Optimization of Coatings Materials of Cds/Snse Solar Cell Using Snte as Hole Transport Layer: An Overview of Different Recombination Mechanisms
Abstract
1. Introduction
2. Materials and Methods
3. Results and Discussion
3.1. Impact of Buffer Thickness in CdS/SnSe/SnTe-Based Solar Cell with Representative Resistances with Different Loss Mechanisms
3.2. Impact of Buffer Thickness in CdS/SnSe/SnTe-Based Solar Cell with Ideal Resistances with Different Loss Mechanisms
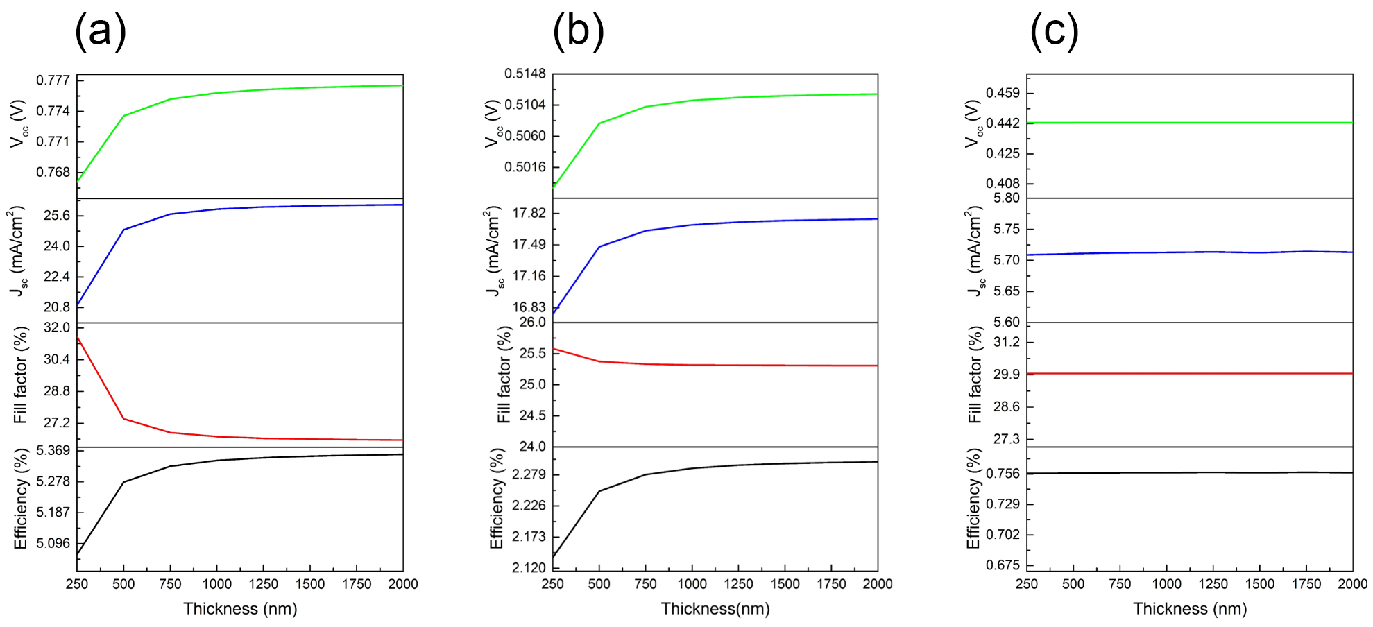
3.3. Impact of the Absorber Thickness in CdS/SnSe/SnTe-Based Solar Cell with Representative Resistances
3.4. Impact of the Absorber Thickness in CdS/SnSe/SnTe-Based Solar Cell with Ideal Resistances
3.5. Impact of the Acceptor Density on Hole Transport Layer
3.6. Impact of the Bulk Defects on Hole Transport Layer
3.7. Impact of the Acceptor Density on the SnSe
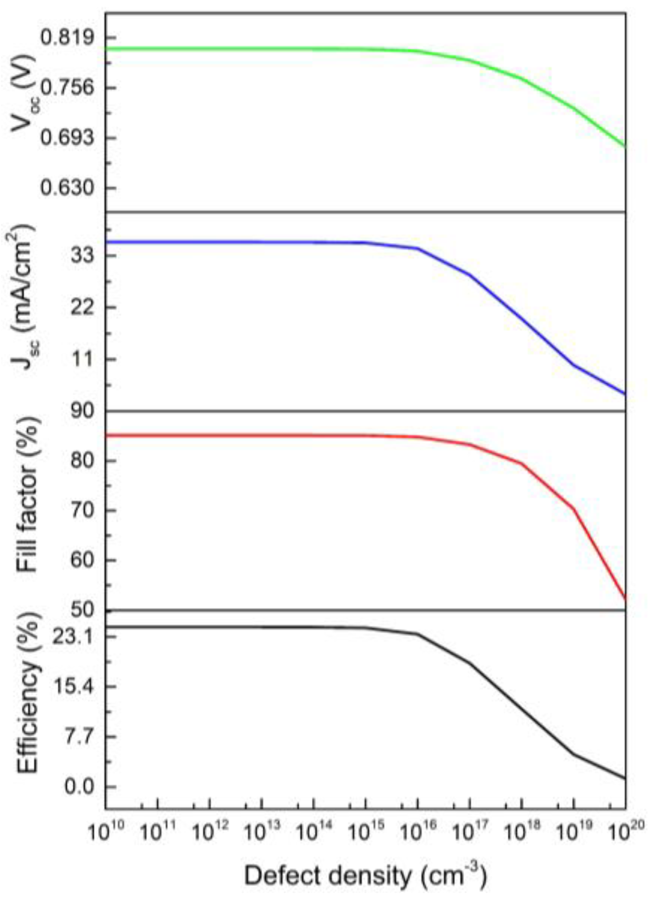
3.8. Impact of the Defects in Bulk on the SnSe
3.9. Photovoltaic Characteristics of the Optimized Device
4. Conclusions
Author Contributions
Funding
Institutional Review Board Statement
Informed Consent Statement
Data Availability Statement
Acknowledgments
Conflicts of Interest
References
- Kumar, M.; Rani, S.; Singh, Y.; Gour, K.S.; Singh, V.N. Tin-selenide as a futuristic material: Properties and applications. RSC Adv. 2021, 11, 6477–6503. [Google Scholar] [CrossRef]
- Minnam Reddy, V.R.; Gedi, S.; Pejjai, B.; Park, C. Perspectives on SnSe-based thin film solar cells: A comprehensive review. J. Mater. Sci. Mater. Electron. 2016, 27, 5491–5508. [Google Scholar] [CrossRef]
- Shi, W.; Gao, M.; Wei, J.; Gao, J.; Fan, C.; Ashalley, E.; Li, H.; Wang, Z. Tin selenide (SnSe): Growth, properties, and applications. Adv. Sci. 2018, 5, 1700602. [Google Scholar] [CrossRef] [PubMed]
- Rühle, S. Tabulated values of the Shockley—Queisser limit for single junction solar cells. Sol. Energy 2016, 130, 139–147. [Google Scholar] [CrossRef]
- Mathews, N.R. Electrodeposited tin selenide thin films for photovoltaic applications. Sol. Energy 2012, 86, 1010–1016. [Google Scholar] [CrossRef]
- Barrios-Salgado, E.; Nair, M.T.S.; Nair, P.K. Chemically deposited SnSe thin films: Thermal stability and solar cell application. ECS J. Solid State Sci. Technol. 2014, 3, Q169. [Google Scholar] [CrossRef]
