Next Article in Journal
Impact of Calcium Chloride Addition on the Microstructural and Physicochemical Properties of Pea Protein Isolate-Based Films Plasticized with Glycerol and Sorbitol
Next Article in Special Issue
Morphological and Corrosion Characterization of Electroless Ni-P Coatings Deposited on Ductile Iron
Previous Article in Journal
The Influence of Surface Nanocrystallization of TA2 Titanium Alloy on Its Corrosion Resistance
 
 
Font Type:
Arial Georgia Verdana
Font Size:
Aa Aa Aa
Line Spacing:
Column Width:
Background:
Article

Fabrication and Properties of Superhydrophobic Colored Stainless Steel Surface for Decoration and Anti-Corrosion

1
Shandong Institute of Petroleum and Chemical Technology, Dongying 257061, China
2
College of Chemical Engineering, China University of Petroleum, Qingdao 266580, China
3
College of Mechanical and Electronic Engineering, China University of Petroleum, Qingdao 266580, China
*
Author to whom correspondence should be addressed.
Coatings 2024, 14(9), 1117; https://doi.org/10.3390/coatings14091117
Submission received: 31 July 2024 / Revised: 18 August 2024 / Accepted: 27 August 2024 / Published: 2 September 2024

Abstract

A colored superhydrophobic surface on a stainless steel substrate was achieved by means of high temperature oxidation combined with subsequent spraying modification by superhydrophobic nano-silica film. Comprehensive characterizations of the surface were performed in terms of color, morphology, composition, wettability, and corrosion resistance by optical microscopy, X-ray diffraction (XRD), scanning electron microscopy (SEM), energy-dispersive spectroscopy (EDS), contact angle, potentiodynamic polarization, and electrochemical impedance spectroscopy measurement. At 400 °C, the surface was pale yellow, gradually turning yellow and then red as the temperature increased. At 700 °C and 800 °C, the surface colors were blue and dark brown, respectively. The samples with oxide films demonstrated lower contact angles, specifically 80.5° ± 2.5 at 400 °C, 79.1° ± 2.8 at 500 °C, and 75.6° ± 3.4 at 600 °C. The polarization resistance measured on the oxidized film formed at 600 °C exceeded 7.93 × 104 Ω·cm2. After spraying the treatment, these colorful surfaces exhibited superhydrophobicity, they were self-cleaning, and they satisfied anti-corrosion properties. The treatment performs as an excellent barrier and exhibits a high corrosion resistance of 4.68 × 106 Ω·cm2. The successful preparation of superhydrophobic colored surfaces offers the possibility of providing stainless steel with both decoration value and self-cleaning function simultaneously by our proposed chromium-free fabrication process.

1. Introduction

The increasing demand for colored stainless steel is particularly evident in architectural design and decoration due to its attractive appearance, corrosion resistance, and reusability. The color of the stainless steel surface is a consequence of the light interference effect, which is due to the interference amplification of reflected light at both the steel film/oxide and oxide film/air surfaces [1,2,3].
The reported coloring technologies mainly focus on the production process of H2SO4 solutions containing CrO3 [4,5]. Chromium-based composite coatings are commonly employed as a means of corrosion protection for metals. Alternatives to chromium coatings are becoming more necessary due to their high toxicity and environmental risks. Various methods have been used to produce colored stainless steel surfaces, including thermal oxidation in air [6,7], chemical or electrochemical oxidation in an electrolyte solution [8], and laser machining [9,10].
With its high surface energy, the colored film composed of metal oxides and hydroxides is a porous coating that can absorb liquid pollutants and particles as well as other particles. Therefore, it is necessary to maintain the aesthetic qualities and corrosion resistance of colored stainless steel through frequent manual cleaning. Additionally, physical cleaning methods can sometimes damage the color film. In contrast, superhydrophobic surfaces, with low surface energy and micro-scale roughness, have self-cleaning properties [11,12,13,14].
Thus, superhydrophobic modification can be employed to address the issues encountered by colored stainless steel surfaces. The surface becomes less effective in absorbing contaminants after being modified, which prevents the safe contact of the corrosive environment with the surface for extended periods. In addition, superhydrophobic stainless steel offers unique properties such as self-cleaning, drag reduction, anti-icing, and anti-adhesion [15,16,17,18], expanding its potential applications in specialized fields.
Surface protection can be achieved through the use of ceramic composite coatings, such as transitional metal oxides like iron, nitrides, carbides, or silicides. There has been a lot of research and development undertaken to modify conventional stainless surfaces to become superhydrophobic [19,20]. Deng et al. prepared the superhydrophobic nano-ZnO (CSS–ZnO) surface on its surface by employing the hydrothermal method. Different structural morphologies of 304 stainless steel-based ZnO surfaces were prepared by varying different seed layer preparation methods [21]. A colored super-hydrophobic surface on stainless steel substrate was achieved by means of chemical coloring on etched substrate combined with modification by fluorosilane. The effect of chemical etching with HCl and FeCl3, and of passivation treatment for the etched substrate by H2O2/HNO3 on coloring behavior, was studied [22]. The effects of NaCl and NaNO3 on the surface morphology and wettability of stainless steel were investigated in detail using various electrolyte concentrations, current densities, and etching time, and the results are expected to further enlarge the application range and improve the service life of 304 stainless steel [23]. Wire electrochemical etching with neutral sodium nitrate is adopted for the first time to fabricate superhydrophobic surfaces on 304 stainless steel substrates [24]. The prepared superhydrophobic 304 stainless steel surfaces show excellent anti-icing performance and self-cleaning properties, which may greatly facilitate the application of 304 stainless steel in extreme conditions. The development of corrosion inhibitors that also impart hydrophobic properties to metallic surfaces has been an area of significant interest. For instance, the use of alkanethiols on gold surfaces, as demonstrated by Renner and colleagues [25], has been shown to effectively render the surface hydrophobic while inhibiting corrosion through a mechanism involving spinodal decomposition dealloying. Similarly, a superhydrophobic nano-silica coating on colored stainless steel not only enhances the surface’s resistance to wetting but also provides a protective barrier against corrosive agents. The nano-silica coating, with its high-temperature stability and corrosion resistance, offers a comparable level of protection, albeit through a different mechanism involves the formation of a uniform and adherent film that prevents corrosive species from reaching the metal surface. There are various methods for preparing silica coatings, the main ones being the sol-gel process and the hydrothermal method. In particular, the sol-gel process offers advantages for preparing silica coatings on stainless steel substrates, including lower synthesis temperature, easier control of reaction conditions, and simpler equipment and process requirements. The surface can be coated using spraying, which is a simple process that can also be scaled and improved. This method can overcome the disadvantages of the high-temperature hydrothermal method including the susceptibility to corrosion of stainless steel. Silica film improves the anti-corrosion properties and hydrophobicity of stainless steel surfaces. However, the study of superhydrophobically colored stainless steel surfaces fabricated by high temperature oxidation has yielded minimal results.
In this study, we present a novel method for fabricating superhydrophobic colored stainless steel surfaces by high temperature oxidation combined with the application of superhydrophobic nano-silica film spraying. The surface characterization of the oxide films was performed by optical microscopy and X-ray diffraction. Scanning electron microscopy and energy-dispersive spectroscopy were employed to investigate the chemical composition of the sprayed films. The corrosion properties were studied using potentiodynamic polarization and electrochemical impedance spectroscopy. This analysis can contribute to the development of heat treatment processes for high temperature applications or for requirements regarding color and corrosion resistance. The successful preparation of superhydrophobic colored surfaces offers the opportunity to give stainless steel both decorative value and self-cleaning functionality through our proposed chromium-free manufacturing process.

