Comparative Analysis and Evaluation of Modeling Methods for Nuclear-Grade HEPA Filters
Abstract
1. Introduction
2. Methodology
2.1. System Description
2.2. Mathematical Modeling
- PSL: offers the advantage of a uniform particle size distribution, making it useful for evaluating the consistency of filter performance.
- Fluorescein soda: effective in visualizing particle capture and distribution within the filter media.
3. Results and Discussion
3.1. Single Fiber Efficiency
3.2. Overall Efficiency
3.3. Decontamination Factor (DF)
3.4. Influence of Filtration Velocity on the MPPS
- Medium Heterogeneities: Variations in packing density and thickness can create localized regions with differing filtration performance. These heterogeneities can significantly affect the overall efficiency of the filter by altering the flow pathways and particle capture dynamics.
- Fiber Size Distribution: Real HEPA filters typically exhibit a polydisperse fiber size distribution, which affects the interaction between particles and fibers. The uniform fiber diameter assumptions in the model do not capture the full range of interactions that occur in actual filter media, potentially leading to discrepancies between the modeled and experimental efficiencies.
- Velocity Gradients: Non-uniform flow distribution through the filter can result in velocity gradients that influence particle capture mechanisms. Areas of higher velocity may enhance impaction and interception, where as those of lower velocity may improve diffusion-based capture.
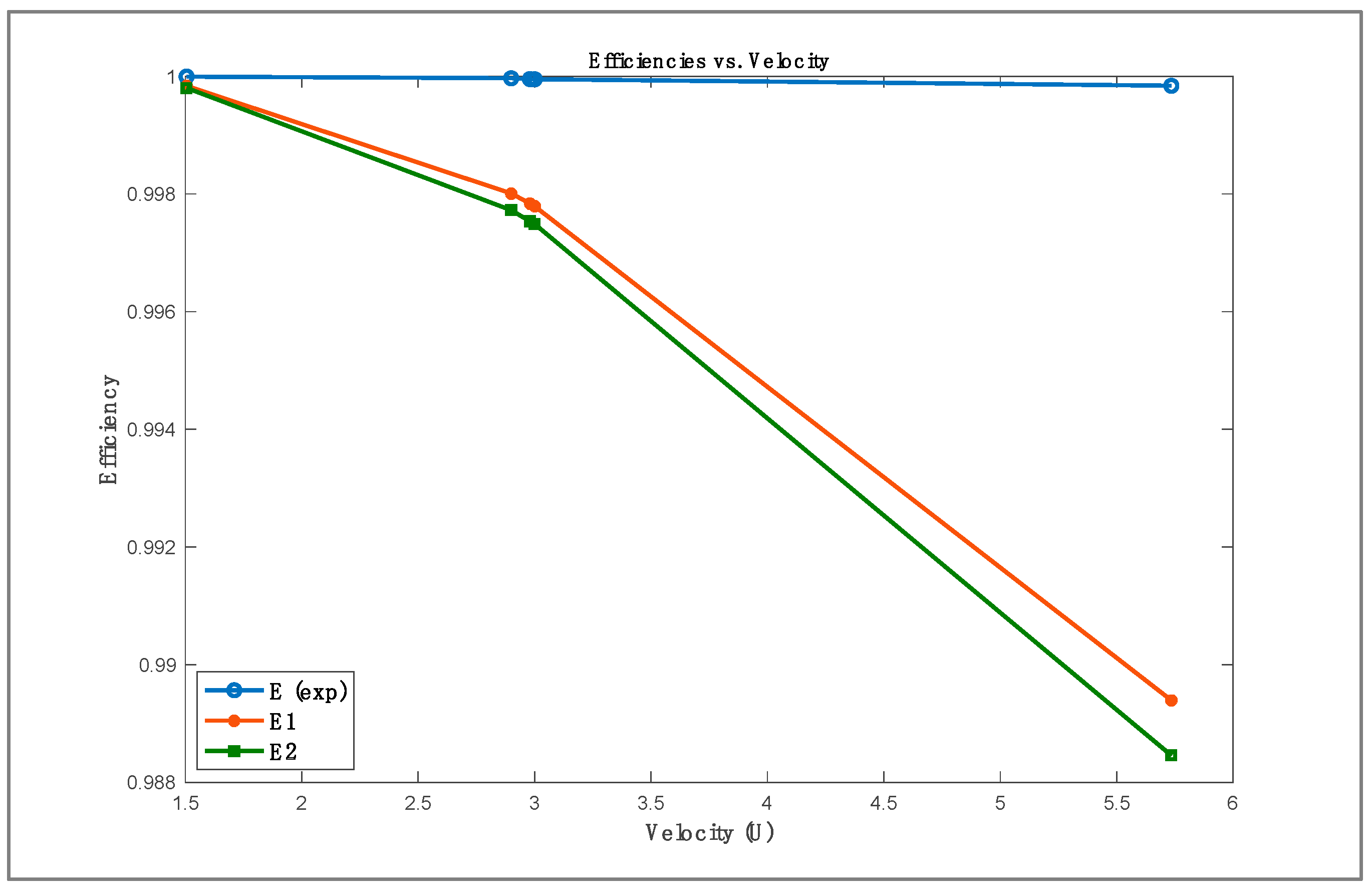
3.5. Model-Experimental Comparison at Different Velocities
3.6. Fiber Diameter Implications
3.7. 3D Visualization of Filter Performance
4. Conclusions
Author Contributions
Funding
Institutional Review Board Statement
Informed Consent Statement
Data Availability Statement
