The Corrosion Resistance of Tartaric-Sulfuric Acid Anodic Films on the 2024 Al Alloy Sealed Using Different Methods
Abstract
1. Introduction
2. Materials and Methods
2.1. Sample Pretreatment
2.2. Anodizing and Sealing
2.3. Morphological Observation
2.4. Corrosion Resistance Test
3. Results and Discussion
3.1. Morphology and Composition
3.2. Corrosion Resistance
4. Conclusions
- (1)
- The surface morphologies of the TSA films sealed with Ce 25 and Ce 65, hot water, and dichromate were different. The Ce content on the film sealed with Ce 65 was slightly lower compared to the film sealed with Ce 25.
- (2)
- The experimental results of the acidic spot test indicated that the corrosion resistance of the films, from strongest to weakest, was as follows: sealed by dichromate, Ce 65, hot water, and Ce 25.
- (3)
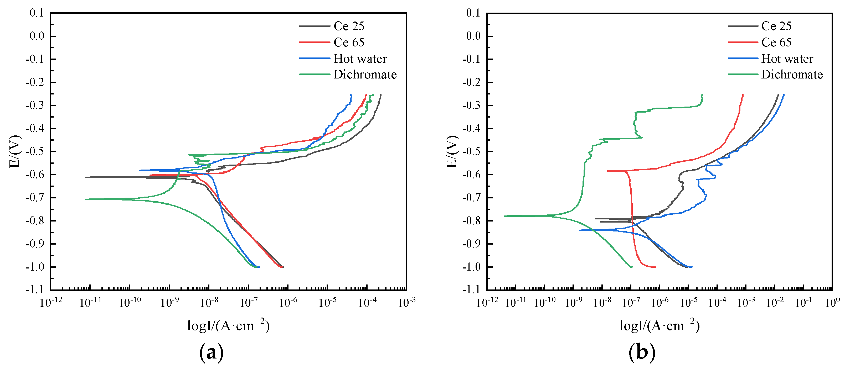
- After immersion for 366 h, the polarization resistances of the films sealed with Ce 25, Ce 65, hot water, and dichromate were 0.65 MΩ·cm2, 3.88 MΩ·cm2, 1.44 MΩ·cm2, and 29.12 MΩ·cm2, respectively. The Ecorr of the film sealed with Ce 65 was almost unchanged, and it was about 0.19 V~0.25 V greater/more positive relative to the other films. As for the Icorr, the film sealed with Ce 65 obtained a 5.03 × 10−8 A/cm2 value, which was the smallest, except for that of the film sealed with dichromate.
- (4)
- No obvious corrosion pits were observed on the surfaces of the TSA films sealed with Ce 65 and dichromate, whereas more corrosion pits appeared on the surfaces sealed with Ce 25 and hot water.
- (5)
- The TSA film sealed with Ce 65 exhibited superior corrosion resistance compared to the films sealed with hot water and Ce 25, although it was still inferior to the film sealed with dichromate. The enhanced corrosion resistance of the TSA film sealed with Ce 65 could be attributed to the combined effect of cerium oxide deposition and the hydration reaction.
Author Contributions
Funding
Institutional Review Board Statement
Informed Consent Statement
Data Availability Statement
Acknowledgments
Conflicts of Interest
References
- Tunes, M.A.; Stemper, L.; Greaves, G.; Uggowitzer, P.J.; Pogatscher, S. Prototypic Lightweight Alloy Design for Stellar-Radiation Environments. Adv. Sci. 2020, 7, 2002397. [Google Scholar] [CrossRef]
- Boag, A.; Hughes, A.E.; Wilson, N.C.; Torpy, A.; MacRae, C.M.; Glenn, A.M.; Muster, T.H. How complex is the microstructure of AA2024-T3? Corros. Sci. 2009, 51, 1565–1568. [Google Scholar] [CrossRef]
- Hughes, A.E.; Glenn, A.M.; Wilson, N.; Moffatt, A.; Morton, A.J.; Buchheit, R.G. A consistent description of intermetallic particle composition: An analysis of ten batches of AA2024-T3. Surf. Interface Anal. 2013, 45, 1558–1563. [Google Scholar] [CrossRef]
- Capelossi, V.R.; Poelman, M.; Recloux, I.; Hernandez, R.P.B.; de Melo, H.G.; Olivier, M.G. Corrosion protection of clad 2024 aluminum alloy anodized in tartaric-sulfuric acid bath and protected with hybrid sol-gel coating. Electrochim. Acta 2014, 124, 69–79. [Google Scholar] [CrossRef]
- Shao, M.; Fu, Y.; Hu, R.; Lin, C. A study on pitting corrosion of aluminum alloy 2024-T3 by scanning microreference electrode technique. Mater. Sci. Eng. 2003, 344, 323–327. [Google Scholar] [CrossRef]
