A Deep Insight into the Electronic Properties of CIGS Modules with Monolithic Interconnects Based on 2D Simulations with TCAD
Abstract
1. Introduction
2. Materials and Methods
3. Results
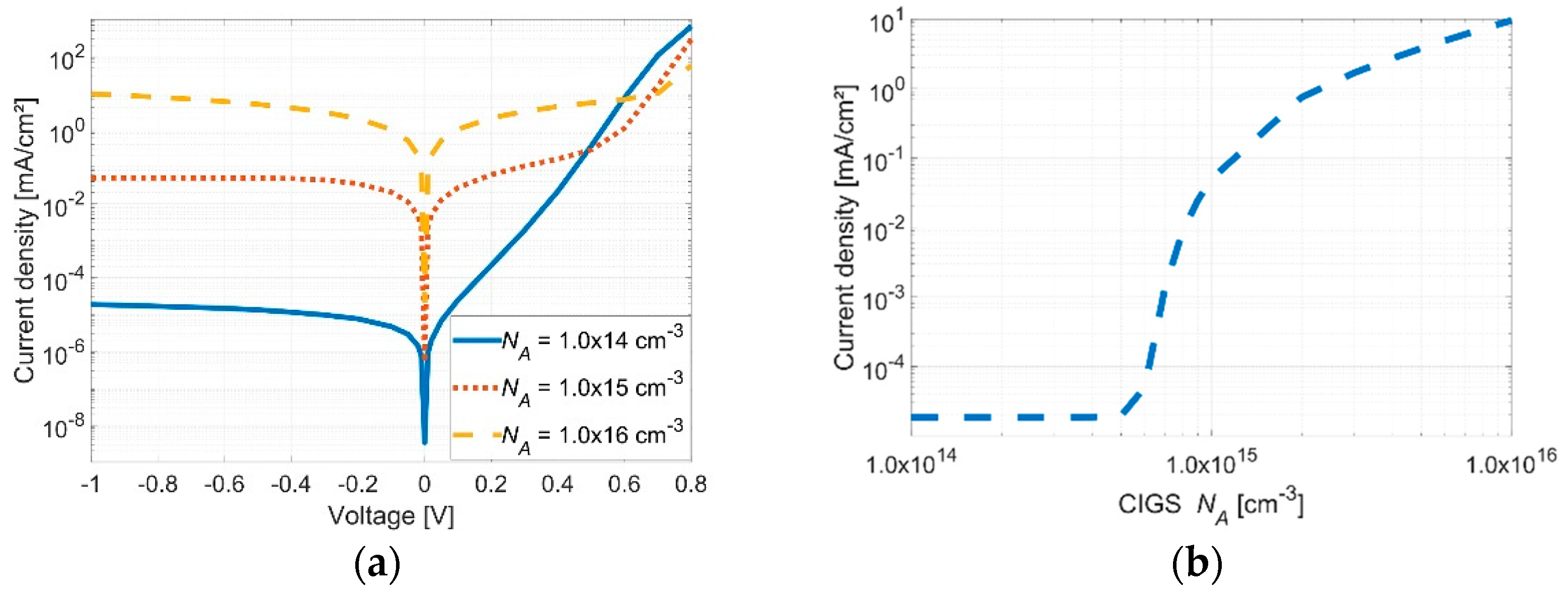
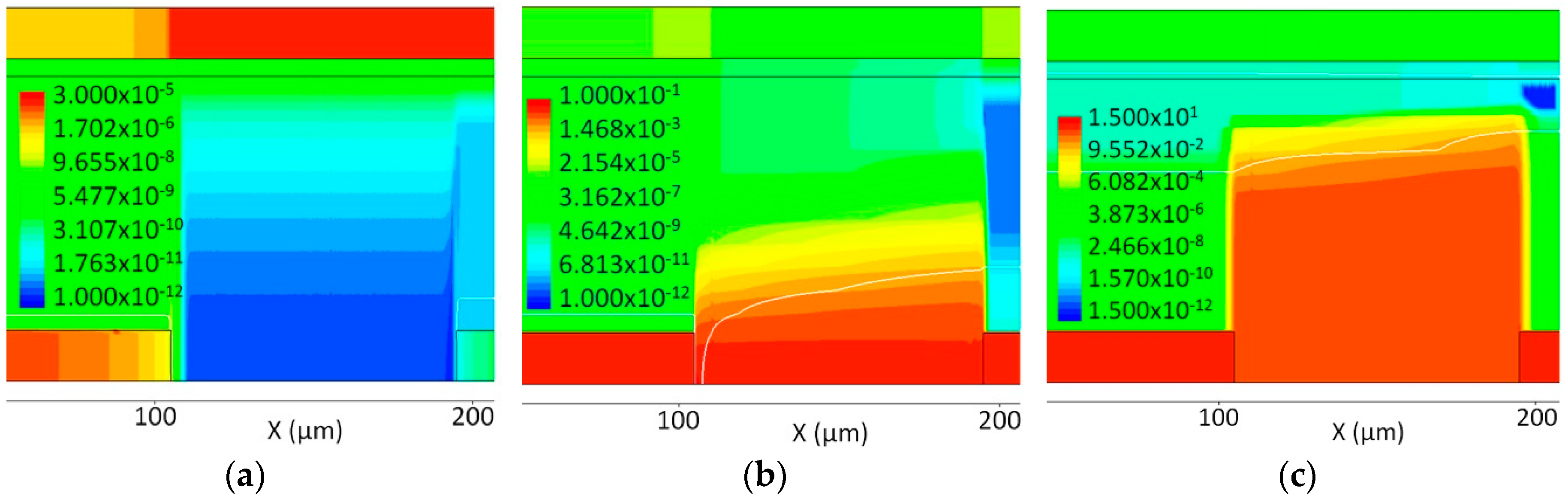
3.1. Results of the Simulations
3.2. Experimental Results
4. Discussion
5. Conclusions
Author Contributions
Funding
Acknowledgments
Conflicts of Interest
References
- Jackson, P.; Wuerz, R.; Hariskos, D.; Lotter, E.; Witte, W.; Powalla, M. Effects of heavy alkali elements in Cu(In,Ga)Se2 with efficiencies up to 22.6%. Phys. Status Solidi RRL Rapid Res. Lett. 2016, 10, 583–586. [Google Scholar] [CrossRef]
- Green, M.A.; Hishikawa, Y.; Dunlop, E.D.; Levi, D.H.; Hohl-Ebinger, J.; Ho-Bailie, W.A. Solar cell efficiency tables (version 52). Prog. Photovolt. Res. Lett. 2018, 427–436. [Google Scholar] [CrossRef]
- Green, M.A.; Emery, K.; Hishikawa, Y.; Warta, W.; Dunlop, E.D. Solar cell efficiency tables (version 48). Prog. Photovolt. Res. Appl. 2016, 24, 905–913. [Google Scholar] [CrossRef]
- Yang, S.; Lin, K.-M.; Lee, W.-C.; Lo, W.-S.; Chen, C.-H.; Wu, J.-L.; Chiang, C.-Y.; Wu, C.-H.; Sun, Y.-L.; Lo, H.; et al. Achievement of 16.5% total area efficiency on 1.9 m2 CIGS modules in TSMC solar production line. In Proceedings of the IEEE 42nd Photovoltaic Specialist Conference (PVSC), New Orleans, LA, USA, 14–19 June 2015. [Google Scholar] [CrossRef]
- Contreras, M.A.; Egaas, B.; Ramanathan, K.; Hiltner, J.; Schwartzlander, A.; Hasoon, F.; Noufi, R. Progress towards 20% efficiency in Cu(In,Ga)Se2 polycristalline thin-film solar cells. Prog. Photovolt. Res. Appl. 1999, 7, 311–316. [Google Scholar] [CrossRef]
- Scheer, R.; Schock, H.-W. Chalcogenide Photovoltaics: Physics, Technologies and Thin Film Devices; Wiley-VCH Verlag GmbH & Co.: Weinheim, Germany, 2011; pp. 9–127. [Google Scholar]
- Portmans, J.; Arkhipov, V. Thin Film Solar Cells: Fabrication, Characterization and Applications; John Wiley & Sons: Chichester, UK, 2006; pp. 237–275. [Google Scholar]
- Brecl, K.; Topič, M.; Smole, F. A detailed study of monolithic contacts and electrical losses in a large-area thin-film module. Prog. Photovolt. Res. Appl. 2015, 13, 297–310. [Google Scholar] [CrossRef]