Acknowledgments
Conflicts of Interest
Abbreviations
| HEPA | High-Efficiency Particulate Air |
| MPPS | Most Penetrating Particle Size |
| IAEA | International Atomic Energy Agency |
| NSRPR | Nuclear Safety and Radiation Protection Regulations |
| SEM | Scanning Electronic Microscopy |
| E | Overall efficiency, Equation (7) |
| η | Total single fiber efficiency, Equations (5) and (6) |
| ηD | Single fiber efficiency by diffusion, Equation (1) |
| ηR | Single fiber efficiency by interception, Equation (2) |
| ηI | Single fiber efficiency by inertial impaction, Equation (3) |
| α | Medium packing density, 0.008 < α < 0.151 |
| R | Characteristic number, R = dp/df; 0.0045 < R < 0.12 |
| dp | Particle diameter, 0.05 ≤ dp ≤ 5 µm |
| df | Fiber diameter µm |
| Uf/U | Superficial velocity, 1 < uf < 30 cm/s |
| ρP | Particle density: 1500 kg/m3 |
| µ | Fluid dynamic viscosity |
| t | Thickness of the filter |
| Pe | Peclet number |
| St | Stokes number |
References
- Faouri, S.; AlBashayreh, M.; Azzeh, M. Examining stability of machine learning methods for predicting dementia at early phases of the disease. arXiv 2022, arXiv:2209.04643. [Google Scholar] [CrossRef]
- Mansour, M.A.; Beithou, N.; Othman, A.; Qandil, A.; Khalid, M.B.; Borowski, G.; Alsaqoor, S.; Alahmer, A.; Jouhara, H. Effect of liquid saturated porous medium on heat transfer from thermoelectric generator. Int. J. Thermofluids 2023, 17, 100264. [Google Scholar] [CrossRef]
- Yuan, X.; Zuo, J.; Ma, R.; Wang, Y. How would social acceptance affect nuclear power development? A study from China. J. Clean. Prod. 2017, 163, 179–186. [Google Scholar]
- Bresson, J. High-Efficiency Particulate air Filter Test Activities at the Department of Energy; 1987; Available online: https://inis.iaea.org/search/search.aspx?orig_q=RN:20015811 (accessed on 17 April 2024).