- Shinde, D.V.; Min, S.K.; Sung, M.M.; Shrestha, N.K.; Mane, R.S.; Han, S.H. Photovoltaic properties of nanocrystalline SnSe-CdS. Mater. Lett. 2014, 115, 244–247. [Google Scholar] [CrossRef]
- Li, Z.; Guo, Y.; Zhao, F.; Nie, C.; Li, H.; Shi, J.; Liu, X.; Jiang, J.; Zuo, S. Effect of film thickness and evaporation rate on co-evaporated SnSe thin films for photovoltaic applications. RSC Adv. 2020, 10, 16749–16755. [Google Scholar] [CrossRef]
- Abd El-Rahman, K.F.; Darwish, A.A.A.; El-Shazly, E.A.A. Electrical and photovoltaic properties of SnSe/Si heterojunction. Mater. Sci. Semicond. Process. 2014, 25, 123–129. [Google Scholar] [CrossRef]
- Kumar, M.; Rani, S.; Singh, Y.; Kumar, A.; Singh, V. Strategy to improve the efficiency of tin selenide based solar cell: A path from 1.02 to 27.72%. Sol. Energy 2022, 232, 146–153. [Google Scholar] [CrossRef]
- Jayan, K.D. Enhancement of efficiency of (FA)2BiCuI6 based perovskite solar cells with inorganic transport layers. Opt. Mater. 2021, 122, 111671. [Google Scholar] [CrossRef]
- Hashmi, G.; Hossain, M.S.; Rashid, M.J. Simulation of CdTe, CIGS and CZTS Solar Cells Using WxAMPS Software. Res. Square 2021. [Google Scholar] [CrossRef]
- Zyoud, S.H.; Zyoud, A.H.; Ahmed, N.M.; Prasad, A.R.; Khan, S.N.; Abdelkader, A.F.I.; Shahwan, M. Numerical Modeling of High Conversion Efficiency FTO/ZnO/CdS/CZTS/MO Thin Film-Based Solar Cells: Using SCAPS-1D Software. Crystals 2021, 11, 1468. [Google Scholar] [CrossRef]
- Faisal, S.; Rahman, S.I.; Ahmed, S.; Dhrubo, T.I. Numerical analysis of Mo Te2 thin film solar cell with Cu2Te BSF layer. In Proceedings of the TENCON 2017—2017 IEEE Region 10 Conference, Penang, Malaysia, 5–8 November 2017; pp. 2342–2346. [Google Scholar] [CrossRef]
- Gagandeep; Singh, M.; Kumar, R. Simulation of perovskite solar cell with graphene as hole transporting material. AIP Conf. Proc. 2019, 2115, 030548. [Google Scholar] [CrossRef]
- Xu, R.; Zou, X.; Liu, B.; Cheng, H.M. Computational design and property predictions for two-dimensional nanostructures Mater. Today 2018, 21, 391–418. [Google Scholar] [CrossRef]