- Dimitrov, N.; Mann, J.; Sieradzki, K. Copper redistribution during corrosion of aluminum alloys. J. Electrochem. Soc. 1999, 146, 98–102. [Google Scholar] [CrossRef]
- Blanc, C.; Lavelle, B.; Mankowski, G. The role of precipitates enriched with copper on the susceptibility to pitting corrosion of the 2024 aluminum alloy. Corros. Sci. 1997, 39, 495–510. [Google Scholar] [CrossRef]
- Ghosh, K.S.; Hilal, M.; Bose, S. Corrosion behavior of 2024 Al-Cu-Mg alloy of various tempers. T. Nonferr. Metal. Soc. 2013, 23, 3215–3227. [Google Scholar] [CrossRef]
- Zhang, W.; Frankel, G.S. Transitions between pitting and intergranular corrosion in AA2024. Electrochim. Acta 2003, 48, 1193–1210. [Google Scholar] [CrossRef]
- Zhou, X.; Luo, C.; Hashimoto, T.; Hughes, A.E.; Thompson, G.E. Study of localized corrosion in AA2024 aluminum alloy using electron tomography. Corros. Sci. 2012, 58, 299–306. [Google Scholar] [CrossRef]
- Queiroz, F.M.; Terada, M.; Bugarin, A.F.S.; de Melo, H.G.; Costa, I. Comparison of Corrosion Resistance of the AA2524-T3 and the AA2024-T3. Metals 2021, 11, 980. [Google Scholar] [CrossRef]
- Kwolek, P. Corrosion behaviour of 7075 aluminum alloy in acidic solution. Rsc. Adv. 2020, 10, 26078–26089. [Google Scholar] [CrossRef] [PubMed]
- Prada Ramirez, O.M.; Tunes, M.A.; Mennucci, M.M.; Starykevich, M.; Neves, C.; Ferreira, M.G.S.; Pogatscher, S.; De Melo, H.G. Ce post-treatment for increased corrosion resistance of AA2024-T3 anodized in tartaric-sulfuric acid. Corros. Sci. 2022, 204, 110371. [Google Scholar] [CrossRef]
- Wang, Y.M.; Kuo, H.H.; Kia, S. Effects of alloy types on the gloss of anodized aluminum. Plat. Surf. Finish. 2004, 91, 34–38. [Google Scholar]
- Cai, J.P.; Li, B.; Liu, M.H.; Xiong, J.J.; Zheng, L. Effect of anodizing on fatigue performance of aeronautic aluminum alloys. J. Aeronaut. Mater. 2007, 27, 25–28. [Google Scholar]
- Fan, L.N.; Zhang, X.L.; Ding, Y.; Li, K.Q. Study on anticorrosive tartaric-sulfuric acid anodization for aluminum alloy. Electroplat. Finish. 2022, 41, 217–221. [Google Scholar]
- Dattilo, A.; Tamiro, S.; Romano, C. Anodizing Process, with Low Environmental Impact, for a Woodpiece of Aluminum or Aluminum Alloys. U.S. Patent 2002/0157961 A1, 31 October 2002. [Google Scholar]
- Curioni, M.; Skeldon, P.; Koroleva, E.; Thompson, G.; Ferguson, J. Role of tartaric acid on the anodizing and corrosion behavior of AA 2024 T3 aluminum alloy. J. Electrochem. Soc. 2009, 156, C147–C153. [Google Scholar] [CrossRef]
- Boisier, G.; Pébère, N.; Druez, C.; Villatte, M.; Suel, S. FESEM and EIS study of sealed AA2024 T3 anodized in sulfuric acid electrolytes: Influence of tartaric acid. J. Electrochem. Soc. 2008, 155, C521. [Google Scholar] [CrossRef]
- García-Rubio, M.; de Lara, M.P.; Ocón, P.; Diekhoff, S.; Beneke, M.; Lavía, A.; García, I. Effect of postreatment on the corrosion behaviour of tartaric-sulfuric anodic films. Electrochim. Acta 2009, 54, 4789–4800. [Google Scholar] [CrossRef]
- Hao, L.; Cheng, B.R. Sealing processes of anodic coatings-Past, present, and future. Met. Finish. 2000, 98, 8–18. [Google Scholar] [CrossRef]
- Bartolomé, M.J.; López, V.; Escudero, E.; Caruana, G.; González, J.A. Changes in the specific surface area of porous aluminum oxide films during sealing. Surf. Coat. Technol. 2006, 200, 4530–4537. [Google Scholar] [CrossRef]
