Next Article in Journal
Buckling Resistance and Its Effect on the Gas Barrier of Composite Coating Layers Based on Polyvinyl Alcohol and Montmorillonite
Previous Article in Journal
Exploring the Impact of Surface Thermal Treatments on WC-Co Blocks Subjected to Linear Scratching: A Molecular Dynamics Simulation Study
 
 
Font Type:
Arial Georgia Verdana
Font Size:
Aa Aa Aa
Line Spacing:
Column Width:
Background:
Article

The Study on the Freeze–Thaw Deterioration of Soil Sites Modified with the ZDS-2 Organosilicon Reinforcement Agent

1
School of Water Conservancy and Transportation, Zhengzhou University, Zhengzhou 450001, China
2
Center for the Conservation and Research of Historical and Cultural Heritage, Zhengzhou University, Zhengzhou 450001, China
3
Henan Provincial Institute of Cultural Heritage and Archaeology, Zhengzhou 450000, China
*
Author to whom correspondence should be addressed.
Coatings 2024, 14(12), 1577; https://doi.org/10.3390/coatings14121577
Submission received: 25 October 2024 / Revised: 9 December 2024 / Accepted: 11 December 2024 / Published: 17 December 2024

Abstract

Due to the large temperature fluctuations between day and night during the transition from winter to spring, soil sites in seasonally frozen soil areas go through repeated freeze–thaw cycles. During these cycles, the water in the soil undergoes phase transformation and migration, which changes the physical and mechanical properties of the soil and directly affects the stability and durability of the soil site. In order to explore the feasibility of using the ZDS-2 organosilicon reinforcement agent for the anti-freeze-and-thaw protection of soil sites, Qingtai site soil and the ZDS-2 organosilicon reinforcement agent were used as raw materials. The optimal ratio of modified soil samples with different freeze–thaw cycles was obtained by laboratory tests. The strengthening mechanism of the ZDS-2 organosilicon reinforcement agent under freeze–thaw cycles was revealed by a microscopic test. The test results showed that the ZDS-2 organosilicon reinforcement agent can inhibit the volume expansion of soil samples caused by the freeze–thaw cycle. After nine freeze–thaw cycles, the shear strength of the soil samples, to which 15% ZDS-2 organosilicon reinforcement agent was added, increased by 53.4% on average compared with plain soil. The highly cross-linked organic–inorganic hybrid network structure formed between the siloxane group in the ZDS-2 organosilicon reinforcement agent and the soil particles can fill the pores and form a protective layer. The experimental results provided a basis and reference for the research of freeze–thaw-resistant materials for soil sites in seasonally frozen soil areas.

1. Introduction

As non-renewable cultural heritage, soil sites are invaluable treasures constructed through the collective efforts of ancient peoples. They serve as enduring symbols of a rich history and vibrant culture while also representing tangible manifestations of ancient civilizations [1]. Soil site damage from freezing and thawing is a common and widespread phenomenon in regions with seasonal freezing. Under a freeze–thaw environment, the soil undergoes phase transformation, the soil strength decreases, and the soil microstructure changes, which causes soil sites to suffer from weathering, cracks, denaturation, shortening, microbial breeding, and other diseases, which is not conducive to the protection of and follow-up research on soil sites. Figure 1 shows a disease map of the Qingtai Site discussed in this study.
The physical and mechanical properties of soil in seasonally frozen areas are influenced not only by the mineral composition, particle composition, water content, and dry density of the soil but also by external temperature, freezing time, and water migration [2]. To date, many scholars have conducted studies on the freeze–thaw resistance of soil sites. In the process of a freeze–thaw cycle, the stress–strain curve of unmodified soil in Champlain Sea clay has an obvious peak value, and after several freeze–thaw cycles, the peak value becomes less obvious [3]. Consolidation settlement increased by approximately 23% after 30 freeze–thaw cycles [4]. Cohesion is an index of the change in the shear strength of expansive soil and kaolin under freeze–thaw cycles [5]. The pore volume between soil particles and the total pore volume of soil samples increased with increasing freeze–thaw cycle time and freeze–thaw cycle temperature [6]. The structure and pore distribution of reconstructed soil samples was significantly affected by the first freeze–thaw cycle [7]. The durability of original soil samples demonstrated a general decline with an increase in the number of freeze–thaw cycles. In contrast, remodeled soil samples exhibited a pattern of initial increase, followed by a gradual decrease in durability [8]. The process of water recharge from snowmelt and rainfall resulted in an increase in the thickness of the bound water film, a reduction in the cohesive strength between soil particles, and a decline in both the velocity of elastic waves and the unconfined compressive strength of samples [9].
As for the materials used for the protection of soil sites during freeze–thaw cycles, in one soil site reinforced by the polymer material SH, the migration of water to the upper part of the soil during the freeze–thaw cycle was inhibited [10,11]. It is evident that the freezing resistance of the soil at another site was enhanced following the precipitation of calcium carbonate through drip infiltration, which was induced by urease [12]. The volume expansion of cement-, steel slag powder-, and NaOH-modified soil was found to decrease under freeze–thaw cycling conditions [13]. Lignocellulose can also inhibit soil damage caused by the freeze–thaw cycle [14]. The freeze–thaw resistance of lime–metakaolin (L-MK) for soil site restoration is superior to that of natural hydraulic lime (NHD) [15].
The organosilicon materials employed in the restoration of soil sites include sodium methylsilicate, ethyl orthosilicate, polyalkylsiloxane, and methyl triethoxysilane [16]. Ethyl orthosilicate is a widely utilized agent for the protection of soil sites, with applications in Iraq, Peru, and Mexico [17]. The application of TEOS was demonstrated to enhance the shear strength and wind erosion resistance of remolded soil samples [18]. PMHS-modified TEOS solidifies by forming Si-O-Si bonds or aggregates with soil particles by forming Si-O-Al bonds. This process increases the strength of the soil after hydrolysis [19]. After the addition of sodium methylsilicate, the soil surface is hydrophobic, forming a uniform waterproof film, changing the contact of soil particles, and strengthening their connection [20]. The site soil modified with 0.5% sodium methylsilicate and 2% lignin fiber has good waterproof and mechanical properties [21].
The aforementioned scholars focused more on the deterioration mechanism of soil sites under freeze–thaw cycle conditions and the reinforcement and protection materials. However, relatively little attention has been given to the reinforcement materials of soil sites in the special area of seasonal frozen soil. Silicone material has a good reinforcing and waterproofing effect, which is more mature at present, and is a universal reinforcing material of soil and stone cultural relics all over the world. However, the reaction rate of traditional organosilicon materials is too fast, and the resulting product tends to crack the soil site and compromise reinforcement performance. Therefore, monomers with different functional groups at the end of organosilicon were synthesized and screened through modification and combination research. Through monomer penetration, in situ polymerization, and the introduction of flexible chains, the permeability and freeze–thaw resistance of organosilicon materials in soil reinforcement were improved. In view of the disease of the soil site in the seasonal frozen soil area, combined with the regional meteorological and geological environment, the soil site was reinforced and protected by the ZDS-2 organosilicon reinforcement agent developed by us, and its modification mechanism under the action of freeze–thaw cycle was discussed to provide a certain basis and reference for the freeze–thaw protection of the soil site.

