Next Article in Journal
Microstructure and Properties of Ni3N Composite Films on Ni-Based Nanosheets by Magnetron Sputtering
Next Article in Special Issue
Low-Temperature Deposition of Alumina Films by Ultrasonic Spray Pyrolysis with a Water-Based Precursor
Previous Article in Journal
Research on the Corrosion Behavior of Mo/C276 Coating Deposited by HVOF Method in Deep-Sea Cold Seep Environments
Previous Article in Special Issue
Vacuum Ultraviolet Spectroscopic Analysis of Structural Phases in TiO2 Sol–Gel Thin Films
 
 
Font Type:
Arial Georgia Verdana
Font Size:
Aa Aa Aa
Line Spacing:
Column Width:
Background:
Article

Tunable Group Delay of Reflected Beam in Multilayered Structures with Antisymmetric Graphene via Magnetic Control

1
College of Science, Jiujiang University, Jiujiang 332005, China
2
School of Mechanical and Intelligent Manufacturing, Jiujiang University, Jiujiang 332005, China
*
Author to whom correspondence should be addressed.
Coatings 2025, 15(2), 196; https://doi.org/10.3390/coatings15020196
Submission received: 6 December 2024 / Revised: 24 January 2025 / Accepted: 5 February 2025 / Published: 6 February 2025
(This article belongs to the Collection Advanced Optical Films and Coatings)

Abstract

In this paper, we demonstrate the magnetic field-adjustable group delay of the reflected beam in the terahertz frequency range, using a multilayer architecture incorporating three layers of antisymmetric graphene. The observed enhancement in group delay results from localized field amplification, which occurs due to the excitation of surface plasmon polaritons on the graphene at the interface between two dielectric layers. By considering the quantum mechanical response of graphene, the polarity of the group delay can be reversed by exploiting the antisymmetric conductivity characteristics of graphene. Furthermore, the group delay can be dynamically modulated either by varying the external magnetic field or by adjusting the structural parameters. The achieved enhancement and tunability of the group delay offer significant potential for the development of graphene-based terahertz modulation devices and other optical delay applications.

1. Introduction

The manipulation of group delay for light pulses has garnered significant theoretical and experimental attention. It is a well-established convention that when the group delay is slower than the speed of light in a vacuum, the phenomenon is termed “slow light”, whereas when it exceeds the speed of light, it is referred to as “fast light”. The characteristic of group delay has broad and potential applications in various fields, including high-efficiency memory [1], optical delay lines [2,3], all-optical buffers [4], and so on. In this context, researchers are focused on identifying methods to enhance and control group delay by utilizing novel optoelectronic materials and integrating various mechanisms and structures [5,6]. Group delay in systems such as quantum wells [7], double-Lorentz fiber gratings [8], metasurfaces [9], and racetrack resonators [10] has attracted attention in both transmission and reflection configurations. Experimentally, Schweinsberg et al. have observed the propagation of extremely slow and superluminal pulses in erbium-doped fibers at room temperature [11]; Lipson et al. have achieved superluminal propagation on a silicon chip via microcavity interactions [12]; and Yao et al. have demonstrated a technique for inducing negative group delay in circular wave systems with asymmetric cross-slot configurations [13].
In recent years, two-dimensional materials, particularly graphene, have exhibited exceptional photonic and electronic properties, along with remarkable dynamic controllability. Graphene is renowned for its distinctive characteristics, including a zero bandgap [14], ultrafast response time, high modulation rate [15], and low optical loss [16]. Moreover, it possesses an ultra-large nonlinear conductivity and absorption coefficient [17,18], strong light–matter interaction [19], and tunable electrical conductivity [20]. Notably, its optical properties, including conductivity, can be easily adjusted and precisely controlled through external voltages. Consequently, approaches aimed at achieving enhanced and controllable group delay using graphene have garnered significant attention [21,22,23,24,25]. Research has reported enhanced group delay in subwavelength-thickness single-layer graphene structures [26], graphene integrated within Fabry–Perot (F-P) cavities [27], and Bragg cavities combining graphene with photonic crystals [28].
In prior research, the manipulation of graphene’s electrical conductivity characteristics has primarily been achieved through the control of external voltages [29,30,31,32]. It is noteworthy that graphene exhibits an asymmetric optical conductivity tensor under an externally applied magnetic field [33,34,35], suggesting that its conductivity is also influenced by the magnetic field. Magneto-control, as opposed to electro-control, offers unique advantages. First, the magnetic field can be directly applied externally, significantly simplifying device fabrication and processing, which are otherwise complicated by the need for additional electrodes in electro-control. Second, magneto-control does not require direct contact with the device, thus mitigating the inevitable losses associated with electrostatic control. Furthermore, magneto-control is both convenient and flexible. Given these advantages, we explore whether enhanced and controllable group delay can be attained through the employment of specific structural designs and magneto-control methods.
To address this issue, we propose a method that exploits surface plasmon excitation in an Otto configuration embedded with graphene to achieve enhanced reflection group delay. Furthermore, we utilize a magneto-control technique to dynamically modulate the reflection group delay. Our findings reveal that by adjusting parameters such as the incident light frequency, the angle of incidence, and the applied external magnetic field, the group delay can undergo significant positive or negative variations, reaching several hundred picoseconds. We contend that the magneto-control enhanced group delay scheme offers substantial potential for applications in the design of nanophotonic devices, especially in the development of micro- and nano-delay devices.