- Usman, B.J.; Scenini, F.; Curioni, M. The effect of exposure conditions on performance evaluation of post-treated anodic oxides on an aerospace aluminum alloy: Comparison between salt spray and immersion testing. Surf. Coat. Technol. 2020, 399, 126157. [Google Scholar] [CrossRef]
- Wefers, K. The Mechanism of Sealing of Anodic Oxide Coatings on Aluminum. Pt. 1. Aluminum 1973, 49, 553–561. [Google Scholar]
- Wefers, K. The Mechanism of Sealing of Anodic Oxide Coatings on Aluminum(II). Aluminum 1973, 49, 622–625. [Google Scholar]
- Pinheiro, J.S.; Cardoso, H.R.P.; Pereira, K.R.; Radtke, C.; Kunst, S.; Oliveira, C.T.; Zoppas Ferreira, J. Chromium/nickel-free conversion coating as cold post-treatment to anodized AA2024-T3 for corrosion resistance increase. Surf. Coat. Technol. 2024, 480, 130566. [Google Scholar] [CrossRef]
- Wang, Q.; Li, H. Study on anodic oxidation of 2099 aluminum lithium alloy and sealing treatment in environmental friendly solutions. Int. J. Electrochem. Sci. 2023, 18, 100186. [Google Scholar] [CrossRef]
- Fang, X.; Zeng, Y.; Mu, S.; Du, J.; Guo, J.; Li, W.; Fan, Y. Study on the effect of acetate ions on the sealing treatment for anodic oxide film of 6063 aluminum alloy. Surf. Coat. Technol. 2023, 472, 129961. [Google Scholar] [CrossRef]
- Zou, M.; Ma, Y.; Zhu, Q.; Yan, J.; Jiang, Y.; Wang, Z.; Wu, H.; Wu, L. Lithium salt post-treatment of anodized 7075-T6 alloy for enhancing corrosion resistance in neutral and acidified NaCl environment. Mater. Chem. Phys. 2024, 315, 128975. [Google Scholar] [CrossRef]
- Yasakau, K.A.; Zheludkevich, M.L.; Lamaka, S.V.; Ferreira, M.G. Mechanism of corrosion inhibition of AA2024 by rare-earth compounds. J. Phys. Chem. B 2006, 110, 5515–5528. [Google Scholar] [CrossRef]
- Tian, L.P.; Zhao, X.H.; Zhao, J.M.; Zhang, X.F.; Zuo, Y. Electrochemical behaviors of anodic alumina sealed by Ce-Mo in NaCl solutions. T. Nonferr. Metal. Soc. 2006, 16, 1178–1183. [Google Scholar] [CrossRef]
- Dabalà, M.; Armelao, L.; Buchberger, A.; Calliari, I. Cerium-based conversion layers on aluminum alloys. Appl. Surf. Sci. 2001, 172, 312–322. [Google Scholar] [CrossRef]
- Palomino, L.E.M.; Castro, J.F.W.d.; Aoki, I.V.; Melo, H.G.d. Microstructural and electrochemical characterization of environmentally friendly conversion layers on aluminum alloys. J. Brazil. Chem. Soc. 2003, 14, 651–659. [Google Scholar] [CrossRef]
- Campestrini, P.; Terryn, H.; Hovestad, A.; De Wit, J.H.W. Formation of a cerium-based conversion coating on AA2024: Relationship with the microstructure. Surf. Coat. Technol. 2004, 176, 365–381. [Google Scholar] [CrossRef]
- Lau, D.; Glenn, A.M.; Hughes, A.E.; Scholes, F.H.; Muster, T.H.; Hardin, S.G. Factors influencing the deposition of Ce-based conversion coatings, Part II: The role of localised reactions. Surf. Coat. Technol. 2009, 203, 2937–2945. [Google Scholar] [CrossRef]
- Hughes, A.E.; Scholes, F.H.; Glenn, A.M.; Lau, D.; Muster, T.H.; Hardin, S.G. Factors influencing the deposition of Ce-based conversion coatings, part I: The role of Al3+ ions. Surf. Coat. Technol. 2009, 203, 2927–2936. [Google Scholar] [CrossRef]