2. Materials and Methods

2.1. Materials

2.1.1. Site Soil

The soil used in the test was taken from the waste soil that had been cleared at the Qingtai Site in Xingyang city, Henan province. The chemical composition of the site soil was determined by X-ray fluorescence (XRF) [22,23,24]. The results of the test are presented in Table 1. The main chemical composition of the site soil is mainly SiO2 and Al2O3 and contains a small amount of Fe2O3, MgO, K2O, CaO, and Na2O. The content of anions in soil is shown in Table 2. The concentrations of sulfate, chloride, and nitrate in the soil at the site are typically elevated, indicating the presence of significant amounts of soluble salts. The fundamental physical characteristics of the site soil, as defined by the “Standard for Geotechnical Test Methods” (GB/T50123-2019) [25], are provided in Table 3.

2.1.2. Reinforcement Materials

The formulation of the ZDS-2 organosilicon reinforcement agent used in this study is a combination system of γ–aminopropyl triethoxysilane (ATS), γ–glycidyl ether propyl trimethoxysilane (GPTMS), ethyl orthosilicate (TEOS), and hydroxysilicone oil (PDMS–OH), as shown in Table 4. The ZDS-2 organosilicon reinforcement agent not only ensures high reinforcement strength but also exhibits hydrophobic and flexible properties, making it suitable for the protection of soil cultural relics.

2.1.3. Sample Preparation

Before being used, the soil was sieved through a 2 mm mesh and then dried in the sun in compliance with the “Standard for Geotechnical Test Methods” (GB/T50123-2019) [25]. The soil was prepared with the optimal moisture content and maximum dry unit weight in accordance with the standard. The 61.8 mm × 20 mm round cake standard ring cutter samples were made by the pressing sample method. The water content was maintained at 15.1%, and the dry density was set at 1.68 g/cm3. The prepared samples were sealed with plastic wrap and stored in a constant temperature and humidity box for 30 days, as displayed in Figure 2.
The ZDS-2 organosilicon reinforcing agent was added to the hardened soil sample. The reinforcement method included slowly permeating the quantitative ZDS-2 organosilicon reinforcement agent drop by drop from the top. After penetration was completed, the soil samples were sealed with plastic wrap and cured for 30 days to prevent excessive volatilization of the material so that the soil samples could fully react with the reinforcement agent to achieve the purpose of reinforcement. The amount of the ZDS-2 organosilicon reinforcement agent added was calculated according to the volume ratio (material volume/soil sample volume). Based on the preliminary test, the material addition amount was set to 6 groups, which were 0%, 9%, 12%, 15%, 18%, and 21%, respectively.

2.2. Methods

2.2.1. Freeze–Thaw Cycle Test Method

Through the China Weather Network, the meteorological data for December, January, and February in the Xingyang area over the past ten years are consulted in detail. The highest temperature recorded in the area was 28 °C, while the lowest temperature was −12 °C. In order to simulate authentic environmental conditions, the freezing point was set at −12 °C and the melting point at 28 °C in the indoor test, and the freezing process of the soil during the cold night was simulated for 12 h, and the melting process of the soil during the day was simulated for 12 h. The 24 h was a freeze–thaw cycle. The findings indicated that 8 ~ 12 cycles is sufficient to meet the objective of investigating the impact of freeze–thaw on the strength of fine-grained soil [26]. In this test, a high and low temperature alternating moist heat test chamber was used, and 5 soil samples were prepared in each group and subjected to 0, 1, 3, 6, and 9 freeze–thaw cycles. The sample numbers are given in Table 5.

2.2.2. Frost Heaving Volume and Frost Heaving Rate Tests

The fundamental characteristics of soil samples undergoing volume change as a result of a freeze–thaw cycle are the frost heaving volume and frost heaving rate [27]. In order to guarantee the precision and dependability of frost heave data measurement, the digital display vernier caliper was chosen as the measuring instrument for this test, with an accuracy of 0.01 mm. Soil samples G0D9, G1D9, G2D9, G3D9, G4D9, and G5D9 were selected for frost heaving volume and frost heaving rate tests. Due to the errors in the production of the sample and the influence of the test environment, the height of the sample after maintenance cannot be exactly 20 mm. The initial height of the soil samples was measured prior to the commencement of the freeze–thaw process. Thereafter, the height of the soil samples was measured at 1, 3, 6, and 9 freeze–thaw cycles, respectively. The frost heaving volume and frost heaving rate are then calculated in accordance with Equations (1) and (2).
(1)
Frost heaving volume.
The frost heaving volume refers to the vertical displacement of soil during freezing and thawing, which is a key index in the study of soil frost heaving [28]. The formula for calculating frost heaving volume is expressed as follows:
Δ h = h h 0
where:
  • Δh—frost heaving volume (mm);
  • h0—sample height before freeze–thaw test (mm);
  • h—sample height after freeze–thaw test (mm).
(2)
Frost heaving rate.
The frost heaving rate is an essential indicator of the frost heaving capacity of soil, which, in turn, reflects the deformation capacity of soil during the freeze–thaw cycle. The formula for calculating frost heaving rate is expressed as follows:
η = Δ h h o × 100 %
where:
  • η—frost heaving rate (%);
  • Δ h —frost heaving volume (mm).

2.2.3. Direct Shear Test

The direct shear test provides an indication of the mechanical properties of the soil as expressed by its shear strength [29,30]. The test was performed using the ZJ-strain-controlled direct shear instrument, Nanjing, China. A shear rate of 4 r/min was used for the direct shear test under vertical pressures of 100 kPa, 200 kPa, 300 kPa, and 400 kPa. The direct shear test was performed on soil samples with 0%, 9%, 12%, 15%, 18%, and 21% ZDS-2 organosilicon reinforcement after 0, 1, 3, 6, and 9 freeze–thaw cycles, respectively. The readings were observed at 20s intervals, and the shear displacement was calculated in accordance with the speed of the turntable. The shear strength was calculated from the reading. In accordance with the test results, the cohesive force and angle of internal friction of the soil samples were determined using the Moore–Coulomb principle. The test procedure is shown in Figure 3.

2.2.4. Scanning Electron Microscope (SEM) Test

The connection of soil particles and the size and shape of pores can be studied microscopically by scanning electron microscopy [31,32]. The SEM test conditions are high vacuum, accelerating voltage of 25 kV, and working distance of 10 mm. In this test, plain soil samples G0D0 and G0D9 before and after freeze–thaw cycles and soil samples G3D0 and G3D9 with 15% ZDS-2 organosilicon reinforcement agent were selected. The soil samples were cut with a scalpel to obtain a smaller observation sample. The soil particles on the observation surface were blown off using an ear wash ball. The prepared samples were fixed on the conductive adhesive, and the surface was sprayed with gold. The gold-sprayed soil samples were placed in the scanning electron microscope sample chamber, and the lens and focal length were adjusted to find the typical areas of the sample that were clear and could reflect the soil structure characteristics under the lens of 200×, 500×, 1000×, and 2000× magnification.