- Kareem, M.Q.; Alimardan, S.S.; Mohammad, W.M.; Khudhair, I.M. Tailoring ETL/HTL combinations for high-performance ITO/i-ZnO/ZnS/SnSe/SnTe solar cells: A simulation approach. Results Surf. Interfaces 2025, 18, 100411. [Google Scholar] [CrossRef]
- Basore, P.A. Numerical modeling of textured silicon solar cells using PC-1D. IEEE Trans. Electron Devices 1990, 37, 337–343. [Google Scholar] [CrossRef]
- Gummel, H.K. A self-consistent iterative scheme for one-dimensional steady state transistor calculations. IEEE Trans. Electron. Devices 1964, 11, 455–465. [Google Scholar] [CrossRef]
- Burgelman, M. In Thin Film Solar Cells Fabrication, Characterization and Applications; Poortmans, J., Arkhipov, V., Eds.; Cadmium Telluride Thin Film Solar Cells: Characterization, Fabrication and Modeling. John Wiley & Sons Ltd.: West Sussex, UK, 2006; pp. 227–314. [Google Scholar]
- Kumari, R.; Kumar, R.; Singh, V.N. SnTe as a BSF enhances the performance of Sb2Se3 based solar cell: A numerical approach. Heliyon 2022, 8, e12043. [Google Scholar] [CrossRef]
- Dey, M.; Dey, M.; Matin, M.A.; Amin, N. Design of high performance and ultra-thin CdTe solar cells with SnTe BSF from numerical analysis. In Proceedings of the 18th International Conference on Computer and Information Technology (ICCIT), Dhaka, Bangladesh, 21–23 December 2015; pp. 573–576. [Google Scholar] [CrossRef]
- Im, H.S.; Myung, Y.; Cho, Y.J.; Kim, C.H.; Kim, H.S.; Back, S.H.; Jung, C.S.; Jang, D.M.; Lim, Y.R.; Park, J.; et al. Facile phase and composition tuned synthesis of tin chalcogenide nanocrystals. RSC Adv. 2013, 3, 10349. [Google Scholar] [CrossRef]
- Sa̧fak, H.; Merdan, M.; Yüksel, O.F. Dispersion analysis of SnS and SnSe. Turkish J. Phys. 2002, 26, 341–347. [Google Scholar]
- Ho, C.H.; Lin, W.Y.; Chao, L.C.; Lee, K.Y.; Inagaki, J.; Hsueh, H.C. Study of structural, thermoelectric, and photoelectric properties of layered tin monochalcogenides SnX (X = S, Se) for energy application. ACS Appl. Energy Mater. 2020, 3, 4896–4905. [Google Scholar] [CrossRef]
- Vigil-Galán, O.; Andrade-Arvizu, J.A.; Courel-Piedrahita, M.; Mejía-García, C.; Valencia-Resendíz, E.; Sánchez-González, Y.; Espíndola-Rodríguez, M.; Saucedo-Silva, E.; González-Castillo, R.; Rodríguez-González, E.; et al. Study of CBD-CdS/CZTGSe solar cells using different Cd sources: Behavior of devices as a MIS structure. J. Mater. Sci. Mater. Electron. 2017, 28, 18706–18714. [Google Scholar] [CrossRef]