- Prada Ramirez, O.M.; Queiroz, F.M.; Tunes, M.A.; Antunes, R.A.; Rodrigues, C.L.; Lanzutti, A.; Pogatscher, S.; Olivier, M.-G.; De Melo, H.G. Tartaric-sulfuric acid anodized clad AA2024-T3 post-treated in Ce-containing solutions at different temperatures: Corrosion behaviour and Ce ions distribution. Appl. Surf. Sci. 2020, 534, 147634. [Google Scholar] [CrossRef]
- Gordovskaya, I.V.; Hashimoto, T.; Walton, J.; Curioni, M.; Thompson, G.E.; Skeldon, P. Development of Cerium-Rich Layers on Anodic Films Formed on Pure aluminum and AA7075 T6 Alloy. J. Electrochem. Soc. 2014, 161, C601–C606. [Google Scholar] [CrossRef]
- Saeedikhani, M.; Javidi, M.; Vafakhah, S. Anodising of 2024-T3 aluminum alloy in electrolyte of sulfuric-boric-phosphoric mixed acid containing cerium salt as corrosion inhibitor. T. Nonferr. Metal. Soc. 2017, 27, 711–721. [Google Scholar] [CrossRef]
- Carangelo, A.; Curioni, M.; Acquesta, A.; Monetta, T.; Bellucci, F. Cerium-Based Sealing of Anodic Films on AA2024T3: Effect of Pore Morphology on Anticorrosion Performance. J. Electrochem. Soc. 2016, 163, C907–C916. [Google Scholar] [CrossRef]
- Terada, M.; Queiroz, F.M.; Aguiar, D.B.S.; Ayusso, V.H.; Costenaro, H.; Olivier, M.G.; de Melo, H.G.; Costa, I. Corrosion resistance of tartaric-sulfuric acid anodized AA2024-T3 sealed with Ce and protected with hybrid sol–gel coating. Surf. Coat. Technol. 2019, 372, 422–426. [Google Scholar] [CrossRef]
- Prada Ramirez, O.M.; Queiroz, F.M.; Terada, M.; Donatus, U.; Costa, I.; Olivier, M.G.; De Melo, H.G. EIS investigation of a Ce-based posttreatment step on the corrosion behaviour of Alclad AA2024 anodized in TSA. Surf. Interface Anal. 2019, 51, 1260–1275. [Google Scholar] [CrossRef]
- Yu, X.; Cao, C. Electrochemical study of the corrosion behavior of Ce sealing of anodized 2024 aluminum alloy. Thin. Solid. Films. 2003, 423, 252–256. [Google Scholar] [CrossRef]
- Zhu, Z.F. Technology of Anodic Oxidation and Surface Treatment on Aluminum Alloys, 3rd ed.; Chemical Industry Press: Beijing, China, 2021; pp. 121–122. [Google Scholar]
- Tan, H.; He, C.; Yang, J.; Sunyu, H.; Ling, Y.; Zhang, J.; Song, G. Preparation and Properties of (Cu, Ni) Co-Doped ZnO Nanoparticle-Reinforced Cu-Ni Nanocomposite Coatings. Materials 2023, 16, 2746. [Google Scholar] [CrossRef] [PubMed]
- Yu, X.; Yan, C.; Cao, C. Study on the rare earth sealing procedure of the porous film of anodized Al6061/SiCp. Mater. Chem. Phys. 2002, 76, 228–235. [Google Scholar] [CrossRef]
- Scholes, F.H.; Soste, C.; Hughes, A.E.; Hardin, S.G.; Curtis, P.R. The role of hydrogen peroxide in the deposition of cerium-based conversion coatings. Appl. Surf. Sci. 2006, 253, 1770–1780. [Google Scholar] [CrossRef]
- Yu, P.; Hayes, S.; O’Keefe, T.; O’Keefe, M.; Stoffer, J. The phase stability of Cerium species in aqueous systems: II. The Ce (III IV)-H2 OH2 O2 O2 systems. Equilibrium considerations and Pourbaix diagram calculations. J. Electrochem. Soc. 2006, 153, C74–C79. [Google Scholar] [CrossRef]
- Selegård, L.; Poot, T.; Eriksson, P.; Palisaitis, J.; Persson, P.O.Å.; Hu, Z.; Uvdal, K. In-situ growth of cerium nanoparticles for chrome-free, corrosion resistant anodic coatings. Surf. Coat. Technol. 2021, 410, 126958. [Google Scholar] [CrossRef]
- Wang, S.X.; Zhao, Q.; Du, N.; Shao, Z.S.; Shu, W.F.; Chen, Q.L. Sealing effect of cerium salt on boric-sulfuric acid anodic film of aluminum alloy. Chin. J. Nonferrous. Met. 2012, 22, 1132–1141. [Google Scholar]