- Burchsted, C.; Kahn, J.E.; Fuller, A.B. Nuclear Air Cleaning Handbook: Design, Construction, and Testing of High-Efficiency Air Cleaning Systems for Nuclear Application; Oak Ridge National Laboratory: Oak Ridge, TN, USA, 1976. [Google Scholar]
- Lee, K.; Liu, B. Theoretical study of aerosol filtration by fibrous filters. Aerosol Sci. Technol. 1982, 1, 147–161. [Google Scholar] [CrossRef]
- Kuwabara, S. The forces experienced by randomly distributed parallel circular cylinders or spheres in a viscous flow at small Reynolds numbers. J. Phys. Soc. Jpn. 1959, 14, 527–532. [Google Scholar] [CrossRef]
- Ramarao, B.V.; Tien, C.; Mohan, S. Calculation of single fiber efficiencies for interception and impaction with superposed Brownian motion. J. Aerosol Sci. 1994, 25, 295–313. [Google Scholar]
- Gilbert, H. High-Efficiency Filter in Nuclear Air Cleaning; 1987. Available online: https://www.nrc.gov/docs/ML2023/ML20237K506.pdf (accessed on 17 April 2024).
- Osaki, M.; Kanagawa, A. Performance of high-efficiency particulate air filters under severe conditions. Nucl. Technol. 1989, 85, 274–284. [Google Scholar]
- Alderman, S.L.; Parsons, M.S.; Hogancamp, K.U.; Waggoner, C.A. Evaluation of the effect of media velocity on filter efficiency and most penetrating particle size of nuclear grade high-efficiency particulate air filters. J. Occup. Environ. Hyg. 2008, 5, 713–720. [Google Scholar] [CrossRef]
- Association, J.A.C. Studies on in-place test of high efficiency particulate air filters in nuclear fuel facilities. Kuki Seijo 1983, 21, 1–19. [Google Scholar]
- IAEA. Comparison of High Efficiency Particulate Filter Testing Methods; IAEA: Vienna, Austria, 1985. [Google Scholar]
- Abdallah, S.; Nasir, M.; Afaneh, D. Performance evaluation of spherical and pyramid solar stills with chamber stepwise basin. Desalination Water Treat. 2021, 218, 119–125. [Google Scholar] [CrossRef]
- Kassai, M.; Al-Hyari, L. Investigation of ventilation energy recovery with polymer membrane material-based counter-flow energy exchanger for nearly zero-energy buildings. Energies 2019, 12, 1727. [Google Scholar] [CrossRef]
- Shaw, D.; Blundell, N. Analysing causes of avoidable waste in complex systems: A case study from the nuclear industry. J. Clean. Prod. 2014, 85, 41–50. [Google Scholar] [CrossRef]
- Bergman, W.; Sawyer, S. Development of a High-Efficiency, High-Performance Air Filter Medium; Lawrence Livermore National Lab.: Livermore, CA, USA, 1988. [Google Scholar]
- Bourrous, S.; Ribeyre, Q.; Lintis, L.; Yon, J.; Bau, S.; Thomas, D.; Vallières, C.; Ouf, F.-X. A semi-automatic analysis tool for the determination of primary particle size, overlap coefficient and specific surface area of nanoparticles aggregates. J. Aerosol Sci. 2018, 126, 122–132. [Google Scholar] [CrossRef]
- Xu, B.; Liu, J.; Ren, S.; Yin, W.; Chen, Q. Investigation of the performance of airliner cabin air filters throughout lifetime usage. Aerosol Air Qual. Res. 2013, 13, 1544–1551. [Google Scholar] [CrossRef]
- Abraham, M.E. Microanalysis of Indoor Aerosols and the Impact of a Compact High-Efficiency Particulate Air (HEPA) Filter System. Indoor Air 1999, 9, 33–40. [Google Scholar] [CrossRef]
- Shim, E.; Jang, J.-P.; Moon, J.-J.; Kim, Y. Improvement of Polytetrafluoroethylene Membrane High-Efficiency Particulate Air Filter Performance with Melt-Blown Media. Polymers 2021, 13, 4067. [Google Scholar] [CrossRef]