2.2.5. Energy Dispersive Analysis (EDS) Test

The EDS test is used with scanning electron microscopy, using the same samples as SEM, thus obviating the necessity for additional samples. The instrument is capable of capturing and analyzing specific areas of the material in question and deducing the elemental composition and content of the sample through the examination of each wave crest within the energy spectrum [33,34].

2.2.6. X-Ray Diffraction Analysis (XRD) Test

The XRD test can effectively judge the composition of soil samples before and after adding the ZDS-2 organosilicon reinforcement agent [33,35,36]. The test instrument was the X-ray diffractometer of type D8 manufactured in Germany, and the scanning angle ranged from 10° to 70°. The soil samples G0D0 before freeze–thaw cycles and G3D0 and G3D9 before and after freeze–thaw cycles were added with 15% ZDS-2 organosilicon reinforcement agent.

3. Test Results and Analysis

3.1. Frost Heaving Volume and Frost Heaving Rate Test Results and Analysis

3.1.1. Frost Heaving Volume

The freeze-heaving volume of the samples was calculated after the freeze–thaw cycles in accordance with Formula (1). Figure 4 presents a graphical representation of the correlation between the freeze heaving volume and the freeze–thaw times. After a freeze–thaw cycle, the configuration of soil particles and the distribution of pores undergo a degree of alteration, leading to the restructuring of the soil structure and a reduction in soil sample volume [37]. Subsequently, the water in the soil freezes and forms ice, thereby causing a volume expansion of the soil sample. As the freeze–thaw times increase, the soil samples continue to expand until they reach a peak value, after which the soil samples show minimal variation with increasing freeze–thaw cycles. With the addition of 9% ZDS-2 organosilicon reinforcement G1D9, some soil samples were not reinforced due to the low amount added, and the change in frost heaving volume between the reinforced surface and the plain surface resulted in significant changes in the volume of the soil samples, with the frost heaving volume of the soil samples exceeding that of the unreinforced soil. The soil samples G2D9, G3D9, G4D9, and G5D9, which had been reinforced with 12%, 15%, 18%, and 21% ZDS-2 organosilicon reinforcement agent, respectively, reached their maximum frost heaving volume after six freeze–thaw cycles. Furthermore, the frost heaving volume of the soil samples was significantly lower than that of the plain soil. After nine freeze–thaw cycles, the addition of the ZDS-2 organosilicon reinforcement agent to soil samples inhibited, to some extent, the expansion of soil volume caused by the freezing of water in soil samples, this effect was observed to the extent that the freeze–thaw cycle no longer resulted in an increase in freeze–thaw volume. The results demonstrated that the ZDS-2 organosilicon reinforcement agent retains satisfactory freeze–thaw resistance after several freeze–thaw cycles.

3.1.2. Frost Heaving Rate

According to Equation (2), the frost heaving rate of the soil samples upon the completion of the freeze–thaw cycle was calculated. Thereafter, the relationship between the frost heaving rate and the freeze–thaw times was plotted, as depicted in Figure 5. After nine freeze–thaw cycles, the frost heaving rate of soil sample G0D9 without adding ZDS-2 organosilicon reinforcement agent is 1.19%. When the soil samples G2D9 and G3D9 were added with 15% and 18% ZDS-2 organosilicon reinforcement agent, the frost heaving rate slowly decreased to 0.83% and 0.61%, and the frost heaving rate decreased by 0.46% on average compared with the plain soil. The ZDS-2 organosilicon reinforcement agent can effectively inhibit the volume expansion of soil caused by the freeze–thaw cycle and improve the frost heaving property of soil. Although the addition of the ZDS-2 organosilicon reinforcement agent will still cause volume growth due to the freezing and melting of liquid water, the ZDS-2 organosilicon reinforcement agent is capable of filling the interstitial spaces between soil particles through penetration [19], the reinforcement molecules then react with the surface of the soil particles, forming a protective layer on the soil particle surface. The protective soil particles no longer expand and contract due to the change of temperature, which makes the soil sample show better freeze–thaw resistance.

3.2. Direct Shear Test Results and Analysis

3.2.1. Shear Strength

The shear strength changes in the ZDS-2 organosilicon reinforcement agent-modified site soil under different vertical pressures after different freeze–thaw cycles were determined by direct shear testing, and the results are presented in Figure 6. The shear strength of the soil samples is observed to increase with the application of vertical pressure and, conversely, to decrease with the occurrence of freeze–thaw cycles. After nine freeze–thaw cycles, the shear strength of the soil samples was found to be lower than that observed prior to the application of the freeze–thaw cycles. Conversely, the shear strength of the modified soil samples was observed to be higher than that of the plain soil samples. Under vertical pressure of 100 kPa, the soil samples with 15% and 18% ZDS-2 organosilicon reinforcement decreased by 15.9% and 12.3%, respectively, compared with those before freeze–thaw cycles, and increased by 81.5% and 84.1% compared with the plain soil samples. Under the vertical pressure of 200 kPa, after nine freeze–thaw cycles, the soil samples with 15% and 18% ZDS-2 organosilicon reinforcement increased by 47.9% and 30.8% compared with plain soil samples. Under the vertical pressure of 300 kPa, the shear strengths of the soil samples after nine freeze–thaw cycles with 15% and 18% ZDS-2 organosilicon reinforcement agents were reduced by 14.3% and 14.1%, respectively, compared with that before freeze–thaw cycles. Under the vertical pressure of 400 kPa, after nine freeze–thaw cycles, the soil samples with 15% and 18% ZDS-2 organosilicon reinforcement decreased by 11.3% and 14.1%, respectively, compared with those before the freeze–thaw cycles. Compared with plain soil samples, the increases were 39.8% and 34.5%.
In conclusion, it can be stated that the shear strength of soil samples will decrease to varying degrees in response to different vertical pressures, with the increase in freeze–thaw times. Adding the ZDS-2 organosilicon reinforcement agent can obviously improve the shear strength of the soil samples under freeze–thaw cycles, and the shear strength increases most obviously when the added amount is 15%. The shear strength of the soil samples is enhanced when the added amount is less than 15%. Conversely, when the added amount exceeds 15%, the shear strength of the soil samples is slightly diminished in comparison to the strength observed when the added amount is 15%.