2. Experimental Section

2.1. Sample Preparation

The material applied was a commercial 304 stainless steel with the chemical composition listed in Table 1. Hexachloroplatinic acid, isopropanol, Triethoxysilane (Si(CH3CH2O)3H), Anhydrous ethanol, tetraethyl orthosilicate (TEOS), and ammonia were purchased from Alfa Aesar. Allyl polyethylene glycol polypropylene methyl ether (AEPM) was obtained from Shanghai Kelaman Chemical Technology Co., Ltd., Shanghai, China.
Samples with dimensions of 30 mm × 30 mm × 1 mm were cut from the steel plate with an initial surface roughness that adheres to industrial standards, within the range of Ra 0.4 to 0.8 μm. The samples were treated with acetone for ultrasonic cleaning and dried under hot air. Samples were subjected to oxidation in dry air with a dew point low enough to prevent moisture from affecting the coating process for 30 min at 400 °C, 500 °C, 600 °C, 700 °C, and 800 °C, respectively. The samples were cooled within the furnace to room temperature after the heat treatment was completed.

2.2. Fabrication of Nano-Silica Particle

The Speier catalyst solution was prepared by dissolving 1 g of hexachloroplatinic acid in 20 mL of pure isopropanol, which served as the solvent. The solution was then diluted 100-fold with anhydrous isopropanol to ensure uniform distribution of the catalyst. A predetermined quantity of polypropylene polyethylene glycol methyl ether (AEPM) was mixed with the diluted catalyst in a nitrogen atmosphere to prevent any unwanted side reactions. Triethoxysilane (Si(CH3CH2O)3H) was then gradually added to the mixture and the reaction was allowed to proceed at a controlled temperature of 40 °C for 12 h. The desired coupling agent product was obtained by vacuum distillation, which eliminated the unreacted starting materials and by products from the reaction shown in Figure 1. Figure 2 presents the preparation of hydrophobic nano-silica. Anhydrous ethanol and water were combined in a volume ratio of 95:5 in a three-necked flask. A measured amount of tetraethyl orthosilicate (TEOS) was introduced into the ethanol-water mixture with continuous stirring at room temperature. The mixture was stirred after sealing, and the organosilane was added at a rate of 3 mL per 100 mL of the ethanol-water solution. The pH of the solution was carefully adjusted to 13 with ammonia solution. The reaction mixture was then heated to 40 °C and continued to be stirred magnetically for 8 h. This process facilitated the in-situ synthesis of hydrophobically modified nanosized silica.
The silica suspension was loaded into a spray bottle and sprayed onto the colored stainless steel surface at a speed of 3–5 cm/s with the nozzle approximately 15 cm away from the surface. After that, the sprayed surface was subjected to heat treatment in an oven at 120 °C for 30 min to create a superhydrophobic coating of stainless steel.

2.3. Sample Characterization

Scanning electron microscopy (SEM, S3400/SU3800, Hitachi, Tokyo, Japan) was used to demonstrate the surface morphology of stainless steel. X-ray diffraction (XRD: SHIMADZU 6100, Kyoto, Japan) was used to analyze the surface chemistry, while energy dispersive spectroscopy (EDS, Xplore30, Oxford Instruments, Oxfordshire, UK) was used to characterize the surface chemistry on the coated stainless steel.

2.4. Contact Angle Measurements

The water repellency of the samples was assessed by determining the static contact angle with the sessile drop method, utilizing a video-based optical contact angle meter (JC2000D3M, Zhongchen, Shanghai, China). An 8 μL drop of deionized distilled water was placed on the coated stainless steel surface in ambient conditions.