- Arunkumar, R.; Hogancamp, K.U.; Parsons, M.S.; Rogers, D.M.; Norton, O.P.; Nagel, B.A.; Alderman, S.L.; Waggoner, C.A. High-efficiency particulate air filter test stand and aerosol generator for particle loading studies. Rev. Sci. Instrum. 2007, 78, 085105. [Google Scholar] [CrossRef]
- Al-Ghriybah, M.; Alnsour, M.A.; Al-Hyari, L. Using Weibull distribution model for wind energy analysis of small-scale power generation at Al-Salt city in Jordan. Model. Earth Syst. Environ. 2023, 9, 2651–2661. [Google Scholar] [CrossRef]
- ISO. New Standard for EPA, HEPA and ULPA Filters; ISO: Geneva, Switzerland, 2017. [Google Scholar]
- Schweinheim, C. Setting standards for HEPA filter efficiency. Filtr. Sep. 2015, 52, 13–15. [Google Scholar] [CrossRef]
- Xu, T.; Lan, C.H.; Jeng, M.S. Performance of large fan-filter units for cleanroom applications. Build. Environ. 2007, 42, 2299–2304. [Google Scholar] [CrossRef]
- ISO 29463; High-Efficiency Filters and Filter Media for Removing Particles in Air-Part 3: Testing Flat Sheet Filter Media. International Organization for Standardization: Geneva, Switzerland, 2011. Available online: https://www.iso.org/standard/51837.html (accessed on 8 July 2024).
- Zhou, B.; Shen, J. Comparison Of HEPA/ULPA Filter Test Standards between America And Europe. 2007. Available online: https://www.irbnet.de/daten/iconda/CIB7011.pdf (accessed on 17 April 2024).
- Wilcox, M.; Kurz, R.; Brun, K. Technology Review of Modern Gas Turbine Inlet Filtration Systems. Int. J. Rotating Mach. 2012, 2012, 128134. [Google Scholar] [CrossRef]
- Benmansour, A.; Hamdan, M.A.; Bengeuddach, A. Experimental and numerical investigation of solid particles thermal energy storage unit. Appl. Therm. Eng. 2006, 26, 513–518. [Google Scholar] [CrossRef]
- EN 1822-1; High Efficiency Air Filters (EPA, HEPA, and ULPA)—Part 1: Classification, Performance, Testing, Marking. Standard. European Committee for Standardization: Brussels, Belgium, 2009. Available online: https://www.emw.de/en/filter-campus/filter-classes.html (accessed on 8 July 2024).
- ISO 14644-1; Cleanrooms and Associated Controlled Environments—Part 1: Classification of Air Cleanliness. ISO: Geneva, Switzerland, 2015; 44p. Available online: https://www.iest.org/Standards-RPs/ISO-Standards/ISO-14644-Series/IEST-Guides-to-ISO-14644-Standards (accessed on 8 July 2024).
- Purchas, D.B.; Sutherland, K. CHAPTER 5—Air and Gas Filter Media. In Handbook of Filter Media, 2nd ed.; Elsevier eBooks; Elsevier: Amsterdam, The Netherlands, 2002; pp. 153–200. [Google Scholar] [CrossRef]
- Comsan, M.N. Proceedings of the Third Environmental Physics Conference (EPC-2008). 2009. Available online: https://www.osti.gov/etdeweb/biblio/21301784 (accessed on 8 July 2024).
- IAEA. Particulate Filtration in Nuclear Facilities; International Atomic Energy Agency: Vienna, Austria, 1991. [Google Scholar]
- Linder, P. Air Filters for Use at Nuclear Facilities; 1970; Available online: https://inis.iaea.org/collection/NCLCollectionStore/_Public/34/065/34065171.pdf (accessed on 17 April 2024).
- Parthasarthy, P.; Shome, J. High Efficiency Particulate Air Filtration and Monitoring System for an Underground Nuclear Waste Repository; 1987; Available online: https://inis.iaea.org/search/search.aspx?orig_q=RN:20015811 (accessed on 17 April 2024).