- Yoon, J.H.; Park, J.K.; Kim, W.M.; Lee, J.; Pak, H.; Jeong, J.H. Characterization of efficiency-limiting resistance losses in monolythically integrated Cu(In,Ga)Se2 solar modules. Sci. Rep. 2015, 5, 7690. [Google Scholar] [CrossRef] [PubMed]
- Neamen, D.A. Semiconductor Physics and Devices: Basic Principles, 4th ed.; McGraw-Hill: New York, NY, USA, 2012; pp. 571–611. [Google Scholar]
- Schubbert, C.; Eraerds, P.; Richter, M.; Parisi, P.; Riedel, I.; Dalibor, T.; Palm, J. Performance ratio study based on a device simulation of a 2D monolithic interconnected Cu(In,Ga)(Se,S)2 solar cell. Sol. Energy Mater. Sol. Cells 2016, 157, 146–153. [Google Scholar] [CrossRef]
- Sozzi, G.; Pignoloni, D.; Menozzi, R.; Pianezzi, F.; Reinhard, P.; Bissig, B.; Buecheler, S.; Tiwari, A.N. Designing CIGS solar cells with front-side point contacts. In Proceedings of the IEEE 42nd Photovoltaic Specialist Conference (PVSC), New Orleans, LA, USA, 14–19 June 2015. [Google Scholar] [CrossRef]
- Park, J.; Shin, M. Numerical optimization of gradient bandgap structure for CIGS solar cells with ZnS buffer layer using Technology Computer-Aided Design simulation. Energies 2018, 11, 1785. [Google Scholar] [CrossRef]
- Movla, H. Optimization of the CIGS based thin-film solar cells: Numerical simulations and analysis. Optik 2014, 125, 67–70. [Google Scholar] [CrossRef]
- Synopsys. Available online: https://www.synopsys.com/silicon/tcad.html (accessed on 3 December 2018).
- Sze, S.M.; Ng, K.K. Physics of Semiconductor Devices, 3rd ed.; John Wiley & Sons: Hoboken, NJ, USA, 2007; pp. 79–124. [Google Scholar]
- Li, S.; Fu, Y. 3D TCAD Simulation for Semiconductor Processes, Devices and Optoelectronics; Springer: New York, NY, USA, 2012; pp. 41–80. [Google Scholar]
- Lavrenko, T.; Vidal Lorbada, R.; Muecke, D.; Walter, T.; Plesz, B.; Schaeffler, R. Towards an improved understanding of CIGS thin film solar cells. In Proceedings of the 33rd European Photovoltaic Solar Energy Conference and Exhibition, Amsterdam, The Netherlands, 25–29 September 2017. [Google Scholar] [CrossRef]