2.5. Electrochemical Measurements

The electrochemical measurements were performed in a 3.5 wt.% NaCl solution using an electrochemical workstation (Reference 3000, Gamry, Warminster, PA, USA). A silver/silver chloride electrode (Ag/AgCl, 3M KCl) served as reference electrode and a platinum mesh was used as the counter electrode. The working electrode was clamped to a flat cell with an exposure area of 1.0 cm2 to the electrolyte. The open circuit potential (OCP) was measured for 900 s to characterize the electrochemical response of the samples and ensure the stability of the system. Electrochemical impedance spectroscopy (EIS) measurements were performed at the OCP over a frequency range of 100 kHz to 100 mHz with a signal amplitude of 20 mV. Zview software (Version 3.1, Scribner Associates, Inc., Southern Pines, NC, USA) was used to fit and analyze the measurement results with specified equivalent circuit. Potentiodynamic polarization (DP) measurements were conducted with a scanning rate of 1 mV/s over a voltage range of ±0.1 V vs. OCP. Three parallel tests were performed under the same conditions for each sample.

3. Results and Discussion

3.1. Optical Micrographs of Oxidized Stainless Steel Surfaces

Optical micrographs of colored stainless steel formed at different oxidation temperatures are presented in Figure 3. Visible color changes were observed on the stainless steel surface at different oxidation temperatures. At 400 °C, the surface was pale yellow, gradually turning yellow and then red as the temperature increased. The surface after a short period of operation is rich in iron. As the temperature increases, a combination of Cr2O3, spinel (Fe,Cr)3O4 and iron oxide can form in the oxide film [26]. At 700 °C and 800 °C, the surface colors are blue and dark brown, respectively. Studies on the coloring mechanism of stainless steel have demonstrated that the coloration is a result of the interference of natural light reflected from different optical path differences within the oxide film [7]. This interference effect is influenced by the thickness and the refractive index of the oxide layer, which alters the way light interacts with the surface. The formation of a transparent oxide film during the oxidation process creates a multilayer structure that contributes to the coloration effect observed in our samples. Film thickness is an important factor in coloring. At low temperatures the oxide film is thinner, while it becomes thicker at high temperatures. When the coloring temperature exceeds 800 °C, the oxide particles become coarse, forming a spinel structure, resulting in a rough surface. This rough surface causes diffuse reflection, reducing brightness. The surface morphology and thickness change with the formation of the oxide, further affecting the corrosion resistance. The superhydrophobic nano-silica film did not affect the color of the high-temperature oxidized stainless steel surface.
The oxide film itself is a transparent layer, with the observed colors resulting from interference effects caused by varying optical path lengths of reflected light on the oxide surface, influenced by natural light as mentioned above. When incident light strikes the oxide film perpendicularly, the optical path difference between reflected and refracted light is given by 2nd, where n is the refractive index of the oxide film and d is the film thickness. Interference occurs when this optical path difference is an integer multiple of the wavelength λ of the light.
= 2nd (k = 0,1,2,3…)
Thus, the film thickness d can be calculated using the following formula:
d = /2n (k = 0,1,2,3…)
where for stainless steel films, the refractive index n ranges from 2.64 to 2.73 [7]. The thickness of the oxide film for gold-colored stainless steel ranges from 135.5 to 140.2 nm. In contrast, the thickness of the oxide film for blue-violet stainless steel ranges from 512.8 to 530.3 nm.

3.2. Surface Characterization

Figure 4 shows the XRD patterns of 304 stainless steel oxide films formed at different temperatures for 30 min. XRD measurements of these representative samples provide the basis for further investigation of their chemical composition. α-Fe is present in samples formed at temperatures below 600 °C. As the oxidation temperature rises, the primary oxides formed on the sample surface are the spinel M3O4 and Cr2O3 phases. The relative intensities of the oxide peaks are significantly lower than those of the substrate, due to the low phase composition and/or the thin film thickness. The M element corresponds to Cr and/or Fe. The exact composition of spinel cannot be determined by simply observing the positions of its peaks in the XRD pattern. The ratio of Cr2O3 and Fe3O4 in the samples significantly affects their corrosion resistance, providing an indication of their corrosion resistance to some extent.
Figure 5 shows typical SEM micrographs of oxide films formed at 800 °C and films sputtered with superhydrophobic nano-silica films. As shown in Figure 5a, the surface of the oxide film formed at 800 °C is very rough, characterized by a dense coverage of small epitaxial oxide particles and larger spinel oxides. This rough surface texture leads to diffuse reflection, which reduces the overall brightness of the surface. In addition, this roughness also enhances wettability, making the surface more susceptible to water adhesion. The oxide film formed at 800 °C mainly consists of spinel M3O4 and Cr2O3 phases. This composition is due to the fact that at temperatures above 600 °C, the diffusion rate of chromium is high enough to transport chromium atoms to the surface. Once on the surface, these chromium atoms react with oxygen to form chromium oxide. The specific chemical composition and thickness of these oxide films play an important role in determining their anti-corrosion properties. Then, when the sample surface was sprayed with a layer of superhydrophobic nano-silica film, the SEM image showed a remarkable transformation. The coating generally appears smoother and more uniform than an untreated oxide film. This nano-silica coating forms a dense, adherent film on the surface, improving the hydrophobic properties of the material. However, during the high-temperature processing required to cure the coating, thermal stress can cause micron-scale cracks to form on the film surface. These micro-cracks may form due to a combination of factors, including the differential thermal expansion between the underlying oxide layer and the superhydrophobic coating, as well as the difference in elastic modulus between the two materials. The mismatch in the elastic properties can create mechanical stress at the interface, which, when combined with the thermal stress during cooling, can lead to cracking. Despite these micro-cracks, the overall integrity and performance of the superhydrophobic coating is maintained, providing significant improvements in both hydrophobicity and corrosion resistance.
The elemental distribution of the sample oxidized at 800 °C for 30 min and then treated with the superhydrophobic nano-silica film is shown in Figure 6. The EDS mapping results clearly depict the elemental distribution across the surface. In particular, the presence of silicon and oxygen elements confirms the formation of the nano-silica film, which is indispensable for the observed hydrophobic properties and enhances the corrosion resistance of the treated surface. The nano-silica film creates a protective barrier that provides these beneficial properties. However, the EDS mapping also shows the presence of iron, chromium, nickel, and oxygen elements under the superhydrophobic coating, which can be seen through the micro-cracks in the nano-silica film. Observation of these features through micro-cracks shows that although the nano-silica film significantly improves the surface properties, it does not completely mask the underlying oxidation layer. High-temperature oxidation results in the formation of complex oxides consisting of Fe, Cr, and Ni that are characteristic of the protective oxide layer on stainless steel. These oxides might contribute to the intrinsic corrosion resistance of the material, which will be further enhanced by the addition of a superhydrophobic nano-silica film.

