.; Granger, W.M.; Muñoz, J.A.; Man, C.D.; Cobelli, C.; Ovalle, F.; Fernández, J.R.; Gower, B.A. Adiposity and β-cell function: Relationships differ with ethnicity and age. Obesity 2010, 18, 2086–2092. [Google Scholar] [CrossRef] [PubMed]
- Prentki, M.; Nolan, C.J. Islet cell failure in type 2 diabetes. J. Clin. Investig. 2006, 116, 1802–1812. [Google Scholar] [CrossRef] [PubMed]
- Roden, M.; Price, T.B.; Perseghin, G.; Petersen, K.F.; Rothman, D.L.; Cline, G.W.; Shulman, G.I. Mechanism of free fatty acid–induced insulin resistance in humans. J. Clin. Investig. 1996, 97, 2859–2865. [Google Scholar] [CrossRef] [PubMed]
- Schinner, S.; Scherbaum, W.A.; Bornstein, S.R.; Barthel, A. Molecular mechanisms of insulin resistance. Diabetes Med. 2005, 22, 674–682. [Google Scholar] [CrossRef] [PubMed]
- Reaven, G.M. Role of insulin resistance in human disease. Diabetes 1988, 37, 1595–1607. [Google Scholar] [CrossRef]
- Grundy, S.M.; Brewer, H.B.; Cleeman, J.I.; Smith, S.C.; Lenfant, C. Definition of metabolic syndrome: Report of the National Heart, Lung, and Blood Institute/American Heart Association conference on scientific issues related to definition. Circulation 2004, 109, 433–438. [Google Scholar] [CrossRef]
- Kahn, R.; Buse, J.; Ferrannini, E.; Stern, M. The metabolic syndrome: Time for a critical appraisal-Joint statement from the American Diabetes Association and the European Association for the Study of Diabetes. Diabetes Care 2005, 28, 2289–2304. [Google Scholar] [CrossRef]
- Olufadi, R.; Byrne, C.D. Clinical and laboratory diagnosis of the metabolic syndrome. J. Clin. Pathol. 2008, 61, 697–706. [Google Scholar] [CrossRef]



| Parameter | NBW | LBW | p-Value | |||
|---|---|---|---|---|---|---|
| Birth Weight | Diet | Interaction | ||||
| Cholesterol (mg/dL) | MD | 104.6 ± 7.00 | 102.64 ± 7.02 | 0.326 | 0.0008 | 0.124 |
| FD | 126.98 ± 3.24 | 118.09 ± 6.64 | ||||
| HDL-C (mg/dL) | MD | 33.62 ± 3.45 | 33.08 ± 5.67 | 0.864 | 0.226 | 0.660 |
| FD | 35.57 ± 4.04 | 35.97 ± 6.07 | ||||
| LDL-C (mg/dL) | MD | 63.21 ± 5.10 | 64.05 ± 10.06 | 0.647 | 0.129 | 0.347 |
| FD | 70.53 ± 8.24 | 68.42 ± 9.97 | ||||
| Triglycerides (mg/dL) | MD | 54.91 ± 3.47 | 55.80 ± 5.21 | 0.126 | 0.005 | 0.276 |
| FD | 96.5 ± 8.82 | 71.12 ± 7.76 | ||||
| NEFAS (mM) | MD | 0.30 ± 0.03 | 0.32 ± 0.03 | 0.412 | 0.861 | 0.801 |
| FD | 0.30 ± 0.04 | 0.33 ± 0.03 | ||||
| Total protein (g/dL) | MD | 6.99 ± 0.19 | 7.66 ± 0.27 | 0.239 | 0.240 | 0.022 |
| FD | 7.21 ± 0.12 | 6.99 ± 0.19 | ||||
| Urea (mg/dL) | MD | 18.29 ± 1.59 | 22.29 ± 2.79 | 0.628 | 0.770 | 0.093 |
| FD | 21.94 ± 1.30 | 19.71 ± 1.58 | ||||
| Cortisol (ng/mL) | MD | 64.69 ± 12.45 | 70.52 ± 9.07 | 0.190 | 0.039 | 0.391 |
| FD | 80.53 ± 11.51 | 107.99 ± 15.93 | ||||
| Parameter | NBW | LBW | p-Value | |||
|---|---|---|---|---|---|---|
| Birth Weight | Diet | Interaction | ||||