- Djouider, F. Performance Evaluation of High Efficiency Particulate Filters for the Removal of Sub-Micrometer Radioactive Aerosols in Nuclear Power Reactors. Simulation Study. J. King Abdulaziz Univ. Eng. Sci. 2023, 33, 11. [Google Scholar]
- Alilou, Y.; Bardin-Monnier, N.; Thomas, D.; Bourrous, S.; Lemaître, P.; Gélain, T. Development of a semi-analytical model to predict the pressure drop of clean pleated high-efficiency particulate air filters. Can. J. Chem. Eng. 2023, 101, 1623–1632. [Google Scholar] [CrossRef]
- Lück, R.; Lu, K.; Frantz, W. JMA analysis of the transformation kinetics from the amorphous to the nanocrystalline state. Scr. Metall. Mater. 1993, 28, 1071–1075. [Google Scholar] [CrossRef]
- Hinds, W.C. Aerosol Technology: Properties, Behavior, and Measurement of Airborne Particles. 1999. Available online: https://lib.ugent.be/en/catalog/rug01:000658373 (accessed on 17 April 2024).
- Chuanfang, Y. Aerosol filtration application using fibrous media—An industrial perspective. Chin. J. Chem. Eng. 2012, 20, 1–9. [Google Scholar]
- Ciorîță, A.; Suciu, M.; Coroş, M.; Varodi, C.; Pogăcean, F.; Măgeruşan, L.; Mirel, V.; Ștefan-van Staden, R.I.; Pruneanu, S. Antibacterial Enhancement of High-Efficiency Particulate Air Filters Modified with Graphene-Silver Hybrid Material. Microorganisms 2023, 11, 745. [Google Scholar] [CrossRef]
- First, M. Air and Gas Cleaning Technology for Nuclear Applications. ASHRAE Trans.; (United States), 1986. 92 (CONF-860106-). Available online: https://www.osti.gov/biblio/7243063 (accessed on 17 April 2024).
- Joubert, A.; Laborde, J.C.; Bouilloux, L.; Calle-Chazelet, S.; Thomas, D. Influence of humidity on clogging of flat and pleated HEPA filters. Aerosol Sci. Technol. 2010, 44, 1065–1076. [Google Scholar] [CrossRef]
- Al-Attar, I.S. The Effect of Pleating Density and Dust Type on Performance of Absolute Fibrous Filters. Doctoral Dissertation, Loughborough University, Loughborough, UK, 2011. [Google Scholar]
- Gougeon, R. Liquid Aerosol Filtration by Fibrous Filters in Interception and Inertial Regimes; Filtration des Aerosols Liquides par les Filtres a Fibres en Regimes Dinterception et Dinertie. 1994. Available online: https://www.osti.gov/etdeweb/biblio/411280 (accessed on 17 April 2024).
- Polat, Y.; Calisir, M.; Gungor, M.; Sagirli, M.N.; Atakan, R.; Akgul, Y.; Demir, A.; Kilic, A. Solution blown nanofibrous air filters modified with glass microparticles. J. Ind. Text. 2021, 51, 821–834. [Google Scholar] [CrossRef]
- NFX 44 011-1972; Superseded, Air Cleaning Devices—Method of Measuring Filter Efficiency Using a Uranine (Fluorescent) Aerosol, Superseded Date, 01-11-2016, Published date, 12-01-2013. Association Francaise de Normalisation: Saint-Denis, France, 2013. Available online: https://www.boutique.afnor.org/fr-fr/norme/nf-x44011/separateurs-aerauliques-methode-de-mesure-de-lefficacite-des-filtres-au-moy/fa009648/14606 (accessed on 8 July 2024).
- Hinds, W.C.; Zhu, Y. Aerosol Technology: Properties, Behavior, and Measurement of Airborne Particles; John Wiley & Sons: Hoboken, NJ, USA, 2022. [Google Scholar]
- ISO 16170: 2016; In Situ Test Methods for High Efficiency Filter Systems in Industrial Facilities. ISO: Geneva, Switzerland, 2017. Available online: https://www.iso.org/standard/55785.html (accessed on 8 July 2024).