3.3. Contact Angle Measurements

Figure 7 illustrates the contact angles of the oxide films formed at different oxidation temperatures and the oxide film formed at 800 °C treated with the superhydrophobic nano-silica film. Prior to any treatment, the as-received samples of 304 stainless steel exhibited a contact angle of 91.2° ± 3.1, indicating moderate hydrophobicity. In contrast to the untreated substrate, the samples with oxide films demonstrated lower contact angles, specifically 80.5° ± 2.5 at 400 °C, 79.1° ± 2.8 at 500 °C, and 75.6° ± 3.4 at 600 °C. This reduction in contact angle indicates a transition towards increased hydrophilicity with rising oxidation temperatures. As the oxidation temperature continued to increase, the surface contact angle showed a significant further decrease. At 800 °C, the contact angle reached 46.2° ± 2.2, reflecting a substantial enhancement in surface wettability. This pronounced decrease in contact angle is strongly correlated with the increased surface roughness observed in Figure 5, which enhances the surface’s hydrophilic properties. However, when the oxide film formed at 800 °C was treated with the superhydrophobic nano-silica film, a remarkable change in wettability was observed. The contact angle of the treated sample reached 151.5° ± 1.2, indicating excellent hydrophobicity. The application of the superhydrophobic nano-silica film significantly altered the surface characteristics, transforming it from a hydrophilic state to a hydrophobic state. This dramatic increase in contact angle demonstrates the effectiveness of the superhydrophobic nano-silica film in modifying the surface wettability of the oxidized stainless steel. The nano-silica coating creates a uniform and dense film that imparts superhydrophobic properties to the surface. This transformation not only improves water repellence but also enhances the resistance to corrosion and environmental degradation.