2. Theoretical Model and Method

This study examines an Otto configuration featuring a multilayered prism-coupled structure, as illustrated in Figure 1. The proposed structure consists of three graphene layers sandwiched between an air layer, a silica layer, a glass layer, and a substrate. Moreover, while medium absorption and loss do impact the calculation results, these factors are excluded from the computations for the sake of theoretical simplicity, a common practice in the literature. For the analysis, the dielectric constants of the materials are denoted as ε a i r = 1 , ε S i O 2 = 12 , ε G l a s s = 4 , and ε d = 2 , respectively. The thicknesses of the air, silica, and glass layers are defined as d1, d2, and d3, respectively. Notably, the structure utilized in this study incorporates a multilayer graphene configuration within a coupling prism, distinguishing it from the design presented in reference [28]. Each graphene layer is capable of supporting the excitation of surface plasmon polaritons (SPPs) under specific structural and material parameter conditions, thus providing a broad range for optimizing group delay parameters. This multilayer approach outperforms the use of a single graphene layer for SPP excitation. We consider the incidence of a TM-polarized electromagnetic wave at an angle θ, with an external magnetic field B applied perpendicular to the graphene layers along the z-axis. It is important to note that strain in two-dimensional materials can modify their atomic structure, lattice vibrations, thermal conductivity, and various electronic, optical, and chemical properties. For example, strain caused by lattice mismatch between layers can influence the optical properties of graphene and its role in group delay research. However, for simplicity, the effects of strain are not included in this analysis. Under these conditions, the application of a uniform static magnetic field perpendicular to the graphene layers leads to an antisymmetric conductivity tensor σ tensor for graphene, represented as follows:
σ ¯ = σ x x σ x y σ y x σ y y .
In certain scenarios involving specific doping levels and field strengths, the separation between Landau levels at the Fermi energy is negligible compared to the Fermi energy itself, allowing for a classical treatment of graphene. Consequently, under these particular conditions, when examining the quantum response of graphene, the matrix elements of the antisymmetric conductivity can be formulated as follows [33,36]:
  σ x x = σ x x Ω = e 2 v F 2 | e B | Ω + 2 i Γ π c i × (2a) n = 0 1 Δ 2 M n M n + 1 n F ( M n ) n F ( M n + 1 ) + n F ( - M n ) n F ( - M n + 1 ) M n + 1 - M n 2 Ω + 2 i Γ 2 × 1 M n + 1 M n + 1 + Δ 2 M n M n + 1 × n F M n n F M n + 1 + n F M n + 1 n F M n ( M n + 1 + M n ) 2 Ω + 2 i Γ 2 1 M n + 1 + M n , (2b) σ x y = e 2 v F 2 e B π c × n = 0 n F ( M n ) n F ( M n + 1 ) n F ( M n + 1 ) n F ( M n ) (2c) × 1 Δ 2 M n M n + 1 1 ( M n + 1 M n ) 2 Ω + 2 i Γ 2 + 1 + Δ 2 M n M n + 1 1 ( M n + 1 + M n ) 2 Ω + 2 i Γ 2 , (2d) σ y x = σ x y ,   σ y y = σ x x ,
In the formulation, n F ω = 1 / e ω μ / K T + 1 represents the Fermi–Dirac distribution, while M n = δ 2 + 2 n e B v f 2 corresponds to the energy of the Landau level indexed by n. Within Equation (2), the symbols c, e, ћ, and Vf are used to denote the speed of light in a vacuum, the charge of an electron, the reduced Planck constant, and the Fermi velocity, respectively. Additionally, the chemical potential (or Fermi energy), scattering rate, temperature, and excitonic gap are indicated by μ, Г, Τ, and δ, respectively. The directional symbols in the expression maintain the same significance as described in reference [36].
The reflectance of the entire structure is computed using the conventional transfer matrix approach. In adherence to the boundary conditions, the transmission matrix D at the interface separating two media with graphene can be formulated as indicated below:
a 1 b 1 c 1 d 1 = D 1 , 2 a 2 b 2 c 2 d 2 ,
The transmission matrix D 1 , 2 is given by the following expression:
D 1 , 2 = 1 2 1 + k 2 z ε 1 k 1 z ε 2 + k 2 z σ x x ω ε 0 ε 2 1 k 2 z ε 1 k 1 z ε 2 k 2 z σ x x ω ε 0 ε 2 σ x y σ x y 1 k 2 z ε 1 k 1 z ε 2 + k 2 z σ x x ω ε 0 ε 2 1 + k 2 z ε 0 k 1 z ε 2 k 2 z σ x x ω ε 0 ε 2 σ x y σ x y μ 0 k 2 z σ y x k 1 z ε 0 ε 2 μ 0 k 2 z σ y x k 1 z ε 0 ε 2 μ 0 ω k 1 z k 1 z + k 2 z ω μ 0 + σ y y μ 0 ω k 1 z k 1 z k 2 z ω μ 0 + σ y y μ 0 k 2 z σ y x k 1 z ε 0 ε 2 μ 0 k 2 z σ y x k 1 z ε 0 ε 2 μ 0 ω k 1 z k 1 z k 2 z ω μ 0 σ y y μ 0 ω k 1 z k 1 z + k 2 z ω μ 0 σ y y ,
In the equation, k 1 z = k 0 ε 1 ε 0 sin 2 θ   k 2 z = k 0 ε 2 ε 0 sin 2 θ denote the wave vectors for the propagation direction within medium 1 and medium 2, respectively. k 0 = ω ε 0 / c represents the magnetic permeability in a vacuum. The propagation matrix P within the medium is also represented as a 4 × 4 matrix; however, its components are solely dependent on the medium’s refractive index and thickness. The detailed expression aligns with that provided in reference [37] and is thus not reiterated here. Utilizing the aforementioned transmission and propagation matrices, the overall transfer matrix M for the composite layered structure depicted in Figure 1 can be derived. Letting the left-hand field coefficients (input field coefficients) be A1, B1, C1, and D1, and the right-hand field coefficients (output field coefficients) be A5, B5, C5, and D5, the relationship between the input and output field coefficients can be established through the total transfer matrix M, expressed as follows:
A 1 B 1 C 1 D 1 = D Si , air P d air D air , Si O 2 P d Si O 2 D Si O 2 , Glass P d Glass D Glass , d A 5 B 5 C 5 D 5 = Μ A 5 B 5 C 5 D 5 ,
Here, D A , B represents the transmission matrix at the interface between dielectrics A and B, while P ( d t ) denotes the propagation matrix through the dielectric layer of thickness d t , t { S i , A i r , S i O 2 , G l a s s , d } . Consequently, we can determine the individual elements of the total transfer matrix M. As indicated by Equation (4), it is evident that the incorporation of graphene has a direct impact on the formulation of the transmission matrix, which in turn influences the complete transfer matrix M, as well as the transmission and reflection coefficients of the entire structure.
Subsequently, we initially examine the scenario where a TM-polarized (p-polarized) wave impinges upon the structure depicted in Figure 1. In the presence of an external magnetic field oriented along the z-axis, regardless of whether the graphene layer is struck by a TM-polarized or a TE-polarized wave, both the reflected and transmitted waves will comprise a mixture of TM and TE polarization components. Consequently, both the reflected and transmitted waves encompass TM and TE polarizations. The reflection coefficient r C C { p s , s s , p p , s p } can be derived as indicated in reference [35]:
r p s = E 0 p r E 0 s i = M 11 M 23 M 21 M 13 M 11 M 33 M 13 M 31 .
r s s = E 0 s r E 0 s i = M 11 M 43 M 41 M 13 M 11 M 33 M 13 M 31 .
r p p = E 0 p r E 0 p i = M 21 M 33 M 23 M 31 M 11 M 33 M 13 M 31 .
r s p = E 0 s r E 0 p i = M 41 M 33 M 43 M 31 M 11 M 33 M 13 M 31 .
After determining these coefficients, the corresponding reflectance RC, C ∊ {ps, ss, pp, sp} can be calculated using the following expression:
R p s = k S i z ω μ 0 2 + q ω μ 0 2 r p s 2 ,
R s s = r s s 2 ,
R p p = r p p 2 ,
R s p = k S i z ω μ 0 2 + q ω μ 0 2 r s p 2 ,
In the equation, k S i z and q correspond to the z and x components of the wave vector k S i = ε S i ω / c within the coupling prism Si, which are interconnected as k S i z = ε S i ω / c 2 q 2 . Additionally, the reflected phase ϕ r ( θ , ω ) can be determined from the reflected coefficient.
Upon incidence of a TM-polarized wave on the structure, the phase of the reflection coefficient can also be derived from the expression Rij. We define the group delay as the partial derivative of the phase concerning the angular frequency, which represents the time required for the wave to complete the reflection process through the structure. The group delay across the entire structure’s interface can be computed utilizing the following expression [38]:
τ s p = d ϕ s p d ω , τ p p = d ϕ p p d ω , τ s s = d ϕ s s d ω , τ p s = d ϕ p s d ω ,
Among them, ϕsp, ϕpp, ϕps, and ϕss represent the phases of the reflection coefficients Rsp, Rpp, Rps, and Rss, respectively.