- Powalla, M.; Cemernjak, M.; Eberhardt, J.; Kessler, F.; Kniese, R.; Mohring, H.D.; Dimmler, B. Large-area CIGS modules: Pilot line production and new developments. Sol. Energy Mater. Sol. Cells 2006, 90, 3158–3164. [Google Scholar] [CrossRef]
- Westin, P.O.; Zimmermann, U.; Edoff, M. Laser patterning of P2 interconnect via in thin-film CIGS PV modules. Sol. Energy Mater. Sol. Cells 2008, 92, 1230–1235. [Google Scholar] [CrossRef]
- Heise, G.; Boerner, A.; Dickmann, M.; Englmaier, M.; Heiss, A.; Kemnitzer, A.; Konrad, J.; Moser, R.; Palm, J.; Vogt, H.; et al. Demonstration of the monolithic interconnection on CIS solar cells by picosecond laser structuring on 30 by 30 cm2 modules. Prog. Photovolt. Res. Appl. 2015, 23, 1291–1304. [Google Scholar] [CrossRef]
- Fields, J.D.; Dabney, M.S.; Bollinger, V.P.; van Hest, M.F. Printed monolithic interconnects for photovoltaic applications. In Proceedings of the IEEE 40th Photovoltaic Specialist Conference (PVSC), Denver, CO, USA, 8–13 June 2014. [Google Scholar] [CrossRef]
- Mack, P.; Ott, T.; Walter, T.; Hariskos, D. Optimization of reliability and metastability of CIGS solar cell parameters. In Proceedings of the 25th European Photovoltaic Solar Energy Conference and Exhibition, Valencia, Spain, 6–10 September 2010. [Google Scholar] [CrossRef]
- Ott, T.; Lavrenko, T.; Walter, T.; Schaeffler, R.; Fetch, H.-J. On the importance of the back contact for Cu(In,Ga)Se2 thin film solar cells. In Proceedings of the 29th European Photovoltaic Solar Energy Conference and Exhibition, Amsterdam, The Netherlands, 22–26 September 2014. [Google Scholar] [CrossRef]
- Abou-Ras, D.; Schmidt, S.S.; Schaefer, N.; Kavalakkatt, J.; Rissom, T.; Unold, T.; Mainz, R.; Weber, A.; Kirchartz, T.; Sanli, E.S.; et al. Compositional and electrical properties of line and planar defects in Cu(In,Ga)Se2 thin films for solar cells—A review. Phys. Status Solidi Rapid Res. Lett. 2016, 10, 363–375. [Google Scholar] [CrossRef]
- Dullweber, T.; Hanna, G.; Shams-Kohali, W.; Schwartzlander, A.; Contreras, M.A.; Noufi, R.; Schock, H.W. Study of the effect of gallium grading in Cu(In,Ga)Se2 with efficiencies up to 22.6%. Thin Solid Films 2000, 361, 478–481. [Google Scholar] [CrossRef]