3.4. Dynamic Polarization and Electrochemical Impedance Spectroscopy Measurements

Figure 8a illustrates the corrosion behavior of oxide films formed at different temperatures for 30 min in a 3.5 wt.% NaCl solution. The films exhibit similar corrosion behavior, with slight variations in current densities. These differences can be further analyzed in conjunction with EIS measurement results. The presence of chromium in the oxide films enhances their stability and corrosion resistance, as supported by references [27,28,29]. Notably, the oxide film formed at 600 °C demonstrates the lowest corrosion current density 0.62 μA/cm2, indicating superior anti-corrosion performance. As the oxidation temperature increases, the current density also increases, reaching a peak at 800 °C. This reduction in corrosion resistance at higher temperatures is attributed to the increasing content of Fe3O4, which leads to a corresponding decrease in the proportion of Cr2O3 in the coating. Figure 8b compares the dynamic polarization curves of the substrate, the oxide films formed at 800 °C, and those treated with the superhydrophobic nano-silica film. Compared to the oxide film formed at 800 °C, a significant decrease in current density is observed for the sample treated with the superhydrophobic nano-silica film, dropping from 4.13 μA/cm2 to 0.029 μA/cm2. This substantial reduction highlights the effectiveness of the superhydrophobic nano-silica film in isolating the substrate from corrosive media, thereby significantly enhancing its anti-corrosion performance. The superhydrophobic coating acts as a barrier, preventing the penetration of corrosive agents and maintaining the integrity of the underlying oxide film. This treatment not only improves corrosion resistance but also extends the longevity of the stainless steel surface in harsh environments.
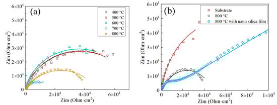
Electrochemical impedance spectroscopy (EIS) was utilized to evaluate the corrosion performance of the oxide films. The Nyquist plots of oxide films on stainless steel formed at different temperatures for 30 min are presented in Figure 9a. The spectra exhibit similar shapes with two time constants for the oxide films at high and low frequencies, as evidenced by the depressed semi-circles for the oxidized samples. In contrast, the Nyquist plot of the substrate displays a capacitive arc that does not end in the low-frequency range. The oxide films formed at 400–600 °C show higher impedance values of 6.93 × 104, 7.48 × 104, and 7.93 × 104 Ω·cm2, respectively. When the oxidation temperature exceeds 600 °C, the impedance decreases, consistent with the dynamic polarization results.
Figure 9b displays the Nyquist plots of the substrate and the oxide films formed at 800 °C treated with the superhydrophobic nano-silica film. The EIS results reveal one relaxation process for the substrate and two for the oxide film treated with the superhydrophobic nano-silica film. Compared to the samples with oxide films, the substrate exhibits higher impedance, which is likely due to the presence of a dense passive film on the substrate surface. This dense passive film reduces the electrochemical reaction rates on the surface of the stainless steel, whereas the oxide films impair the corrosion resistance.
The equivalent circuit depicted in Figure 10a has been applied to model the interface between the electrolyte and the electrode for a substrate with a passive film. The equivalent circuit consists of the electrolyte resistance (Re) connected in series with one time constant. Rf and Qf represent the resistance and capacitance behavior of the passive film, respectively. The constant phase element (CPE) is introduced to account for the dispersion behavior resulting from various physical phenomena, such as local inhomogeneity in the dielectric material and surface roughness. The CPE represents a deviation from a pure capacitor [30].
Different models have been proposed to interpret the impedance spectra of oxidized stainless steel [31]. In these models, Qf represents the capacitive behavior of the oxide film formed, which is coupled with the pore resistance (Rpo) due to the ionic pathways or microcracks through the film. Qdl indicates the double layer capacitance and Rct stands for the corresponding charge transfer resistance.
Polarization resistance (Rpl), defined as Rpl = Rpo + Rct, is commonly considered a key parameter to evaluate corrosion-induced deterioration in oxidized samples. A high Rpl value implies excellent corrosion prevention capability, whereas a lower value indicates accelerated corrosion due to interaction between the sample and electrolyte [31].
The polarization resistance measured on the oxidized film formed at 600 °C for 30 min is higher and exceeds 7.93 × 104 Ω·cm2, which is consistent with the observed low corrosion current density. This result can be explained by the fact that oxide films enriched in chromium oxide and spinel can impede the charge transfer process, thereby exhibiting higher corrosion resistance compared to oxide films mainly composed of iron oxide [32]. Conversely, an oxide film formed at 700 °C displays the lowest Rpl, 700 °C, at 1.51 × 104 Ω·cm2. However, the sample treated with the superhydrophobic nano-silica film presents excellent corrosion performance, with Rpl, sprayed values reaching 4.68 × 106 Ω·cm2. The corrosion inhibition efficiency (IE%) based on the polarization resistance values obtained from the electrochemical measurements for both non-sprayed and sprayed samples annealed at 800 °C can be calculated as [33]:
IE% = (1 − Rpl, 800 °C/Rpl, sprayed) × 100% = 98.97%
These findings suggest that further investigations are essential to fully elucidate the underlying mechanisms. Several factors may contribute to the observed improvements in corrosion resistance and superhydrophobicity. The formation of a uniform nano-silica coating likely creates a robust barrier that minimizes direct contact between the stainless steel surface and the corrosive medium, thereby reducing the electrochemical activity and slowing down the corrosion process. Additionally, the nano-silica film may alter the surface energy distribution, promoting air entrapment within the micro- and nano-structures on the surface, which is known to enhance the superhydrophobic effect. The increased surface roughness post-treatment could also enhance the mechanical interlocking of the nano-silica film, further improving its adherence and protective qualities. The enhanced corrosion resistance of the colored samples compared to the substrate suggests that the superhydrophobic colored film provides a protective effect for the substrate. This improvement highlights the potential of superhydrophobic treatments in extending the durability and corrosion resistance of colored stainless steel surfaces.
As shown in Figure 11a, the oxide film alone results in a rough, colored stainless steel surface that exhibits strong wettability. When exposed to a corrosive medium, the rough structures coated with the superhydrophobic nano-silica film become filled with entrapped air. Consequently, the corrosive medium only contacts the surface at the tips of the micro-protuberances. Additionally, even in these tip contact areas, the superhydrophobic nano-silica film and the colored oxide film act as double barriers, preventing the metal substrate from direct contact with the corrosive medium to a certain extent. Hence, the overall corrosion resistance is greatly reduced. Furthermore, a comparison of oxide films formed at different temperatures reveals that the films display various colors corresponding to different thicknesses. This indicates that thickness alone is not the only factor affecting the corrosion performance of the colored films. Other factors, including composition and microstructural changes, must be considered comprehensively. Therefore, the correlation between corrosion resistance and coloring parameters presents another important scientific issue that warrants further investigation in future studies.

4. Conclusions

In summary, we fabricated colored stainless steel surfaces with different colors successfully by using high temperature oxidation combined with the superhydrophobic nano-silica film. At 400 °C, the surface was pale yellow, gradually turning yellow and then red as the temperature increased. At 700 °C and 800 °C, the surface colors are blue and dark brown, respectively. The samples with oxide films demonstrated lower contact angles, specifically 80.5° ± 2.5 at 400 °C, 79.1° ± 2.8 at 500 °C, and 75.6° ± 3.4 at 600 °C. The polarization resistance measured on the oxidized film formed at 600 °C for 30 min was higher and exceeded 7.93 × 104 Ω·cm2, which is in accordance with the observed low corrosion current density 0.62 μA/cm2. The superhydrophobic nano-silica film was synthesized and sprayed on the oxide films formed at different temperatures. Its EIS analysis showed two relaxation process, which performed as an excellent barrier and exhibited high corrosion resistance 4.68 × 106 Ω·cm2. After being sprayed, the colored surface possessed superhydrophobic properties and better corrosion resistance compared to the colored stainless steel surface with the oxide film and substrate. Therefore, our approach offers an environmentally friendly method towards the development of colored superhydrophobic stainless steel surface with both decoration value and self-cleaning function, and its promising applications are anticipated in various indoor or outdoor fields, especially in the design and architectural sectors.