3. Results and Discussion

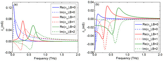
This section explores the impact of an external magnetic field on the group delay of the entire structure. The antisymmetric conductivity of graphene, which is contingent on its quantum response, is analyzed as a function of the applied magnetic field. Figure 2 depicts the variation in graphene’s antisymmetric conductivity for different magnetic field strengths. For computational analysis and comparison, the parameters used align with those cited in reference [37]. These parameters include an excitonic gap of δ = 0, a chemical potential of μ = 0.5 eV, a scattering rate of Г = 0.11 meV/ћ, and a temperature of T = 300 K. As shown in Figure 2, graphene’s conductivity exhibits a significant dependence on both the external magnetic field and frequency. The diagonal and off-diagonal components of graphene’s conductivity exhibit distinct evolutionary behaviors, contrasting sharply with the conductivity observed in the absence of a magnetic field. In the absence of a magnetic field, within the framework of the random-phase approximation, the surface conductivity in the terahertz range can be approximated as σ i e 2 E F / π 2 ω + i / τ . This discrepancy forms the basis for the ability to dynamically modulate the group delay of the entire structure via an external magnetic field. It is evident that in the presence of a weak magnetic field, or as the field approaches zero, the antisymmetric component of graphene’s conductivity converges toward linear conductivity. Furthermore, Figure 2 highlights the significant impact of the external magnetic field on both the real and imaginary components of conductivity. For example, as the external magnetic field increases, both the real and imaginary parts of σ x x shift towards higher frequencies. These results emphasize the potential for dynamic manipulation of graphene’s antisymmetric conductivity through the application of an external, non-contact magnetic field, thereby enabling the magnetic field-induced dynamic control of the group delay across the entire structure.
The subsequent analysis focuses on the group delay properties of the entire structure under the influence of an applied external magnetic field. It has been demonstrated that when the antisymmetric conductivity of graphene is taken into account, and the novel 4 × 4 transfer matrix method is applied, the reflection of even TM-polarized incidence encompasses both TE and TM polarization components. This complexity results in diverse group delay characteristics. To streamline the discussion and highlight key points, we primarily examine the TM-polarized reflected beam resulting from TM-polarized incidence and the TE-polarized reflected beam resulting from TE-polarized incidence. For comparison, we plot the evolution of reflectance, reflected phase, and group delay of the structure as a function of angular frequency for various external magnetic field strengths, as shown in Figure 3. Significantly, employing the Otto configuration to excite surface plasmon polaritons (SPPs) within the multilayered structure results in a pronounced enhancement of the group delay at the SPP resonance angular frequency. This enhancement is typically attributed to rapid phase variations with frequency, as described by the group delay calculation formula. The excitation of SPPs is commonly associated with a sharp phase transition in the reflected wave near the resonance dip, which facilitates the observed increase in group delay.
Specifically, the excitation of surface plasmon polaritons (SPPs) in the prism coupling structure induces a distinct dip in the overall reflectance at approximately ω = 3.3 THz, 3.4 THz, and 3.7 THz, as shown in Figure 3a–c. This reflectance dip is consistently accompanied by a significant phase shift. As illustrated in Figure 3d–f, the initially smooth reflected phase is disrupted and exhibits a marked variation in synchronization with the frequency of the reflectance dip, resulting in a substantial monotonic phase change. The reflected phase near the resonance frequency follows an increasing–decreasing–increasing pattern, with a notably steep slope in the region corresponding to the reflectance dip. As indicated by Equation (14), this behavior provides the theoretical foundation for the enhanced group delay. Figure 3g–i confirm this conclusion, clearly demonstrating an enhanced group delay near the resonance frequency due to SPP excitation. Additionally, variations in the external magnetic field exert significant control over the group delay of the entire structure.
Both TM and TE polarization incidences show that increasing the external magnetic field causes the resonance frequency of surface plasmon polaritons (SPPs) to shift towards higher frequencies. Similar trends are observed in the reflected phase and group delay. As shown in Figure 3, it can be seen that we can obtain a greater group delay for the condition of TM polarization reflected beam resulting from TM polarization incidence. Specifically, Figure 3i demonstrates that when the magnetic field strength reaches B = 5 T, a group delay of approximately τ ≈ 1 ps is achieved, and further enhancement of the group delay is observed with decreasing magnetic field intensity, as illustrated in Figure 3g,h. This indicates that the external magnetic field can dynamically control the group delay induced by SPPs, offering a promising approach to realizing flexible and dynamically controllable group delay devices. The strength of the magnetic field plays a crucial role in determining the excitation frequency of SPPs. In other words, by fine-tuning the structural and material properties, it is possible to achieve a greater group delay at lower magnetic field intensities. This capability is of great significance for facilitating versatile manipulation of group delay, particularly in experimental configurations that utilize weaker magnetic fields.
Given the more pronounced variations observed under TM polarization, the subsequent analysis will focus on examining the influence of various structural parameters on the group delay, particularly in scenarios where both incidence and reflection occur under TM polarization. For this section, we have set the magnetic field intensity to B = 1 T and maintained a fixed thickness for the air layer at dAir = 5 μm. Figure 4 provides a comprehensive illustration of the reflection properties, the associated phase shifts, and the dependence of the group delay on the frequency across different incidence angles θ, as depicted in Figure 4a–c. In Figure 4a, we observe that the transition points in the magnitude of the reflection coefficient shift progressively to the right as the frequency increases from 1 THz to 1.55 THz with increasing incidence angles. Concurrently, as the incidence angle increases, the peak magnitude of the reflection coefficient gradually decreases from 0.5 to 0. Figure 4b shows that the reflection phase initially increases and then decreases. When comparing the effects of magnetic field intensity on the reflected phase and group delay with the impact of changes in the incidence angle, it becomes apparent that changes in the incidence angle result in a monotonically increasing trend, followed by a decreasing trend, in the reflected phase. As a result, the reflection group delay exhibits both positive and negative values. Specifically, as the incidence angle increases, the group delay initially increases from 0.8 ps to −120 ps before gradually transitioning to −2.3 ps, as shown in Figure 4c. This observation indicates that, under certain conditions, a positively reflected group delay can be transformed into a negatively reflected group delay, highlighting the dynamic nature of group delay behavior in response to changes in the angle of incidence.
In the following section, we investigate the impact of the air layer thickness on the reflected group delay within the proposed optical configuration. The air layer, located between the coupled prism and the initial graphene layer, plays a crucial role in the system’s optical behavior. As illustrated in Figure 5, a systematic analysis reveals a complex relationship between the air layer’s thickness and the reflection properties of the proposed structure. Specifically, Figure 5a demonstrates that decreasing the air layer thickness initially leads to a reduction in the reflection coefficient, which attains a minimum value of zero at a critical thickness of 3 μm. This point marks a transition in the reflection characteristics, suggesting a significant interaction between the air layer and the graphene layer that affects the reflection properties. Furthermore, the reflection phase, depicted in Figure 5b, exhibits a distinct sequence of changes: it first increases and then decreases as the air layer thickness is reduced. This trend indicates a complex interplay between the air layer thickness and the phase response of the reflected wave, which is key to determining the group delay characteristics. As the air layer thickness decreases, the variation in the reflection phase becomes more pronounced (Figure 5b). This change in phase results in a sharp transition in the reflected group delay, ranging from −1 ps to −20 ps, as shown in Figure 5c. This sharp transition underscores the sensitivity of group delay to air layer thickness and highlights the potential for tuning the optical response of the proposed structure.
The results suggest that reducing the thickness of the air layer between the coupled prism and the graphene layer enhances the intensity of surface plasmon polaritons (SPPs) within the proposed structure. This increase in SPP intensity indicates a stronger interaction between the electromagnetic fields and the graphene layer, which directly influences the group delay characteristics of the reflected wave. The intricate relationship between the air layer thickness and SPP intensity emphasizes the importance of precise control over the interlayer spacing in graphene-based optical devices. Such control is essential for tuning the plasmonic properties, which is crucial for developing advanced optoelectronic applications, such as sensors, modulators, and photonic circuits, where precise manipulation of light–matter interactions is vital.