| Fiber diameter | Geometric median diameter (µm) Geometric SD Numerical mean diameter (µm) | 0.6 2.2 0.9 |
| Thickness (µm) | 521 ± 31 | |
| Weight (g.m−2) | 92 ± 2 | |
| Packing density | 0.071 ± 0.006 |
| Particle size | 0.18 micrometre |
| Filtration velocity | 2.98 (cm/s) |
| Particle density | 1500 (kg/m3) |
| Temperature | 298 (K) |
| Dynamic viscosity of air | 1.85 × 10−5 (kg/m.s) |
| Particle mean free path | 6.4 × 10−8 (m) |
| Sn. | Filtration Velocity, (cm/s) | E | MPPS (µm) | ||
|---|---|---|---|---|---|
| 1 | 1 | 0.99995348 | 0.999947 | 0.000 | 0.27 |
| 2 | 1.5 | 0.99971686 | 0.999671 | 0.005 | 0.24 |
| 3 | 2 | 0.99921856 | 0.999086 | 0.013 | 0.23 |
| 4 | 2.5 | 0.99848275 | 0.998217 | 0.027 | 0.22 |
| 5 | 3 | 0.99756455 | 0.997128 | 0.044 | 0.21 |
| 6 | 3.5 | 0.99651831 | 0.995884 | 0.064 | 0.2 |
| 7 | 4 | 0.99538846 | 0.994537 | 0.086 | 0.2 |
| 8 | 4.5 | 0.99420883 | 0.993128 | 0.109 | 0.19 |
| 9 | 5 | 0.99300433 | 0.991687 | 0.133 | 0.18 |
| 10 | 5.5 | 0.99179301 | 0.990235 | 0.157 | 0.18 |
| 11 | 6 | 0.99058775 | 0.988789 | 0.182 | 0.18 |
| 12 | 6.5 | 0.98939765 | 0.98736 | 0.206 | 0.17 |
| 13 | 7 | 0.98822904 | 0.985954 | 0.231 | 0.17 |
| 14 | 7.5 | 0.98708622 | 0.984578 | 0.255 | 0.17 |
| 15 | 8 | 0.98597202 | 0.983235 | 0.278 | 0.17 |
Disclaimer/Publisher’s Note: The statements, opinions and data contained in all publications are solely those of the individual author(s) and contributor(s) and not of MDPI and/or the editor(s). MDPI and/or the editor(s) disclaim responsibility for any injury to people or property resulting from any ideas, methods, instructions or products referred to in the content. |
© 2024 by the authors. Licensee MDPI, Basel, Switzerland. This article is an open access article distributed under the terms and conditions of the Creative Commons Attribution (CC BY) license (https://creativecommons.org/licenses/by/4.0/).
Share and Cite
Al Dabbas, A.; Al-Azba, M.; Kopecskó, K.; Fawaier, M.; Alshebli, A.; Al-Hyari, L.; Joubert, A. Comparative Analysis and Evaluation of Modeling Methods for Nuclear-Grade HEPA Filters. Fibers 2024, 12, 71. https://doi.org/10.3390/fib12090071
Al Dabbas A, Al-Azba M, Kopecskó K, Fawaier M, Alshebli A, Al-Hyari L, Joubert A. Comparative Analysis and Evaluation of Modeling Methods for Nuclear-Grade HEPA Filters. Fibers. 2024; 12(9):71. https://doi.org/10.3390/fib12090071
Chicago/Turabian StyleAl Dabbas, Ali, Mohammed Al-Azba, Katalin Kopecskó, Mohammad Fawaier, Ahmad Alshebli, Laith Al-Hyari, and Aurélie Joubert. 2024. "Comparative Analysis and Evaluation of Modeling Methods for Nuclear-Grade HEPA Filters" Fibers 12, no. 9: 71. https://doi.org/10.3390/fib12090071
APA StyleAl Dabbas, A., Al-Azba, M., Kopecskó, K., Fawaier, M., Alshebli, A., Al-Hyari, L., & Joubert, A. (2024). Comparative Analysis and Evaluation of Modeling Methods for Nuclear-Grade HEPA Filters. Fibers, 12(9), 71. https://doi.org/10.3390/fib12090071

