Broadband Solar Energy Absorption in Plasmonic Thin-Film Amorphous Silicon Solar Cell
Abstract
1. Introduction
2. Structure Design and Methods
3. Results and Discussion
3.1. Influence of Resonator on Absorption Spectra
3.2. Influence of Absorbing Layer
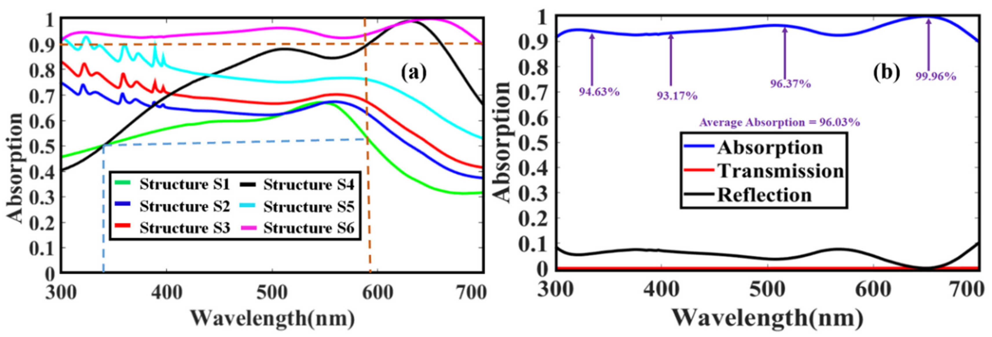
3.3. Effect of the Back Reflector
3.4. Electric Field Distribution Profile
3.5. Effect of Different Incident Angles
4. Conclusions
Author Contributions
Funding
Conflicts of Interest
References
- Green, M.A.; Emery, K.; Hishikawa, Y.; Warta, W. Solar cell efficiency tables (version 37). Prog. Photovolt. Res. Appl. 2011, 19, 84–92. [Google Scholar] [CrossRef]
- Meier, J.; Spitznagel, J.; Kroll, U.; Bucher, C.; Fay, S.; Moriarty, T.; Shah, A. Potential of amorphous and microcrystalline silicon solar cells. Thin Solid Film. 2004, 451, 518–524. [Google Scholar] [CrossRef]
- Wang, Y.; Sun, T.; Paudel, T.; Zhang, Y.; Ren, Z.; Kempa, K. Metamaterial-plasmonic absorber structure for high efficiency amorphous silicon solar cells. Nano Lett. 2011, 12, 440–445. [Google Scholar] [CrossRef] [PubMed]
- Khan, A.D.; Iqbal, J.; ur Rehman, S. Polarization-sensitive perfect plasmonic absorber for thin-film solar cell application. Appl. Phys. A 2018, 124, 610. [Google Scholar] [CrossRef]
- Patel, S.K.; Charola, S.; Parmar, J.; Ladumor, M. Broadband metasurface solar absorber in the visible and near-infrared region. Mater. Res. Express 2019, 6, 086213. [Google Scholar] [CrossRef]
- Ferry, V.E.; Verschuuren, M.A.; Li, H.B.; Verhagen, E.; Walters, R.J.; Schropp, R.E.; Atwater, H.A.; Polman, A. Light trapping in ultrathin plasmonic solar cells. Opt. Express 2010, 18, A237–A245. [Google Scholar] [CrossRef] [PubMed]
- Lee, Y.J.; Ruby, D.S.; Peters, D.W.; McKenzie, B.B.; Hsu, J.W. ZnO nanostructures as efficient antireflection layers in solar cells. Nano Lett. 2008, 8, 1501–1505. [Google Scholar] [CrossRef]
- Bermel, P.; Luo, C.; Zeng, L.; Kimerling, L.C.; Joannopoulos, J.D. Improving thin-film crystalline silicon solar cell efficiencies with photonic crystals. Opt. Express 2007, 15, 16986–17000. [Google Scholar] [CrossRef]
- Atwater, H.A.; Polman, A. Plasmonics for improved photovoltaic devices. Nat. Mater. 2010, 9, 205. [Google Scholar] [CrossRef]
- Khan, A.D.; Khan, A.D.; Khan, S.D.; Noman, M. Light absorption enhancement in tri-layered composite metasurface absorber for solar cell applications. Opt. Mater. 2018, 84, 195–198. [Google Scholar] [CrossRef]
- Katrodiya, D.; Jani, C.; Sorathiya, V.; Patel, S.K. Metasurface based broadband solar absorber. Opt. Mater. 2019, 89, 34–41. [Google Scholar] [CrossRef]
- Rufangura, P.; Sabah, C. Design and characterization of a dual-band perfect metamaterial absorber for solar cell applications. J. Alloy. Compd. 2016, 671, 43–50. [Google Scholar] [CrossRef]
- Wang, P.; Theuring, M.; Vehse, M.; Steenhoff, V.; Agert, C.; Brolo, A. Light trapping in a-Si:H thin film solar cells using silver nanostructures. AIP Adv. 2017, 7, 015019. [Google Scholar] [CrossRef]
- Luo, Q.; Zhang, C.; Deng, X.; Zhu, H.; Li, Z.; Wang, Z.; Chen, X.; Huang, S. Plasmonic effects of metallic nanoparticles on enhancing performance of perovskite solar cells. ACS Appl. Mater. Interfaces 2017, 9, 34821–34832. [Google Scholar] [CrossRef] [PubMed]
- Chen, Y.; Wen, L.; Hu, X.; Xu, R.; Chen, Q. Discrete optical field manipulation by Ag–Al bilayer gratings for broadband absorption enhancement in thin-film solar cells. Plasmonics 2018, 13, 1603–1613. [Google Scholar] [CrossRef]
- Katagiri, H.; Jimbo, K.; Maw, W.S.; Oishi, K.; Yamazaki, M.; Araki, H.; Takeuchi, A. Development of CZTS-based thin film solar cells. Thin Solid Film. 2009, 517, 2455–2460. [Google Scholar] [CrossRef]