4. Conclusions

Overall, we theoretically investigated the group delay by exploiting the excitation of surface plasmon polaritons (SPPs) in an Otto configuration integrated with antisymmetric graphene, using the 4 × 4 magneto-optical matrix method. The increase in group delay is attributed to the significant phase shift induced by SPP excitation. Additionally, the external magnetic field enables versatile regulation of graphene’s conductivity, allowing dynamic and tunable control over both the magnitude and polarity of the group delay. By adjusting the magnetic field and structural parameters, group delay values as low as −120 ps within the terahertz spectrum can be achieved. This approach offers a novel strategy for achieving an enhanced and dynamically tunable group delay. Due to its flexible dynamic control, this scheme holds potential for applications in delay-based devices.

Author Contributions

Conceptualization, Q.W.; software, X.W.; validation, Y.G.; formal analysis, X.W.; investigation, Q.W.; writing-original draft preparation, X.W.; writing-review and editing, Q.W.; supervision, Q.W. All authors have read and agreed to the published version of the manuscript.

Funding

This work was supported by Science and Technology Project of Jiangxi Provincial Education Department (grant No. GJJ190911 and GJJ180897).

Institutional Review Board Statement

Not applicable.

Informed Consent Statement

Not applicable.

Data Availability Statement

Data are contained within the article.

Conflicts of Interest

The authors declare no conflict of interest.