| Element | Fe | Si | Mn | Ni | Cu | Ti | Zn | Mg | Al |
|---|---|---|---|---|---|---|---|---|---|
| Content (wt.%) | 0.45 | 0.50 | 0.70 | 0.09 | 4.70 | 0.13 | 0.25 | 1.75 | Bal. |
| Sealing Methods | Solution Composition | Time (min) | Temperature (°C) | pH |
|---|---|---|---|---|
| Ce 25 | 40 g/L Ce(NO3)3·6H2O + 3 g/L H2O2 (30%) | 120 | 25 ± 1 | 4~5 |
| Ce 65 | 40 g/L Ce(NO3)3·6H2O + 3 g/L H2O2 (30%) | 120 | 65 ± 1 | 4~5 |
| Hot water | Deionized water | 40 | 99 ± 1 | 6.5~7.5 |
| Dichromate | 50 g/L K2Cr2O7 | 15 | 93 ± 1 | 5~6 |
| Sealing Methods | Ce 25 | Ce 65 | Hot Water | Dichromate | Unsealed |
|---|---|---|---|---|---|
| Time (min) | 21.02 | 35.38 | 30.51 | 39.49 | 12.31 |
| Sealing Methods | Rp (MΩ·cm2) | CPEp | Rb (MΩ·cm2) | CPEb | ||
|---|---|---|---|---|---|---|
| Y (μS·sn·cm−2) | n | Y (μS·sn·cm−2) | n | |||
| Ce 25 | 0.450 | 1.76 | 0.961 | 3.85 | 3.50 | 0.941 |
| Ce 65 | 1.71 | 1.71 | 0.942 | 5.50 | 2.87 | 0.969 |
| Hot water | 0.0314 | 0.115 | 0.823 | 10.1 | 0.943 | 0.916 |
| Dichromate | 7.40 | 0.809 | 0.974 | 23.5 | 0.0628 | 0.998 |
| Unsealed | 0.402 | 1.42 | 0.915 | 1.11 | 10.5 | 0.902 |
| Sealing Methods | Ce 25 | Ce 65 | Hot Water | Dichromate | |
|---|---|---|---|---|---|
| Ecorr (V) | 1 h | −0.603 | −0.601 | −0.581 | −0.705 |
| 336 h | −0.802 | −0.593 | −0.840 | −0.784 | |
| Icorr (A/cm2) | 1 h | 4.25 × 10−9 | 4.06 × 10−9 | 3.51 × 10−9 | 5.16 × 10−10 |
| 336 h | 1.14 × 10−7 | 5.03 × 10−8 | 5.27 × 10−8 | 6.17 × 10−10 | |
| Epit (V) | 1 h | −0.581 | −0.527 | −0.519 | −0.513 |
| 336 h | −0.781 | −0.576 | −0.775 | −0.446 | |
Disclaimer/Publisher’s Note: The statements, opinions and data contained in all publications are solely those of the individual author(s) and contributor(s) and not of MDPI and/or the editor(s). MDPI and/or the editor(s) disclaim responsibility for any injury to people or property resulting from any ideas, methods, instructions or products referred to in the content. |
© 2024 by the authors. Licensee MDPI, Basel, Switzerland. This article is an open access article distributed under the terms and conditions of the Creative Commons Attribution (CC BY) license (https://creativecommons.org/licenses/by/4.0/).
Share and Cite
Wang, C.; Sun, S.; Ling, Y.; Tan, H.; He, C. The Corrosion Resistance of Tartaric-Sulfuric Acid Anodic Films on the 2024 Al Alloy Sealed Using Different Methods. Coatings 2024, 14, 733. https://doi.org/10.3390/coatings14060733
Wang C, Sun S, Ling Y, Tan H, He C. The Corrosion Resistance of Tartaric-Sulfuric Acid Anodic Films on the 2024 Al Alloy Sealed Using Different Methods. Coatings. 2024; 14(6):733. https://doi.org/10.3390/coatings14060733
Chicago/Turabian StyleWang, Chao, Shineng Sun, Yunhe Ling, Haifeng Tan, and Chunlin He. 2024. "The Corrosion Resistance of Tartaric-Sulfuric Acid Anodic Films on the 2024 Al Alloy Sealed Using Different Methods" Coatings 14, no. 6: 733. https://doi.org/10.3390/coatings14060733
APA StyleWang, C., Sun, S., Ling, Y., Tan, H., & He, C. (2024). The Corrosion Resistance of Tartaric-Sulfuric Acid Anodic Films on the 2024 Al Alloy Sealed Using Different Methods. Coatings, 14(6), 733. https://doi.org/10.3390/coatings14060733