- Frisk, C.; Platzer-Bjoerkman, C.; Olsson, J.; Szaniawski, P.; Waetjen, J.T.; Fjaellstroem, V.; Salomé, P.; Edoff, M. Optimizing Ga-profiles for highly efficient Cu(In,Ga)Se2 thin-films in simple and complex defect models. J. Phys. D Appl. Phys. 2014, 47, 485104. [Google Scholar] [CrossRef]









| Layer | ND (cm−3) | NA (cm−3) | Χ (eV) | μe (cm2/V·s) | μh (cm2/V·s) | Εg (eV) | Thickness (μm) | Scribe | Width (μm) |
|---|---|---|---|---|---|---|---|---|---|
| ZnO | 1020 | – | 4.6 | 50 | 20 | 3.5 | 0.2 | P1 | 90 |
| CdS | 1017 | – | 4.4 | 50 | 20 | 2.5 | 0.05 | P2 | 90 |
| CIGS | – | 1014–1016 | 4.6 | 50 | 20 | 1.2 | 1.00–2.00 | Dead area | 200 |
| Moly | – | – | – | – | – | – | 0.20–1.0 | Total | 300 |
© 2019 by the authors. Licensee MDPI, Basel, Switzerland. This article is an open access article distributed under the terms and conditions of the Creative Commons Attribution (CC BY) license (http://creativecommons.org/licenses/by/4.0/).
Share and Cite
Vidal Lorbada, R.; Walter, T.; Fuertes Marrón, D.; Lavrenko, T.; Muecke, D. A Deep Insight into the Electronic Properties of CIGS Modules with Monolithic Interconnects Based on 2D Simulations with TCAD. Coatings 2019, 9, 128. https://doi.org/10.3390/coatings9020128
Vidal Lorbada R, Walter T, Fuertes Marrón D, Lavrenko T, Muecke D. A Deep Insight into the Electronic Properties of CIGS Modules with Monolithic Interconnects Based on 2D Simulations with TCAD. Coatings. 2019; 9(2):128. https://doi.org/10.3390/coatings9020128
Chicago/Turabian StyleVidal Lorbada, Ricardo, Thomas Walter, David Fuertes Marrón, Tetiana Lavrenko, and Dennis Muecke. 2019. "A Deep Insight into the Electronic Properties of CIGS Modules with Monolithic Interconnects Based on 2D Simulations with TCAD" Coatings 9, no. 2: 128. https://doi.org/10.3390/coatings9020128
APA StyleVidal Lorbada, R., Walter, T., Fuertes Marrón, D., Lavrenko, T., & Muecke, D. (2019). A Deep Insight into the Electronic Properties of CIGS Modules with Monolithic Interconnects Based on 2D Simulations with TCAD. Coatings, 9(2), 128. https://doi.org/10.3390/coatings9020128