- Ni, X.; Liu, Z.; Kildishev, A.V. PhotonicsDB: Optical Constants; Network for Computational Nanotechnology: West Lafayette, IN, USA, 2007. [Google Scholar]
- Gospodinova-Daltcheva, M.; Arnaudov, R.; Philippov, P. Energy propagation properties of Al-lossy lines in high-speed circuits on silicon substrate. In Proceedings of the 1999 Symposium on High Performance Electron Devices for Microwave and Optoelectronic Applications, London, UK, 23 November 1999; pp. 295–300. [Google Scholar]
- Kitamura, K.; Takebayashi, H.; Hattori, T. Rolling Bearing Having Rolling Elements Whose Major Component Is Zirconia. U.S. Patent 6,174,089, 16 January 2001. [Google Scholar]
- Zimmerman, W.B. Multiphysics Modeling with Finite Element Methods; World Scientific Publishing Company: Singapore, 2006. [Google Scholar]
- Homola, J.; Yee, S.S.; Gauglitz, G. Surface plasmon resonance sensors. Sens. Actuators B Chem. 1999, 54, 3–15. [Google Scholar] [CrossRef]
- Khan, A.D.; Amin, M. Tunable salisbury screen absorber using square lattice of plasmonic nanodisk. Plasmonics 2017, 12, 257–262. [Google Scholar] [CrossRef]
- Schuller, J.A.; Barnard, E.S.; Cai, W.; Jun, Y.C.; White, J.S.; Brongersma, M.L. Plasmonics for extreme light concentration and manipulation. Nat. Mater. 2010, 9, 193. [Google Scholar] [CrossRef]
- Kelly, K.L.; Coronado, E.; Zhao, L.L.; Schatz, G.C. The Optical Properties of Metal Nanoparticles: The Influence of Size, Shape, and Dielectric Environment; ACS Publications: Washington, DC, USA, 2003. [Google Scholar]
- Khan, A.D.; Khan, A.D. Optimization of highly efficient GaAs–Silicon hybrid solar cell. Appl. Phys. A 2018, 124, 851. [Google Scholar] [CrossRef]
- Woo, K.; Kim, Y.; Moon, J. A non-toxic, solution-processed, earth abundant absorbing layer for thin-film solar cells. Energy Environ. Sci. 2012, 5, 5340–5345. [Google Scholar] [CrossRef]
- Moulé, A.J.; Bonekamp, J.B.; Meerholz, K. The effect of active layer thickness and composition on the performance of bulk-heterojunction solar cells. J. Appl. Phys. 2006, 100, 094503. [Google Scholar] [CrossRef]
- Carlson, D.E.; Wronski, C.R. Amorphous silicon solar cell. Appl. Phys. Lett. 1976, 28, 671–673. [Google Scholar] [CrossRef]
- Yang, M.; Fu, Z.; Lin, F.; Zhu, X. Incident angle dependence of absorption enhancement in plasmonic solar cells. Opt. Express 2011, 19, A763–A771. [Google Scholar] [CrossRef] [PubMed]








© 2019 by the authors. Licensee MDPI, Basel, Switzerland. This article is an open access article distributed under the terms and conditions of the Creative Commons Attribution (CC BY) license (http://creativecommons.org/licenses/by/4.0/).
Share and Cite
Khan, A.D.; Rehman, Q.; Khan, A.D.; Subhan, F.E.; Noman, M.; Ahmed, S.; Khan, H.A. Broadband Solar Energy Absorption in Plasmonic Thin-Film Amorphous Silicon Solar Cell. Coatings 2019, 9, 638. https://doi.org/10.3390/coatings9100638
Khan AD, Rehman Q, Khan AD, Subhan FE, Noman M, Ahmed S, Khan HA. Broadband Solar Energy Absorption in Plasmonic Thin-Film Amorphous Silicon Solar Cell. Coatings. 2019; 9(10):638. https://doi.org/10.3390/coatings9100638
Chicago/Turabian StyleKhan, Aimal Daud, Qandeel Rehman, Adnan Daud Khan, Fazal E. Subhan, Muhammad Noman, Salman Ahmed, and Haseeb Ahmad Khan. 2019. "Broadband Solar Energy Absorption in Plasmonic Thin-Film Amorphous Silicon Solar Cell" Coatings 9, no. 10: 638. https://doi.org/10.3390/coatings9100638
APA StyleKhan, A. D., Rehman, Q., Khan, A. D., Subhan, F. E., Noman, M., Ahmed, S., & Khan, H. A. (2019). Broadband Solar Energy Absorption in Plasmonic Thin-Film Amorphous Silicon Solar Cell. Coatings, 9(10), 638. https://doi.org/10.3390/coatings9100638