Author Contributions

Conceptualization, C.F.; methodology, C.F. and X.W.; investigation, C.F., W.W. and D.M.; formal analysis, X.Z.; data curation, X.Y.; writing—original draft preparation, C.F.; writing—review and editing, C.F., X.W. and Y.L.; funding acquisition, C.F., X.Z. and X.Y. All authors have read and agreed to the published version of the manuscript.

Funding

This work is supported by Dongying Science Development Fund (DJ2022006), Dongying Major Science and Technology Innovation Project (Science and Technology Development Guidance Plan) (2022ZD55, 2023ZDJH114) and Shandong Provincial Natural Science Foundation (ZR2022QE186, ZR2021ME180, ZR2023QE139).

Institutional Review Board Statement

Not applicable.

Informed Consent Statement

Not applicable.

Data Availability Statement

Data are contained within this article.

Conflicts of Interest

The authors declare no conflicts of interest.

References

  1. Qu, J.; Yu, C.; Nie, C.; Wang, H.; Cao, Z.; Li, Y.; Wang, X. A new environmentally friendly approach to prepare superhydrophobic colored stainless steel surface for decoration, anti-corrosion and self-cleaning. J. Mater. Sci. 2020, 56, 854–869. [Google Scholar] [CrossRef]
  2. Alliott, G.T.; Higginson, R.L.; Wilcox, G.D. Producing a thin coloured film on Stainless Steels—A review. part 2: Non-electrochemical and Laser Processes. Trans. IMF 2023, 101, 72–78. [Google Scholar] [CrossRef]
  3. Gaidys, M.; Selskis, A.; Gečys, P.; Gedvilas, M. Stainless steel colouring using burst and BIBURST mode ultrafast laser irradiation. Opt. Laser Technol. 2024, 174, 110561. [Google Scholar] [CrossRef]
  4. Conrrado, R.; Bocchi, N.; Rocha-Filho, R.C.; Biaggio, S.R. Corrosion resistance of colored films grown on stainless steel by the alternating potential pulse method. Electrochim. Acta 2003, 48, 2417–2424. [Google Scholar] [CrossRef]
  5. Zhang, J.; Yuan, J.; Qiao, Y.; Cao, C.; Zhang, J.; Zhou, G. The corrosion and passivation of SS304 stainless steel under square wave electric field. Mater. Chem. Phys. 2003, 79, 43–48. [Google Scholar] [CrossRef]
  6. Sharma, V.C. A comparison of thermal performance of austenitic stainless steel solar absorber plates coloured by chemical and thermal oxidation techniques. Energy 1981, 6, 133–138. [Google Scholar] [CrossRef]
  7. Huang, Q.; Ang, Y.; Ye, S.; Xiang, X. Color of SUS304 stainless steel in high temperature oxidation. Met. Funct. Mater. 2017, 24, 39–43. [Google Scholar]
  8. de Oliveira Vasconcelos, K.; Bocchi, N.; Rocha-Filho, R.C.; Biaggio, S.R. An environmentally friendly and practical method for obtaining color on stainless steel by interference. J. Electrochem. Soc. 2005, 152, 11. [Google Scholar]
  9. Luo, F.; Ong, W.; Guan, Y.; Li, F.; Sun, S.; Lim, G.C.; Hong, M. Study of micro/nanostructures formed by a nanosecond laser in gaseous environments for stainless steel surface coloring. Appl. Surf. Sci. 2015, 328, 405–409. [Google Scholar] [CrossRef]
  10. Guay, J.-M.; Calà Lesina, A.; Côté, G.; Charron, M.; Poitras, D.; Ramunno, L.; Berini, P.; Weck, A. Laser-induced plasmonic colours on metals. Nat. Commun. 2017, 8, 16095. [Google Scholar] [CrossRef]
  11. Kim, J.-H.; Mirzaei, A.; Kim, H.W.; Kim, S.S. Facile fabrication of superhydrophobic surfaces from austenitic stainless steel (Aisi 304) by Chemical Etching. Appl. Surf. Sci. 2018, 439, 598–604. [Google Scholar] [CrossRef]
  12. Zhong, M.; Zhang, Y.; Li, X.; Wu, X. Facile fabrication of durable superhydrophobic silica/epoxy resin coatings with compatible transparency and stability. Surf. Coat. Technol. 2018, 347, 191–198. [Google Scholar] [CrossRef]
  13. Ye, Y.; Kang, Z.; Wang, F.; Long, Y.; Guo, T.; Chen, D.; Kong, J.; Xu, L. Achieving Hierarchical Structure with Superhydrophobicity and Enhanced Anti-Corrosion via Electrochemical Etching and Chemical Vapor Deposition. Appl. Surf. Sci. 2022, 610, 155362. [Google Scholar] [CrossRef]
  14. Zhang, Y.; Zhang, Z.; Yang, J.; Yue, Y.; Zhang, H. Fabrication of Superhydrophobic Surface on Stainless Steel by Two-Step Chemical Etching. Chem. Phys. Lett. 2022, 797, 139567. [Google Scholar] [CrossRef]
  15. Li, L.; Breedveld, V.; Hess, D.W. Creation of superhydrophobic stainless steel surfaces by acid treatments and hydrophobic film deposition. ACS Appl. Mater. Interfaces 2012, 4, 4549–4556. [Google Scholar] [CrossRef]
  16. Emelyanenko, K.A.; Emelyanenko, A.M.; Boinovich, L.B. Laser Obtained Superhydrophobic State for Stainless Steel Corrosion Protection, a Review. Coatings 2023, 13, 194. [Google Scholar] [CrossRef]
  17. Tang, Y.; Cai, Y.; Wang, L.; Luo, X.; Wang, B.; Song, Q.; Liu, Z. Fabrication of Superhydrophobic Stainless Steel via Hybrid Femtosecond Laser-Chemical Method with Wear-Resistance and Anti-Corrosion Properties. Opt. Laser Technol. 2023, 164, 109474. [Google Scholar] [CrossRef]
  18. Wysard, M.; Vasconcelos, R.; de Souza, E.A.; Costa, M.E.H.M.; Camargo, S.S. Very Simple Method to Produce Superhydrophobic Stainless Steel Surfaces at Room Temperature. Mater. Chem. Phys. 2023, 307, 128203. [Google Scholar] [CrossRef]
  19. Park, B.; Hwang, W. A facile fabrication method for corrosion-resistant micro/nanostructures on stainless steel surfaces with tunable wettability. Scripta. Mater. 2016, 113, 118–121. [Google Scholar] [CrossRef]
  20. Kim, J.; Sim, S.O.; Park, H.W. Fabrication of durable hydrophobic micropatterns on stainless steel using a hybrid irradiation process. Surf. Coat. Technol. 2016, 302, 535–542. [Google Scholar] [CrossRef]
  21. Deng, Y.; Xu, F.; Yin, Z.; Xue, M.; Chen, Y.; He, P.; Wu, J.; Ou, J.; Wang, F.; Luo, Y.; et al. Controllable fabrication of superhydrophobic alloys surface on 304 stainless steel substrate for anti-icing performance. Ceram. Int. 2023, 49, 25135–25143. [Google Scholar] [CrossRef]
  22. Qu, J.; Yu, C.; Cui, R.; Qin, J.; Wang, H.; Cao, Z. Preparation of super-hydrophobic and corrosion resistant colored films on chemically etched 304 stainless steel substrate. Surf. Coat. Technol. 2018, 354, 236–245. [Google Scholar] [CrossRef]
  23. Sun, Y.; Zhao, D.; Song, J. Electrochemical fabrication of superhydrophobic 304 stainless steel by neutral electrolyte. J. Mater. Sci. 2022, 57, 20069–20081. [Google Scholar] [CrossRef]
  24. Sun, Y.; Liu, J.; Ming, P.; Zhao, D.; Song, J. Wire electrochemical etching of superhydrophobic 304 stainless steel surfaces based on high local current density with neutral electrolyte. Appl. Surf. Sci. 2022, 571, 151269. [Google Scholar] [CrossRef]