References

  1. Arif, S.M.; Bacha, B.A.; Wahid, U.; Haneef, M.; Ullah, A. Tunable subluminal to superluminal propagation via spatio-temporal solitons by application of Laguerre fields intensities. Phys. Lett. A 2021, 388, 127041. [Google Scholar] [CrossRef]
  2. Shan, W.; Lu, L.; Wang, X.; Zhou, G.; Liu, Y.; Chen, J.; Zhou, L. Broadband continuously tunable microwave photonic delay line based on cascaded silicon microrings. Opt. Express 2021, 29, 3375–3385. [Google Scholar] [CrossRef]
  3. Song, Q.Q. Scalable and reconfigurable continuously tunable lithium niobate thin film delay line using graphene electrodes. IEEE Photonics J. 2022, 14, 1–8. [Google Scholar] [CrossRef]
  4. Krauss, T.F. Why do we need slow light? Nat. Photonics 2008, 2, 448–450. [Google Scholar] [CrossRef]
  5. Zheng, Q.; Lu, W.; Xu, J.; Ye, Y.; Zhao, X.; Jiang, L. Enhanced and controllable reflected group delay based on Tamm surface plasmons with Dirac semimetals. Chin. Phys. B 2023, 32, 074208. [Google Scholar] [CrossRef]
  6. Gong, Y.; Quan, B.; Hu, F.; Jiang, M.; Zhang, L.; Zhang, Y.; Liu, X. Tunable slow light device based on a graphene metasurface. Opt. Lett. 2023, 48, 4781–4784. [Google Scholar] [CrossRef] [PubMed]
  7. Koch, M.; Mittleman, D.M.; Ornik, J.; Castro-Camus, E. Terahertz time-domain spectroscopy. Nat. Rev. Methods Primers 2023, 3, 48. [Google Scholar] [CrossRef]
  8. Zhu, J.; Ma, B.Q. Lorentz-violation-induced arrival time delay of astroparticles in Finsler spacetime. Phys. Rev. D 2022, 105, 124069. [Google Scholar] [CrossRef]
  9. Chen, J.; Breslavets, O.A.; Savin, Y.N.; Kupriianov, A.S.; Eremenko, Z.E.; Tuz, V.R. Experimental validation of group delay in a multi-window electromagnetically induced transparency metasurface. J. Appl. Phys. 2024, 135, 033103. [Google Scholar] [CrossRef]
  10. Hailu, S.G.; Lee, S.-L. Tunable Optical Delay Line Based on a Racetrack Resonator with Tunable Coupling and Stable Wavelength. Appl. Sci. 2019, 9, 5483. [Google Scholar] [CrossRef]
  11. Schweinsberg, A.; Lepeshkin, N.N.; Bigelow, M.S.; Boyd, R.W.; Jarabo, S. Observation of superluminal and slow light propagation in erbium-doped optical fiber. Europhys. Lett. 2006, 73, 218. [Google Scholar] [CrossRef]
  12. Manipatruni, S.; Dong, P.; Xu, Q.; Lipson, M. Tunable superluminal propagation on a silicon microchip. Opt. Lett. 2008, 33, 2928–2930. [Google Scholar] [CrossRef] [PubMed]
  13. Yao, H.Y.; Chen, N.C.; Chang, T.H.; Winful, H.G. Tunable Negative Group Delay in a Birefringent Fabry–Pérot-like Cavity with High Fractional Advancement Induced by Cross-Interference Effect. IEEE Trans. Microw. Theory Tech. 2016, 64, 3121–3130. [Google Scholar] [CrossRef]
  14. Kim BS, Y.; Sternbach, A.J.; Choi, M.S.; Sun, Z.; Ruta, F.L.; Shao, Y.; McLeod, A.S.; Xiong, L.; Dong, Y.; Chung, T.S.; et al. Ambipolar charge-transfer graphene plasmonic cavities. Nat. Mater. 2023, 22, 838–843. [Google Scholar] [CrossRef]
  15. Chen, J.; Jang, C.; Xiao, S.; Ishigami, M.; Fuhrer, M. Intrinsic and extrinsic performance limits of graphene devices on SiO2. Nat. Nanotechnol. 2008, 3, 206–209. [Google Scholar] [CrossRef]
  16. Li, F.; Xu, J.; Li, W.; Li, J.-B.; Peng, Y.-X.; He, M.-D. Optical bistability modulation based on graphene sandwich structure with topological interface modes. Opt. Express 2023, 31, 40490–40497. [Google Scholar] [CrossRef]
  17. Jiang, L.; Chiang, K.S. All-optical mode switching with a graphene-buried polymer waveguide directional coupler. Opt. Lett. 2022, 47, 2414–2417. [Google Scholar] [CrossRef]
  18. Taghvaee, H.R.; Zarrinkhat, F.; Abrishamian, M.S. Terahertz Kerr nonlinearity analysis of a microribbon graphene array using the harmonic balance method. J. Phys. D Appl. Phys. 2017, 50, 255104. [Google Scholar] [CrossRef]
  19. Zheng, Z.; Diao, L.; Luo, F.; Xie, D.; Zhou, X.; Jiang, L. Enhancing photonic spin Hall effect in the long-range surface plasmon resonance structure with antimonene. Opt. Express 2024, 32, 24107–24116. [Google Scholar] [CrossRef]