- Vigil-Galán, O.; Pulgarín, F.A.; Cruz-Gandarilla, F.; Courel, M.; Villarreal-Ruiz, G.; Sánchez, Y.; Jiménez-Olarte, D.; Saucedo, E. Optimization of CBD-CdS physical properties for solar cell applications considering a MIS structure. Mater. Des. 2016, 99, 254–261. [Google Scholar] [CrossRef]
- Carrillo-Osuna, A.; Sánchez-Rodríguez, F.J.; Rodriguez-Osorio, K.G.; De Los Santos, I.M.; Morán-Lázaro, J.P.; Ojeda-Martínez, M.; Pérez, L.M.; Laroze, D.; Courel, M. Towards the CdS/SnSe solar cell optimization: Understanding the transport mechanisms. Results Phys. 2024, 67, 108035. [Google Scholar] [CrossRef]
- Pallavolu, M.R.; Minnam Reddy, V.R.; Guddeti, P.R.; Park, C. Development of SnSe thin films through selenization of sputtered Sn-metal films. J. Mater. Sci. Mater. Electron. 2019, 30, 15980–15988. [Google Scholar] [CrossRef]
- Labiod, A.; Khadir, A. Numerical Investigation of Advanced Thin-Film Solar Cells Based on SnSe. Acta Phys. Pol. A 2025, 147, 21. [Google Scholar] [CrossRef]










| Parameters | HTL | Layer | ||
|---|---|---|---|---|
| SnTe | SnSe | CdS | ITO | |
| Thickness, t (nm) | 100 | 800 | 100 | 400 |
| Band gap, Eg (eV) | 0.18 | 1.2 | 2.45 | 3.65 |
| Electron affinity, χ (eV) | 5.1 | 4.1 [23] | 4.4 | 4.8 |
| Dielectric permittivity, ε (relative) | 100 | 9.94 [24] | 10 | 8.9 |
| Effective density of states in the conduction band (CB-DOS), Nc (1/cm3) | 1016 | 1.96 × 1019 | 2.2 × 1018 | 5.2 × 1018 |
| Effective density of states in the valence band (VB-DOS), Nv (1/cm3) | 1017 | 3.8 × 1018 | 1.8 × 1019 | 1.0 × 1018 |
| Electron thermal velocity (cm/s) | 107 | 7.3 × 106 | 1 × 107 | 1 × 107 |
| Hole thermal velocity (cm/s) | 107 | 1.25 × 107 | 1 × 107 | 1 × 107 |
| Electron mobility, µn (cm2/Vs) | 500 | 125 | 100 | 10 |
| Hole mobility, µp (cm2/Vs) | 2720 | 371 [25] | 50 | 10 |
| Shallow donor density, ND (1/cm3) | 0 | 0 | 1 × 1017 | 1 × 1017 |
| Shallow acceptor density, NA (1/cm3) | 1 × 1018 | 1 × 1017 | 0 | 0 |