  25. Renner, F.U.; Ankah, G.N.; Bashir, A.; Ma, D.; Biedermann, P.U.; Shrestha, B.R.; Nellessen, M.; Khorashadizadeh, A.; Losada-Pérez, P.; Duarte, M.J.; et al. Star-Shaped Crystallographic Cracking of Localized Nanoporous Defects. Adv. Mater. 2015, 27, 4877–4882. [Google Scholar] [CrossRef]
  26. Gardiner, D.J.; Littleton, C.J.; Thomas, K.M.; Strafford, K.N. Distribution and characterization of high temperature air corrosion products on iron-chromium alloys by Raman Microscopy. Oxid. Met. 1987, 27, 57–72. [Google Scholar] [CrossRef]
  27. Wang, S.; Ma, Q.; Li, Y. Characterization of microstructure, mechanical properties and corrosion resistance of dissimilar welded joint between 2205 duplex stainless steel and 16MNR. Mater. Design 2011, 32, 831–837. [Google Scholar] [CrossRef]
  28. Niu, W.; Lillard, R.S.; Li, Z.; Ernst, F. Properties of the passive film formed on interstitially hardened AISI 316L stainless steel. Electrochim. Acta 2015, 176, 410–419. [Google Scholar] [CrossRef]
  29. Yu, F.; Chen, S.; Chen, Y.; Li, H.; Yang, L.; Chen, Y.; Yin, Y. Experimental and theoretical analysis of polymerization reaction process on the polydopamine membranes and its corrosion protection properties for 304 Stainless Steel. J. Mol. Struct. 2010, 982, 152–161. [Google Scholar] [CrossRef]
  30. Luo, H.; Dong, C.F.; Li, X.G.; Xiao, K. The electrochemical behaviour of 2205 duplex stainless steel in alkaline solutions with different ph in the presence of chloride. Electrochim. Acta 2012, 64, 211–220. [Google Scholar] [CrossRef]
  31. Lu, S.-Y.; Yao, K.-F.; Chen, Y.-B.; Wang, M.-H.; Ge, X.-Y. Influence of heat treatment on the microstructure and corrosion resistance of 13 wt PCT CR-type martensitic stainless steel. Metall. Mater. Trans. A 2015, 46, 6090–6102. [Google Scholar] [CrossRef]
  32. Westin, E.M.; Olsson, C.-O.A.; Hertzman, S. Weld Oxide Formation on lean duplex stainless steel. Corros. Sci. 2008, 50, 2620–2634. [Google Scholar] [CrossRef]
  33. Kokalj, A.; Lozinšek, M.; Kapun, B.; Taheri, P.; Neupane, S.; Losada-Pérez, P.; Xie, C.; Stavber, S.; Crespo, D.; Renner, F.U.; et al. Simplistic Correlations between Molecular Electronic Properties and Inhibition Efficiencies: Do They Really Exist? Corros. Sci. 2021, 179, 108856. [Google Scholar] [CrossRef]
Figure 1. The preparation of organosilane coupling agents.
Figure 1. The preparation of organosilane coupling agents.
Coatings 14 01117 g001
Figure 2. The preparation of hydrophobic nano-silica.
Figure 2. The preparation of hydrophobic nano-silica.
Coatings 14 01117 g002
Figure 3. Optical micrographs of oxide films formed at different oxidation temperatures.
Figure 3. Optical micrographs of oxide films formed at different oxidation temperatures.
Coatings 14 01117 g003
Figure 4. X-ray diffraction patterns of oxide film formed at different temperatures on 304 stainless steel.
Figure 4. X-ray diffraction patterns of oxide film formed at different temperatures on 304 stainless steel.
Coatings 14 01117 g004
Figure 5. SEM images of (a) oxide films formed at 800 °C and (b) that are sprayed with a superhydrophobic nano-silica film.
Figure 5. SEM images of (a) oxide films formed at 800 °C and (b) that are sprayed with a superhydrophobic nano-silica film.
Coatings 14 01117 g005
Figure 6. Element distribution of sample oxidized at 800 °C for 30 min and treated with the superhydrophobic nano-silica film.
Figure 6. Element distribution of sample oxidized at 800 °C for 30 min and treated with the superhydrophobic nano-silica film.
Coatings 14 01117 g006
Figure 7. Contact angle of oxide films formed at different oxidation temperatures and oxide film formed at 800 °C treated with the superhydrophobic nano-silica film.
Figure 7. Contact angle of oxide films formed at different oxidation temperatures and oxide film formed at 800 °C treated with the superhydrophobic nano-silica film.
Coatings 14 01117 g007
Figure 8. Dynamic polarization curves of oxide films in 3.5 wt% NaCl: (a) oxide film formed at different temperatures for 30 min; (b) substrate and oxide film formed at 800 °C treated with the superhydrophobic nano-silica film.
Figure 8. Dynamic polarization curves of oxide films in 3.5 wt% NaCl: (a) oxide film formed at different temperatures for 30 min; (b) substrate and oxide film formed at 800 °C treated with the superhydrophobic nano-silica film.
Coatings 14 01117 g008
Figure 9. Nyquist plots of oxide films in 3.5 wt% NaCl: (a) oxide film formed at different temperatures for 30 min; (b) substrate and oxide film formed at 800 °C treated with the superhydrophobic nano-silica film.
Figure 9. Nyquist plots of oxide films in 3.5 wt% NaCl: (a) oxide film formed at different temperatures for 30 min; (b) substrate and oxide film formed at 800 °C treated with the superhydrophobic nano-silica film.
Coatings 14 01117 g009
Figure 10. Equivalent circuits used to interpret electrochemical impedance spectra of (a) substrate and (b) oxide films formed at different temperatures for 30 min and treated with the superhydrophobic nano-silica film when exposed to 3.5 wt% NaCl solution.
Figure 10. Equivalent circuits used to interpret electrochemical impedance spectra of (a) substrate and (b) oxide films formed at different temperatures for 30 min and treated with the superhydrophobic nano-silica film when exposed to 3.5 wt% NaCl solution.
Coatings 14 01117 g010
Figure 11. Wetting phenomena of different samples when exposed to corrosive solution: (a) oxide films formed at different temperatures for 30 min and (b) oxide film treated with the superhydrophobic nano-silica film.
Figure 11. Wetting phenomena of different samples when exposed to corrosive solution: (a) oxide films formed at different temperatures for 30 min and (b) oxide film treated with the superhydrophobic nano-silica film.
Coatings 14 01117 g011
Table 1. Chemical composition of 304 stainless steel used (in wt%).
Table 1. Chemical composition of 304 stainless steel used (in wt%).
ElementSPCMoCuSiMnNiCrFe
Content0.0070.0270.0570.150.230.591.058.0918.14Bal.
Disclaimer/Publisher’s Note: The statements, opinions and data contained in all publications are solely those of the individual author(s) and contributor(s) and not of MDPI and/or the editor(s). MDPI and/or the editor(s) disclaim responsibility for any injury to people or property resulting from any ideas, methods, instructions or products referred to in the content.