| Glucose (mg/dL) | MD | 89.27 ± 5.36 | 96.04 ± 3.41 | 0.033 | 0.837 | 0.412 |
| FD | 84.20 ± 2.37 | 99.08 ± 6.76 | ||||
| Fructosamine (mg/dL) | MD | 314.09 ± 6.65 | 321.90 ± 8.82 | 0.447 | 0.004 | 0.284 |
| FD | 347.92 ± 5.60 | 347.00 ± 7.72 | ||||
| Insulin (mU/L) | MD | 19.56 ± 2.23 | 16.55 ± 1.95 | 0.009 | 0.091 | 0.118 |
| FD | 28.16 ± 3.56 | 16.91 ± 1.83 | ||||
| HOMA-IR | MD | 4.33 ± 0.56 | 4.16 ± 0.53 | 0.686 | 0.657 | 0.640 |
| FD | 4.60 ± 0.41 | 4.35 ± 0.39 | ||||
| HOMA-β | MD | 228.35 ± 37.74 | 195.62 ± 29.57 | 0.899 | 0.053 | 0.211 |
| FD | 321.31 ± 21.95 | 333.77 ± 67.09 | ||||
| Parameter | NBW | LBW | p-Value | |||
|---|---|---|---|---|---|---|
| Birth Weight | Diet | Interaction | ||||
| MDA (µM) | MD | 1.78 ± 0.09 | 1.41 ± 0.09 | 0.612 | 0.757 | 0.016 |
| FD | 1.51 ± 0.11 | 1.75 ± 0.16 | ||||
| GPx (U/L) | MD | 962.53 ± 41.77 | 1114.29 ± 78.03 | 0.464 | 0.401 | 0.030 |
| FD | 1119.78 ± 38.77 | 1042.91 ± 45.13 | ||||
| SOD (U/mL) | MD | 0.26 ± 0.02 | 0.22 ± 0.04 | 0.660 | 0.029 | 0.410 |
| FD | 0.16 ± 0.03 | 0.17 ± 0.03 | ||||
Publisher’s Note: MDPI stays neutral with regard to jurisdictional claims in published maps and institutional affiliations. |
© 2022 by the authors. Licensee MDPI, Basel, Switzerland. This article is an open access article distributed under the terms and conditions of the Creative Commons Attribution (CC BY) license (https://creativecommons.org/licenses/by/4.0/).
Share and Cite
Heras-Molina, A.; Yeste, N.; Pesantez-Pacheco, J.L.; Astiz, S.; Vazquez-Gomez, M.; Bettiga, A.; Trevisani, F.; Garcia-Contreras, C.; Luis-Lima, S.; Bassols, A.; et al. Obesity and Metabolic Traits after High-Fat Diet in Iberian Pigs with Low Birth Weight of Placental Origin. Biology 2022, 11, 1533. https://doi.org/10.3390/biology11101533
Heras-Molina A, Yeste N, Pesantez-Pacheco JL, Astiz S, Vazquez-Gomez M, Bettiga A, Trevisani F, Garcia-Contreras C, Luis-Lima S, Bassols A, et al. Obesity and Metabolic Traits after High-Fat Diet in Iberian Pigs with Low Birth Weight of Placental Origin. Biology. 2022; 11(10):1533. https://doi.org/10.3390/biology11101533
Chicago/Turabian StyleHeras-Molina, Ana, Natalia Yeste, José Luis Pesantez-Pacheco, Susana Astiz, Marta Vazquez-Gomez, Arianna Bettiga, Francesco Trevisani, Consolacion Garcia-Contreras, Sergio Luis-Lima, Anna Bassols, and et al. 2022. "Obesity and Metabolic Traits after High-Fat Diet in Iberian Pigs with Low Birth Weight of Placental Origin" Biology 11, no. 10: 1533. https://doi.org/10.3390/biology11101533
APA StyleHeras-Molina, A., Yeste, N., Pesantez-Pacheco, J. L., Astiz, S., Vazquez-Gomez, M., Bettiga, A., Trevisani, F., Garcia-Contreras, C., Luis-Lima, S., Bassols, A., Porrini, E., & Gonzalez-Bulnes, A. (2022). Obesity and Metabolic Traits after High-Fat Diet in Iberian Pigs with Low Birth Weight of Placental Origin. Biology, 11(10), 1533. https://doi.org/10.3390/biology11101533