3.2.2. Cohesion Forces and Angle of Internal Friction

The shear strengths of plain and modified soil samples were evaluated before and after freeze–thaw cycles, and the fitting curve was constructed. The curves of cohesion forces and the angle of internal friction with the ZDS-2 organosilicon reinforcement agent were subsequently plotted, as illustrated in Figure 7. Following the freeze–thaw cycles, the cohesion forces were observed to be lower than those recorded before the cycle and significantly higher than those observed in plain soil samples. After nine freeze–thaw cycles, the soil samples with 15% and 18% ZDS-2 organosilicon reinforcement decreased by 31.5% and 26.0%, respectively, which was 3.2 times and 3.4 times that of plain soil samples. After the freeze–thaw cycle, the angle of internal friction was also reduced compared with before the freeze–thaw cycles. The angle of internal friction was reduced by 1.6° when 15% ZDS-2 organosilicon reinforcement agent was added in comparison to the value observed before the freeze–thaw cycle. This represents a decrease of 4.9%. When adding 15%, the angle of internal friction increases by 18% compared with that of the normal soil.
In conclusion, the results demonstrated that following the freeze–thaw cycle, the shear strength, cohesion forces, and internal friction angle of the soil sample were lower than that before the freeze–thaw cycles. This is because cracks form between soil particles after repeated freezing and thawing of soil samples, resulting in a decrease in the adhesion between soil particles. The shear strength, cohesion forces, and internal friction angle of the soil samples modified by the ZDS-2 organosilicon reinforcement agent are higher than those of plain soil. The effectiveness of the ZDS-2 organosilicon reinforcement agent in filling the pores between the soil particles is responsible for the increased connection between the soil particles, which, in turn, results in enhanced freeze–thaw resistance. This is evidenced by the fact that after several freeze–thaw cycles, the ZDS-2 organosilicon reinforcement agent is still capable of maintaining a high level of freeze–thaw resistance. Considering the volume of freeze–thaw, the rate of freeze–thaw, and the shear strength of the soil sample, the amount of the ZDS-2 organosilicon reinforcement agent should be 15%.

3.3. SEM Analysis

As can be observed in Figure 8a, the soil particles of the plain soil samples are bonded together under a lens of 200× magnification. The surface of the soil samples is uneven, and there are numerous pores and cracks. As can be seen from Figure 8b–d, soil particles are stacked together under the lens of 500×, 1000×, and 2000× magnification and are mainly lumpy and of different sizes. The main forms of contact between soil particles are mainly surface contact and side contact. It can be clearly seen from the figures that there are a large number of pores among the soil particles with different shapes and sizes, and the existence of these pores significantly weakens the carrying capacity of the soil sample. There is an obvious boundary between the soil particles, and the grain gradation is poor, which affects the uniformity and compactness of the soil samples. The adhesion between the soil particles is weak, making the soil sample susceptible to damage when stressed. The surface of the particles is smooth, and there is no attachment.
As illustrated in Figure 9a, following the freeze–thaw cycles, the cohesion among soil particles in the plain soil sample has diminished, resulting in the formation of noticeable large and numerous small pores.Figure 9b–d reveal that, under high magnification, soil particles started to disintegrate, leading to an increase in the number of clastic particles and significant accumulation. The connection between soil particles became loose, with particle contacts predominantly characterized by edge-to-edge interactions, and cracks were evident at the contact surfaces between soil particles. The direct shear test confirmed that the cohesion of plain soil was reduced as a result of repeated freeze–thaw cycles.
As can be clearly discerned from Figure 10a, the surface of the soil sample becomes highly dense with only a few cracks after adding the ZDS-2 organosilicon reinforcement agent. As can be seen from Figure 10b–d, after adding the ZDS-2 organosilicon reinforcement agent, the soil particles are tightly bonded, and their surface is covered by a layer of uniformly distributed transparent film material. This material protects the soil particles and makes the soil sample have good water resistance. Due to the rich reaction of amino group and ethoxy group in the ZDS-2 organosilicon reinforcement, the bonding performance of the material is improved, and there is a film-forming effect between the siloxane group and the soil particles. The two components form a highly cross-linked organic–inorganic hybrid network structure, which can fill the pores and produce an adhesion effect on the interface of the soil particles through bridging. This forms a barrier or protective layer. Finally, the purpose of in situ reinforcement is achieved.
As can be seen from Figure 11a, after undergoing freeze–thaw cycles, pores emerge in some areas of the soil sample, and the soil particles become loose, but at this stage, the surface of some soil samples remains dense, with the soil particles tightly interconnected. As can be seen from Figure 11b–d, after the freeze–thaw cycle of the soil sample modified by the ZDS-2 organosilicon reinforcement agent, a thin waterproof film layer is still present on the soil sample’s surface. Although the density of the soil sample decreased slightly, and there were some fine cracks, the soil sample remained relatively compact overall, with soil particles on all sides maintaining good contact.