Disclaimer/Publisher’s Note: The statements, opinions and data contained in all publications are solely those of the individual author(s) and contributor(s) and not of MDPI and/or the editor(s). MDPI and/or the editor(s) disclaim responsibility for any injury to people or property resulting from any ideas, methods, instructions or products referred to in the content. |
© 2025 by the authors. Licensee MDPI, Basel, Switzerland. This article is an open access article distributed under the terms and conditions of the Creative Commons Attribution (CC BY) license (https://creativecommons.org/licenses/by/4.0/).
Share and Cite
Sánchez-Rodríguez, F.J.; Ojeda-Inzunza, J.G.; Carrillo-Osuna, A.; Barraza-Valencia, A.; Inzunza-Camacho, L.N.; Ruelas-Leyva, J.P.; Montoya de los Santos, I.; Molina-Duarte, J.J.; Meza-Aguilar, S.; Ramos-Brito, F.; et al. Optimization of Coatings Materials of Cds/Snse Solar Cell Using Snte as Hole Transport Layer: An Overview of Different Recombination Mechanisms. Coatings 2025, 15, 1324. https://doi.org/10.3390/coatings15111324
Sánchez-Rodríguez FJ, Ojeda-Inzunza JG, Carrillo-Osuna A, Barraza-Valencia A, Inzunza-Camacho LN, Ruelas-Leyva JP, Montoya de los Santos I, Molina-Duarte JJ, Meza-Aguilar S, Ramos-Brito F, et al. Optimization of Coatings Materials of Cds/Snse Solar Cell Using Snte as Hole Transport Layer: An Overview of Different Recombination Mechanisms. Coatings. 2025; 15(11):1324. https://doi.org/10.3390/coatings15111324
Chicago/Turabian StyleSánchez-Rodríguez, Fernando J., José G. Ojeda-Inzunza, Alexis Carrillo-Osuna, Andres Barraza-Valencia, Levy N. Inzunza-Camacho, Jose P. Ruelas-Leyva, Isaac Montoya de los Santos, Jesus J. Molina-Duarte, Salvador Meza-Aguilar, Francisco Ramos-Brito, and et al. 2025. "Optimization of Coatings Materials of Cds/Snse Solar Cell Using Snte as Hole Transport Layer: An Overview of Different Recombination Mechanisms" Coatings 15, no. 11: 1324. https://doi.org/10.3390/coatings15111324
APA StyleSánchez-Rodríguez, F. J., Ojeda-Inzunza, J. G., Carrillo-Osuna, A., Barraza-Valencia, A., Inzunza-Camacho, L. N., Ruelas-Leyva, J. P., Montoya de los Santos, I., Molina-Duarte, J. J., Meza-Aguilar, S., Ramos-Brito, F., & Courel, M. (2025). Optimization of Coatings Materials of Cds/Snse Solar Cell Using Snte as Hole Transport Layer: An Overview of Different Recombination Mechanisms. Coatings, 15(11), 1324. https://doi.org/10.3390/coatings15111324