  20. Freire, E.B.; de Mendonça, J.P.A.; Ullah, S.; Junqueira, G.M.; Sato, F. Exploring the effect of substitutional doping on the electronic properties of graphene oxide. J. Mater. Sci. 2018, 53, 7516–7526. [Google Scholar] [CrossRef]
  21. Sarker, D.; Nakti, P.P.; Zubair, A. Graphene metamaterials-based plasmon-induced terahertz modulator for high-performance multiband filtering and slow light applications. Opt. Express 2024, 32, 9442–9455. [Google Scholar] [CrossRef] [PubMed]
  22. Yang, X.; Xu, H.; Xu, H.; Li, M.; He, L.; Nie, G.; Chen, Z. Dual dynamically tunable terahertz graphene-based plasmonic induced transparency and slow light effects. J. Phys. D Appl. Phys. 2024, 57, 115101. [Google Scholar] [CrossRef]
  23. Jia, W.; Ren, P.; Jia, Y.; Fan, C. Active Control and Large Group Delay in Graphene-Based Terahertz Metamaterials. J. Phys. Chem. C 2019, 123, 18560–18564. [Google Scholar] [CrossRef]
  24. Zeng, Y.; Ling, Z.-x.; Liu, G.-D.; Wang, L.-L.; Lin, Q. Tunable plasmonically induced transparency with giant group delay in gain-assisted graphene metamaterials. Opt. Express 2022, 30, 14103–14111. [Google Scholar] [CrossRef] [PubMed]
  25. Kumar, D.; Devi, K.M.; Kumar, R.; Roy Chowdhury, D. Dynamically tunable slow light characteristics in graphene based terahertz metasurfaces. Opt. Commun. 2021, 491, 126949. [Google Scholar] [CrossRef]
  26. Liu, M.; Yin, X.; Zhang, X. Double-layer graphene optical modulator. Nano Lett. 2012, 12, 1482–1485. [Google Scholar] [CrossRef] [PubMed]
  27. Jiang, L.; Dai, X.; Xiang, Y.; Wen, S. Tunable group delay of the optical pulse reflection from Fabry–Perot cavity with the insertion of graphene sheets. IEEE Photonics J. 2014, 6, 1–9. [Google Scholar] [CrossRef]
  28. Tang, J.; Xu, J.; Zhou, H.; Zheng, Z.; Zhou, Y.; Weng, R.; Wei, Y.; Liu, Y.; Liu, Q.; Jiang, L. Enhanced Reflected Group Delay with Optical Tamm State via Graphene-Dielectric Bragg Mirror Configuration. Adv. Condens. Matter Phys. 2019, 2019, 9217613. [Google Scholar] [CrossRef]
  29. Bonaccorso, F.; Sun, Z.; Hasan, T.; Ferrari, A.C. Graphene photonics and optoelectronics. Nat. Photonics 2010, 4, 611–622. [Google Scholar] [CrossRef]
  30. Tang, J.; Xu, J.; Zheng, Z.; Dong, H.; Dong, J.; Qian, S.; Guo, J.; Jiang, L.; Xiang, Y. Graphene Tamm plasmon-induced giant Goos–Hänchen shift at terahertz frequencies. Chin. Opt. Lett. 2019, 17, 020007. [Google Scholar] [CrossRef]
  31. Tang, J.; Ye, Y.; Xu, J.; Zheng, Z.; Jin, X.; Jiang, L.; Jiang, J.; Xiang, Y. High-Sensitivity Terahertz Refractive Index Sensor in a Multilayered Structure with Graphene. Nanomaterials 2020, 10, 500. [Google Scholar] [CrossRef] [PubMed]
  32. Xu, J.; Fu, X.; Peng, Y.; Wang, S.; Zheng, Z.; Zou, X.; Qian, S.; Jiang, L. Enhancement and manipulation of group delay based on topological edge state in one-dimensional photonic crystal with graphene. Opt. Express 2021, 29, 30348–30356. [Google Scholar] [CrossRef] [PubMed]
  33. Gu, M.; Michalski, K.A. Giant THz Faraday rotation with stacked magnetized graphene. J. Appl. Phys. 2021, 129, 183103. [Google Scholar] [CrossRef]
  34. Jahani, D.; Akhavan, O.; Ghatar, A.A. Magneto-tunable terahertz absorption in single-layer graphene: A general approach. Phys. E Low-Dimens. Syst. Nanostruct. 2023, 151, 115728. [Google Scholar] [CrossRef]
  35. Cheng, R.; Zhou, Y.; Liu, H.; Liu, J.; Sun, G.; Zhou, X.; Shen, H.; Wang, Q.; Zha, Y. Tunable graphene-based terahertz absorber via an external magnetic field. Opt. Mater. Express 2020, 10, 501–512. [Google Scholar] [CrossRef]
  36. Gusynin, V.P.; Sharapov, S.G.; Carbotte, J.P. Magneto-optical conductivity in graphene. J. Phys. Condens. Matter 2007, 19, 026222. [Google Scholar] [CrossRef]
  37. Ardakani, A.G.; Ghasemi, Z.; Golshan, M.M. A new transfer matrix for investigation of surface plasmon modes in multilayer structures containing anisotropic graphene layers. Eur. Phys. J. Plus 2017, 132, 206. [Google Scholar] [CrossRef]