3.4. EDS Analysis

Two representative regions were selected for EDS analysis of the 1000-time electron microscope images of plain soil samples and soil samples with 15% ZDS-2 organosilicon reinforcement agent. The region chosen for determining the energy spectrum of the plain soil is shown in Figure 12. The detection results of the energy spectrum measurement area are presented in Table 6. The elemental wave peak distribution and proportion map for the energy spectrum measurement area are shown in Figure 13.
The area for determining the energy spectrum of soil modified with ZDS-2 organosilicon reinforcement is shown in Figure 14. The detection results of the energy spectrum measurement area are presented in Table 7. The elemental wave peak distribution and proportion map of the energy spectrum measurement area are shown in Figure 15.
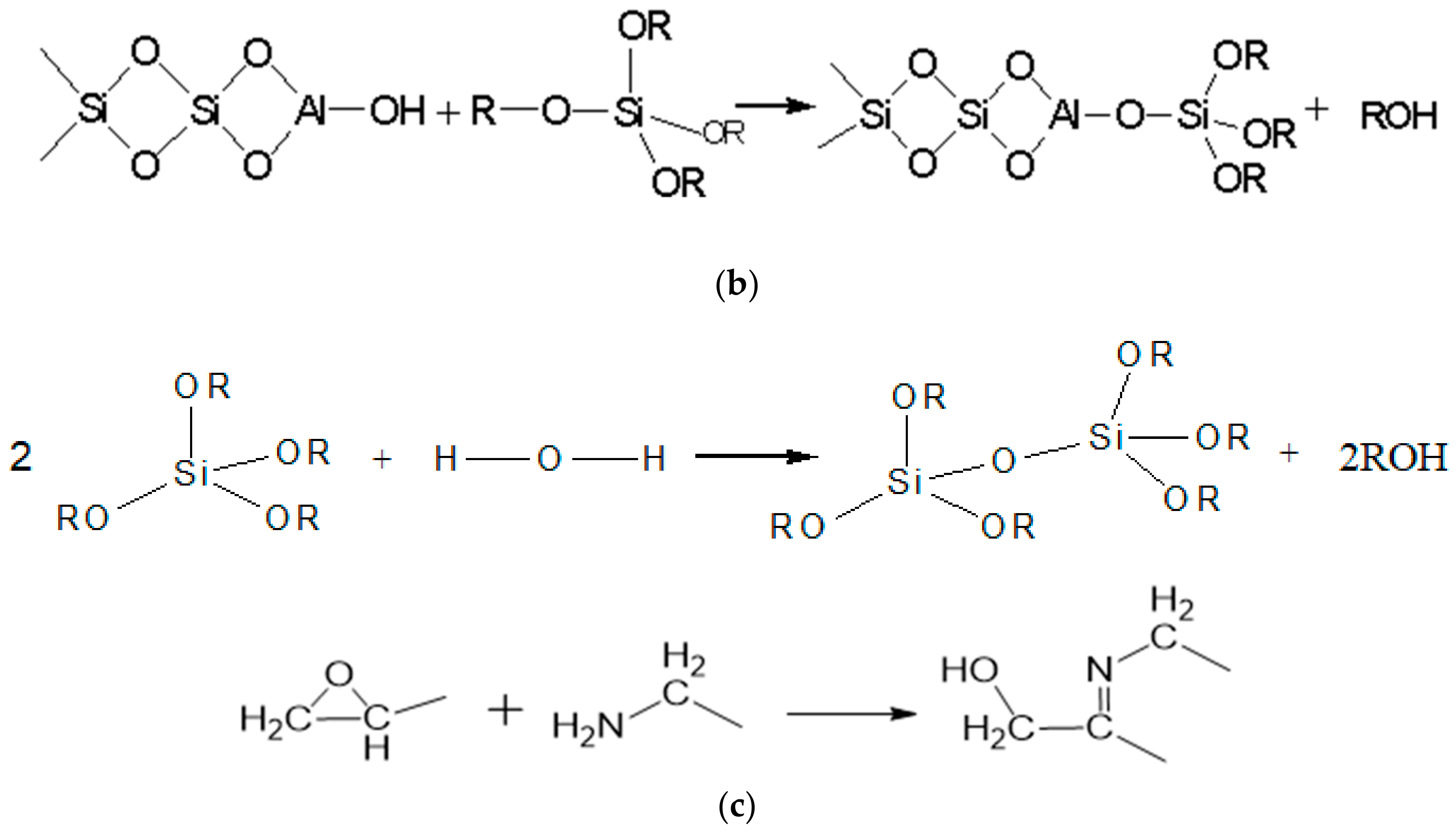
It can be observed from the above diagram that the primary elements of the plain soil are primarily O, Si, and Al, with trace amounts of elements such as Na, Mg, K, Ca, and Fe also present. The main elements in the soil sample modified with the ZDS-2 organosilicon reinforcement are O, Si, and Al, but there is also a small quantity of the C element. This is because the organosilicon reinforcement agent is mainly formed by the polymerization of alkyl siloxane, and its structure consists mainly of two chemical bonds: the Si-O bond and the C-Si bond. The Si-O bond is formed by inorganic polymers, while the C-Si bond is formed through the condensation of organic materials. The coexistence of the two chemical bonds makes both physical and chemical bonding exist between the organosilicon reinforcement agent and the particles on the surface of the soil site, ultimately forming a stable silicide, which significantly strengthens the soil [38]. The reaction mechanism is shown in Figure 16.

3.5. XRD Analysis

The XRD images of plain soil G0D0, freeze–thaw-cycle-modified soil G3D0 and freeze–thaw-cycle-modified soil G3D9 are presented in Figure 16. Before and after adding ZDS-2 organosilicon reinforcement agent, the primary components of the three samples remained unchanged, and all of them contained Quartz, Albite, Illite, Calcite, Microcline, Clinochlore, and Gypsum.
According to the comparison of the positions of each wave crest of the soil sample before and after modification, Figure 17a,b reveal that Quartz maintains the highest peak value both before and after the addition of organosilicon reinforcement. However, the peak value of calcite increases after modification, which is mainly due to the carbonation reaction of CaO in the soil sample to CaCO3 after the addition of organosilicon reinforcement. Compared with Figure 17b,c, Quartz, Albite, Illite, and Calcite in the modified soil samples before and after freeze–thaw did not have significant changes. Furthermore, upon comparing the peak positions across all three maps, no obviously new minerals were identified in the soil sample.

4. Conclusions

In this study, the physical and mechanical properties of modified site soil under freeze–thaw cycles were studied by adding the ZDS-2 organosilicon reinforcement agent to soil samples. The strengthening mechanism of the ZDS-2 organosilicon reinforcement agent was studied by microscopic experiments. The freeze–thaw resistance of the soil samples significantly improved after being strengthened with the ZDS-2 organosilicon reinforcement agent. Specifically, when 15% ZDS-2 organosilicon reinforcement agent was added, the soil samples exhibited superior shear strength and freeze–thaw resistance. The following conclusions can be drawn from the results of this study:
  • Adding 15% ZDS-2 organosilicon reinforcement agent can protect soil particles from expansion and contraction caused by temperature fluctuations, resulting in soil samples demonstrating enhanced freeze–thaw resistance. The maximum frost heaving volume and frost heaving rate were recorded for the modified soil sample after six freeze–thaw cycles, with a gradual decrease observed after nine freeze–thaw cycles.
  • The shear strength of the soil sample increases with the application of vertical pressure but decreases with the occurrence of freeze–thaw cycles. As the amount of ZDS-2 organosilicon reinforcement increases, the shear strength first rises and then stabilizes. After nine freeze–thaw cycles, the shear strength of the soil sample with 15% ZDS-2 organosilicon reinforcement decreased less than that of before the freeze–thaw cycles, and the shear strength increased the most than that of the plain soil. At this point, the cohesion was 3.2 times that of the plain soil, and the internal friction angle increased by 18.0%.
  • The ZDS-2 organosilicon reinforcement agent can fill the pores between the soil particles to form a more effective connection among them. The addition of the ZDS-2 organosilicon reinforcement agent will make the soil sample after freeze–thaw cycle denser than that of plain soil, and the number of pores will be reduced. The C element in the soil samples was added with ZDS-2 organosilicon reinforcement mainly from the ZDS-2 organosilicon reinforcement agent. After adding ZDS-2 organosilicon reinforcement agent, the peak value of calcite in the soil sample increases, and the carbonation reaction of CaO in the soil produces CaCO3, and it was found that there were no obvious new minerals in the soil sample.
In this study, the reinforcement effect and mechanism of the ZDS-2 organosilicon reinforcement agent were studied through a large number of experiments, and certain results and experiments were obtained and conducted, which provided a certain reference value for the reinforcement and protection of soil sites. However, this study only studied the physical and mechanical properties of soil under freeze–thaw cycle conditions, while in actual engineering, the occurrence conditions of soil sites are very complicated. Subsequent tests can be conducted on the soil under the coupling effect of multiple factors, and in-depth consideration and analysis of the macro- and micro-relationships of the soil can be conducted.

Author Contributions

Data curation, Q.M. and X.Z.; Project administration, H.Y.; Validation, X.C.; Writing—original draft, F.G. All authors have read and agreed to the published version of the manuscript.