Share and Cite

MDPI and ACS Style

Fan, C.; Wang, X.; Wang, W.; Meng, D.; Zhan, X.; Yin, X.; Liu, Y. Fabrication and Properties of Superhydrophobic Colored Stainless Steel Surface for Decoration and Anti-Corrosion. Coatings 2024, 14, 1117. https://doi.org/10.3390/coatings14091117

AMA Style

Fan C, Wang X, Wang W, Meng D, Zhan X, Yin X, Liu Y. Fabrication and Properties of Superhydrophobic Colored Stainless Steel Surface for Decoration and Anti-Corrosion. Coatings. 2024; 14(9):1117. https://doi.org/10.3390/coatings14091117

Chicago/Turabian Style

Fan, Changfeng, Xue Wang, Wei Wang, Dechao Meng, Xianghua Zhan, Xiaoli Yin, and Yancong Liu. 2024. "Fabrication and Properties of Superhydrophobic Colored Stainless Steel Surface for Decoration and Anti-Corrosion" Coatings 14, no. 9: 1117. https://doi.org/10.3390/coatings14091117

APA Style

Fan, C., Wang, X., Wang, W., Meng, D., Zhan, X., Yin, X., & Liu, Y. (2024). Fabrication and Properties of Superhydrophobic Colored Stainless Steel Surface for Decoration and Anti-Corrosion. Coatings, 14(9), 1117. https://doi.org/10.3390/coatings14091117

Note that from the first issue of 2016, this journal uses article numbers instead of page numbers. See further details here.

Article Metrics

Back to TopTop