  38. Wang, S.; Zhang, H.; Jiang, J.; Jiang, L.; Wu, J. Tunable Superluminal and Subluminal Reflected Group Delay in an Air-Weyl Semimetal Film-Weyl Semimetal Substrate Layered System. IEEE J. Quantum Electron. 2022, 58, 1–6. [Google Scholar] [CrossRef]
Figure 1. Illustration of a multilayered structure designed for the stimulation of surface plasmon polaritons (SPPs). (a) presents a top–down perspective, whereas (b) depicts a lateral view. The incident electromagnetic wave is polarized in the transverse magnetic (TM) mode. An external magnetic field is applied along the z-axis orientation.
Figure 1. Illustration of a multilayered structure designed for the stimulation of surface plasmon polaritons (SPPs). (a) presents a top–down perspective, whereas (b) depicts a lateral view. The incident electromagnetic wave is polarized in the transverse magnetic (TM) mode. An external magnetic field is applied along the z-axis orientation.
Coatings 15 00196 g001
Figure 2. Illustration of the frequency-dependent behavior of the real and imaginary components of (a) σ x x and (b) σ x y under various external magnetic fields.
Figure 2. Illustration of the frequency-dependent behavior of the real and imaginary components of (a) σ x x and (b) σ x y under various external magnetic fields.
Coatings 15 00196 g002
Figure 3. The dependence of the reflectance (ac), reflected phase (df), and the group delay (gi) as a function of frequency at the different external magnetic fields B = 1 T, 2 T, and 3 T, respectively.
Figure 3. The dependence of the reflectance (ac), reflected phase (df), and the group delay (gi) as a function of frequency at the different external magnetic fields B = 1 T, 2 T, and 3 T, respectively.
Coatings 15 00196 g003
Figure 4. (a) The reflectance, (b) reflected phase, and (c) reflected group delay as a function of frequency at the incident angle θ = 30°, 40°, 50°, 60°.
Figure 4. (a) The reflectance, (b) reflected phase, and (c) reflected group delay as a function of frequency at the incident angle θ = 30°, 40°, 50°, 60°.
Coatings 15 00196 g004
Figure 5. (a) The reflectance, (b) reflected phase, and (c) reflected group delay as a function of frequency at different thicknesses of Air layer dAir = 3 μm, 4 μm, 5 μm, 6 μm.
Figure 5. (a) The reflectance, (b) reflected phase, and (c) reflected group delay as a function of frequency at different thicknesses of Air layer dAir = 3 μm, 4 μm, 5 μm, 6 μm.
Coatings 15 00196 g005
Disclaimer/Publisher’s Note: The statements, opinions and data contained in all publications are solely those of the individual author(s) and contributor(s) and not of MDPI and/or the editor(s). MDPI and/or the editor(s) disclaim responsibility for any injury to people or property resulting from any ideas, methods, instructions or products referred to in the content.

Share and Cite

MDPI and ACS Style

Wu, X.; Guo, Y.; Wang, Q. Tunable Group Delay of Reflected Beam in Multilayered Structures with Antisymmetric Graphene via Magnetic Control. Coatings 2025, 15, 196. https://doi.org/10.3390/coatings15020196

AMA Style

Wu X, Guo Y, Wang Q. Tunable Group Delay of Reflected Beam in Multilayered Structures with Antisymmetric Graphene via Magnetic Control. Coatings. 2025; 15(2):196. https://doi.org/10.3390/coatings15020196

Chicago/Turabian Style

Wu, Xinghua, Yanyan Guo, and Qingkai Wang. 2025. "Tunable Group Delay of Reflected Beam in Multilayered Structures with Antisymmetric Graphene via Magnetic Control" Coatings 15, no. 2: 196. https://doi.org/10.3390/coatings15020196

APA Style

Wu, X., Guo, Y., & Wang, Q. (2025). Tunable Group Delay of Reflected Beam in Multilayered Structures with Antisymmetric Graphene via Magnetic Control. Coatings, 15(2), 196. https://doi.org/10.3390/coatings15020196

Note that from the first issue of 2016, this journal uses article numbers instead of page numbers. See further details here.

Article Metrics

Back to TopTop