Funding

The research work carried out in this study was supported by the 2022 China National Key Research and Development Program for Major Natural Disaster Prevention and Control and Public Safety (funding number: 2022YFC3003405), the horizontal project of Zhengzhou City Cultural Relic Institute in 2021 (funding number: 20211214C), and Research and development of Key Materials and Protection Technology for Surface Weathering Stone Cultural Relics Reinforcement of Henan Province in 2023 (funding number: 231111321100). Thank you for the financial support.

Institutional Review Board Statement

Not applicable.

Informed Consent Statement

Not applicable.

Data Availability Statement

Data are contained within the article.

Conflicts of Interest

The authors declare no conflicts of interest.

References

  1. Sun, M.L.; Wang, X.D.; Li, Z.X. Preliminary Discussion on Soil Site Protection; Science Press: Beijing, China, 2010. [Google Scholar]
  2. Qiao, J. Study on the Mechanism of Loess Landslide in the Seasonal Frozen Soil Area. Master’s Thesis, Chang’an University, Xi’an, China, 2020. [Google Scholar]
  3. Leroueil, S.; Tardif, J.; Roy, M.; Larochelle, P.; Konrad, J.M. Effects of frost on the mechanical-behavior of champlain sea clays. Can. Geotech. J. 1991, 28, 690–697. [Google Scholar] [CrossRef]
  4. Özgan, E.; Serin, S.; Ertürk, S.; Vural, I. Effects of Freezing and Thawing on the Consolidation Settlement of Soils. Soil Mech. Found. Eng. 2015, 52, 247–253. [Google Scholar] [CrossRef]
  5. Hotineanu, A.; Bouasker, M.; Aldaood, A.; Al-Mukhtar, M. Effect of freeze–thaw cycling on the mechanical properties of lime-stabilized expansive clays. Cold Reg. Sci. Technol. 2015, 119, 151–157. [Google Scholar] [CrossRef]
  6. Chen, Z.F.; Chen, H.E.; Li, J.F.; Li, H.; Ma, W.L. Study on the Changing Rules of Silty Clay’s Pore Structure under Freeze–thaw Cycles. Adv. Civ. Eng. 2019, 2019, 7493872. [Google Scholar] [CrossRef]
  7. Lu, J.G.; Zhang, M.Y.; Zhang, X.Y.; Pei, W.S.; Bi, J. Experimental study on the freezing-thawing deformation of a silty clay. Cold Reg. Sci. Technol. 2018, 151, 19–27. [Google Scholar] [CrossRef]
  8. Yan, G.S.; Zhang, H.Y.; Wang, X.D. Durability of earthen architecture ruins under cyclic freezing and thawing. Rock Soil Mech. 2011, 32, 2267–2273. [Google Scholar]
  9. Chen, W.W.; Jia, B.B.; Cai, T. Freeze–thaw deterioration of saline earthen sites under snowmelt or rainfall infiltration. Chin. J. Geotech. Eng. 2022, 44, 334–342. [Google Scholar]
  10. Chen, W.W.; Zhang, Q.Y.; Liu, H.W. Reinforcing effect of relic soil sites penetrated with high polymer material SH. J. Eng. Geol. 2017, 25, 1307–1313. [Google Scholar]
  11. Zhang, K.W. Study of Engineering Properties in Conversation of Humus-Containing Soil of Earthen Sites with SH. Master’s Thesis, Lanzhou University, Lanzhou, China, 2018. [Google Scholar]
  12. Yang, F. Enzyme-Induced Calcite Precipitation for the Reinforcement of Earthen Sites. Master’s Thesis, Lanzhou University, Lanzhou, China, 2019. [Google Scholar]
  13. Wu, Y.; Miao, S.; Li, X.; Wang, H.; Cao, Y.; Hu, X. Experimental study on Physical and Mechanical properties of expansive soil improved by steel slag powder cement under freeze–thaw cycle. J. Eng. Geol. 2021, 29, 851–861. [Google Scholar]
  14. Gao, Z.N.; Zhong, X.M.; Ma, H.P.; Liu, F.Q.; Ma, J.L.; Wang, Q. Effect of Freeze–thaw Cycles on Shear Strength Properties of Loess Reinforced with Lignin Fiber. Geofluids 2022, 2022, 8685553. [Google Scholar] [CrossRef]
  15. Li, X.M.; Zhang, H.Y.; Wu, D. Strength deterioration characteristics of lime-metakaolin improved earthen site soil under freeze thaw cycles. Rock Soil Mech. 2023, 44, 1593–1603. [Google Scholar]
  16. Lu, J.; Liu, X.M.; Du, Q. Research progress and engineering application of soil site repair materials. Relics Museolgy 2015, 1, 104–107. [Google Scholar]
  17. Zhou, H. Study on Consolidation and Conservation of Earthen Sites in Moisture Circumstances. Ph.D. Thesis, Zhejiang University, Hangzhou, China, 2008. [Google Scholar]
  18. Wang, J.; Li, Y.; Xing, H. Anti-wind erosion of the remolded soil in situ cross-linking reinforced with TEOS. J. Shaanxi Norm. Univ. Nat. Sci. Ed. 2018, 46, 72–76. [Google Scholar]
  19. Liu, Z.D.; Wang, J.L. TEOS modified with PMHS as consolidating coating to improve the strength and hydrophobicity of earthen structures. Constr. Build. Mater. 2022, 322, 126165. [Google Scholar] [CrossRef]
  20. Li, X.G.; Ma, Q.W.; Ji, Y.F.; Cheng, K.D.; Sun, Z.L. Study on the Improvement of Waterproof Performance of Historical Silt Sites with Silicone Waterproofing Agent. Coatings 2022, 12, 1162. [Google Scholar] [CrossRef]
  21. Ji, Y.F.; Ma, Q.W.; Li, X.G.; Tian, Y.; Cao, P.K. Study on Composite Improvement of Silt Sites by Lignin and Sodium Methylsilicate and Its Micro Mechanism. Coatings 2022, 12, 1647. [Google Scholar] [CrossRef]
  22. Lu, A.-X.; Wang, J.-H.; Pan, L.-G.; Han, P.; Han, Y. Determination of Cr, Cu, Zn, Pb and As in Soil by Field Portable X-Ray Fluorescence Spectrometry. Spectrosc. Spectr. Anal. 2010, 30, 2848–2852. [Google Scholar]
  23. Declercq, Y.; Delbecque, N.; De Grave, J.; De Smedt, P.; Finke, P.; Mouazen, A.M.; Nawar, S.; Vandenberghe, D.; Van Meirvenne, M.; Verdoodt, A. A Comprehensive Study of Three Different Portable XRF Scanners to Assess the Soil Geochemistry of An Extensive Sample Dataset. Remote Sens. 2019, 11, 2490. [Google Scholar] [CrossRef]
  24. Goff, K.; Schaetzl, R.J.; Chakraborty, S.; Weindorf, D.C.; Kasmerchak, C.; Bettis, E.A. III, Impact of sample preparation methods for characterizing the geochemistry of soils and sediments by portable X-ray fluorescence. Soil Sci. Soc. Am. J. 2020, 84, 131–143. [Google Scholar] [CrossRef]
  25. GB/T50123-2019; Standard for Geotechnical Testing Method. National Standards of the People’s Republic of China: Beijing, China, 2019; p. 717.
  26. Bing, W.S. (Translator) Road Freezing Damage and Prevention; Harbin Institute of Technology Press: Harbin, China, 1992; p. 399. [Google Scholar]
  27. Ma, L.; Peng, L.; Liu, D.; Qi, J. Experimental study on the frost-heaving characteristics of lime-modified silt. J. Glaciol. Geocryol. 2023, 45, 212–221. [Google Scholar]
  28. Cheng, P.-F.; Yin, C.-J. Analysis of Frost Heaving Characteristics of Silty Clay in Seasonal Frozen Region. J. Highw. Transp. Res. Dev. (Chin. Ed.) 2014, 31, 44–49. [Google Scholar]
  29. Mardookhpour, A.R. Retrofitting shear stability and fixing clay soils in farm conduits by geotextiles. Pak. J. Agric. Sci. 2010, 47, 287–291. [Google Scholar]
  30. Zhao, F.; Zheng, Y. Shear Strength Behavior of Fiber-Reinforced Soil: Experimental Investigation and Prediction Model. Int. J. Geomech. 2022, 22, 04022146. [Google Scholar] [CrossRef]
  31. Xiong, C.-R.; Tang, H.-M.; Liu, B.-C.; Zhang, J.-S. Using SEM photos to gain the pore structural parameters of soil samples. Earth Sci. 2007, 32, 415–419. [Google Scholar]
  32. Allegretta, I.; Legrand, S.; Alfeld, M.; Gattullo, C.E.; Porfido, C.; Spagnuolo, M.; Janssens, K.; Terzano, R. SEM-EDX hyperspectral data analysis for the study of soil aggregates. Geoderma 2022, 406, 115540. [Google Scholar] [CrossRef]
  33. Soundarya, M.K.; Bhuvaneshwari, S. Characterization of Expansive Soil and Lignosulphonate Stabilized Soil by SEM and XRD; Springer Nature: Singapore, 2022; pp. 959–966. [Google Scholar]
  34. Ramli, M.; Mitaphonna, R.; Lahna, K.; Idris, N. Elemental analysis of tsunami soil collected from Aceh of Indonesia using scanning electron microscope-energy dispersive x-ray (SEM-EDX). AIP Conf. Proc. 2023, 2480, 020011. [Google Scholar]
  35. Kaur, R.; Goyal, D. Mineralogical comparison of coal fly ash with soil for use in agriculture. J. Mater. Cycles Waste Manag. 2016, 18, 186–200. [Google Scholar] [CrossRef]
  36. Zhang, Z.-D.; Zhao, M.-S.; Zhang, L.-N.; Liu, H.; Li, R.; Sheng, Q.-N.; Guo, D.; Zhao, X.-Y.; Zhang, J.-J.; Zhong, S.-L. Application of Synchrotron Radiation X-Ray Diffraction Spectroscopy in the Study of Clay Minerals in Zonal Forest Soils. Spectrosc. Spectr. Anal. 2021, 41, 529–534. [Google Scholar]
  37. Yu, J.N.; Wang, R.; Tan, F.Y. Experimental study on freeze–thaw mechanical effect of saturated silty clay. Geotech. Eng. World 2008, 11, 48–51. [Google Scholar]
  38. Zhang, J.F.; You, H.Q. Enhanced conservation of the Ruguanyao kiln site at Qingliang Temple, Baofeng, Henan province. Sci. Conserv. Archaeol. 2014, 26, 81–89. [Google Scholar] [CrossRef]
Figure 1. Disease map of Qingtai site: (a) general disease plan; (b) local weathering, denudation, and shortening; (c) local moss.
Figure 1. Disease map of Qingtai site: (a) general disease plan; (b) local weathering, denudation, and shortening; (c) local moss.
Coatings 14 01577 g001
Figure 2. Soil samples: (a) cutting ring soil samples; (b) sealed preserved soil samples.
Figure 2. Soil samples: (a) cutting ring soil samples; (b) sealed preserved soil samples.
Coatings 14 01577 g002
Figure 3. Direct shear test: (a) direct shear process; (b) shear completion; (c) shear failure plane.
Figure 3. Direct shear test: (a) direct shear process; (b) shear completion; (c) shear failure plane.
Coatings 14 01577 g003aCoatings 14 01577 g003b
Figure 4. Relationship between frost heaving volume and number of freeze–thaw cycles.
Figure 4. Relationship between frost heaving volume and number of freeze–thaw cycles.
Coatings 14 01577 g004
Figure 5. Relationship between frost heaving rate and number of freeze–thaw cycles.
Figure 5. Relationship between frost heaving rate and number of freeze–thaw cycles.
Coatings 14 01577 g005
Figure 6. Shear strength curves of soil samples under different vertical pressures: (a) 100 kPa; (b) 200 kPa; (c) 300 kPa; (d) 400 kPa.
Figure 6. Shear strength curves of soil samples under different vertical pressures: (a) 100 kPa; (b) 200 kPa; (c) 300 kPa; (d) 400 kPa.
Coatings 14 01577 g006
Figure 7. Curve of cohesion forces and internal friction angles with the number of freeze–thaw cycles: (a) cohesion forces; (b) internal friction angles.
Figure 7. Curve of cohesion forces and internal friction angles with the number of freeze–thaw cycles: (a) cohesion forces; (b) internal friction angles.
Coatings 14 01577 g007
Figure 8. SEM image of plain soil before freeze–thaw cycles (G0D0): (a) 200×; (b) 500×; (c) 1000×; (d) 2000×.
Figure 8. SEM image of plain soil before freeze–thaw cycles (G0D0): (a) 200×; (b) 500×; (c) 1000×; (d) 2000×.
Coatings 14 01577 g008
Figure 9. SEM image of plain soil after 9 freeze–thaw cycles (G0D9): (a) 200×; (b) 500×; (c) 1000×; (d) 2000×.
Figure 9. SEM image of plain soil after 9 freeze–thaw cycles (G0D9): (a) 200×; (b) 500×; (c) 1000×; (d) 2000×.
Coatings 14 01577 g009
Figure 10. SEM image of modified soil before freeze–thaw cycles (G3D0): (a) 200×; (b) 500×; (c) 1000×; (d) 2000×.
Figure 10. SEM image of modified soil before freeze–thaw cycles (G3D0): (a) 200×; (b) 500×; (c) 1000×; (d) 2000×.
Coatings 14 01577 g010aCoatings 14 01577 g010b
Figure 11. SEM image of modified soil after 9 freeze–thaw cycles (G3D9): (a) 200×; (b) 500×; (c) 1000×; (d) 2000×.
Figure 11. SEM image of modified soil after 9 freeze–thaw cycles (G3D9): (a) 200×; (b) 500×; (c) 1000×; (d) 2000×.
Coatings 14 01577 g011
Figure 12. Measurement area of plain soil (G0D0).
Figure 12. Measurement area of plain soil (G0D0).
Coatings 14 01577 g012
Figure 13. Proportion of elements in plain soil area: (a) Area 1; (b) Area 2.
Figure 13. Proportion of elements in plain soil area: (a) Area 1; (b) Area 2.
Coatings 14 01577 g013aCoatings 14 01577 g013b
Figure 14. Measurement area of ZDS-2 organosilicon reinforcement-modified soil (G3D0).
Figure 14. Measurement area of ZDS-2 organosilicon reinforcement-modified soil (G3D0).
Coatings 14 01577 g014
Figure 15. Proportion of elements in area of soil modified by ZDS-2 organosilicon reinforcement agent: (a) Area 1; (b) Area 2.
Figure 15. Proportion of elements in area of soil modified by ZDS-2 organosilicon reinforcement agent: (a) Area 1; (b) Area 2.
Coatings 14 01577 g015
Figure 16. Reaction mechanism between organosilicon and soil particles: (a) hydroxyl group reacts with alkoxy group; (b) hydroxyl groups in soil react with alkoxy groups; (c) organosilicon polymerization.
Figure 16. Reaction mechanism between organosilicon and soil particles: (a) hydroxyl group reacts with alkoxy group; (b) hydroxyl groups in soil react with alkoxy groups; (c) organosilicon polymerization.
Coatings 14 01577 g016aCoatings 14 01577 g016b
Figure 17. XRD pattern: (a) plain soil sample before freeze–thaw (G0D0); (b) modified soil sample before freeze–thaw (G3D0); (c) modified soil sample after 9 freeze–thaw (G3D9).
Figure 17. XRD pattern: (a) plain soil sample before freeze–thaw (G0D0); (b) modified soil sample before freeze–thaw (G3D0); (c) modified soil sample after 9 freeze–thaw (G3D9).
Coatings 14 01577 g017aCoatings 14 01577 g017b
Table 1. Composition analysis of site soil (%).
Table 1. Composition analysis of site soil (%).
IngredientNa2OMgOAl2O3SiO2K2OP2O5CaOTiO2Fe2O3Others
Content2.130 3.410 16.500 66.900 3.000 0.224 1.530 0.847 4.160 1.299
Table 2. Contents of inorganic anions in site soil (mg/L).
Table 2. Contents of inorganic anions in site soil (mg/L).
IngredientClSO4NO3
Content14.7739.7944.62
Table 3. Basic physical indexes of site soil.
Table 3. Basic physical indexes of site soil.
Liquid Limit
w L (%)
Plastic Limit
w p (%)
Plasticity Index
Ip
Optimal Moisture Content
w o p
(%)
Maximum Dry Unit Weight
ρ d , m a x
(g/cm3)
25.2316.119.1215.101.68
Table 4. Introduction of reinforcement materials.
Table 4. Introduction of reinforcement materials.
Material NameShort NameMolecular WeightViscosityManufacturer
γ–aminopropyl triethoxysilaneATS2211.6Wuhan University silicone new material Co., Ltd., Wuhan, China
γ–glycidyl ether propyl trimethoxysilaneGPTMS2363.2Wuhan University silicone new material Co., Ltd., Wuhan, China
Ethyl orthosilicateTEOS208-Wuhan University silicone new material Co., Ltd., Wuhan, China
Hydroxysilicone oilPDMS–OH-25Zaoyang City, Hubei Province, Jinpeng Chemical Co., Ltd., Zaoyang, China
Table 5. Soil sample numbers.
Table 5. Soil sample numbers.
Amount of ZDS-2 AddedFreeze–Thaw 0 TimesFreeze–Thaw 1 TimesFreeze–Thaw 3 TimesFreeze–Thaw 6 TimesFreeze–Thaw 9 Times
0%G0D0G0D1G0D3G0D6G0D9
9%G1D0G1D1G1D3G1D6G1D9
12%G2D0G2D1G2D3G2D6G2D9
15%G3D0G3D1G3D3G3D6G3D9
18%G4D0G4D1G4D3G4D6G4D9
21%G5D0G5D1G5D3G5D6G5D9
Table 6. Results of elemental determination in plain soil area (%).
Table 6. Results of elemental determination in plain soil area (%).
AreaElement TypesONaMgAlSiKCaFe
Area1Mass ratio43.083.251.089.9926.592.103.7610.15
Atomic ratio59.523.120.988.1820.931.192.074.02
Area2Mass ratio50.452.031.617.0330.421.33.443.74
Atomic ratio65.191.821.365.3822.390.691.771.38
Table 7. Results of regional element determination of ZDS-2 organosilicon reinforcement-modified soil (%).
Table 7. Results of regional element determination of ZDS-2 organosilicon reinforcement-modified soil (%).
AreaElement TypesCONaMgAlSiKCaFe
Area 1Mass ratio-50.363.622.1614.3823.442.901.531.60
Atomic ratio-64.203.221.8210.8717.021.510.780.58
Area 2Mass ratio12.1749.702.621.876.6119.651.134.561.67
Atomic ratio18.6657.222.121.424.5112.890.532.100.55
Disclaimer/Publisher’s Note: The statements, opinions and data contained in all publications are solely those of the individual author(s) and contributor(s) and not of MDPI and/or the editor(s). MDPI and/or the editor(s) disclaim responsibility for any injury to people or property resulting from any ideas, methods, instructions or products referred to in the content.

Share and Cite

MDPI and ACS Style

Zheng, X.; Ma, Q.; Yan, H.; Chang, X.; Guo, F. The Study on the Freeze–Thaw Deterioration of Soil Sites Modified with the ZDS-2 Organosilicon Reinforcement Agent. Coatings 2024, 14, 1577. https://doi.org/10.3390/coatings14121577

AMA Style

Zheng X, Ma Q, Yan H, Chang X, Guo F. The Study on the Freeze–Thaw Deterioration of Soil Sites Modified with the ZDS-2 Organosilicon Reinforcement Agent. Coatings. 2024; 14(12):1577. https://doi.org/10.3390/coatings14121577

Chicago/Turabian Style

Zheng, Xiaowen, Qingwen Ma, Haitao Yan, Xiang Chang, and Fang Guo. 2024. "The Study on the Freeze–Thaw Deterioration of Soil Sites Modified with the ZDS-2 Organosilicon Reinforcement Agent" Coatings 14, no. 12: 1577. https://doi.org/10.3390/coatings14121577

APA Style

Zheng, X., Ma, Q., Yan, H., Chang, X., & Guo, F. (2024). The Study on the Freeze–Thaw Deterioration of Soil Sites Modified with the ZDS-2 Organosilicon Reinforcement Agent. Coatings, 14(12), 1577. https://doi.org/10.3390/coatings14121577

Note that from the first issue of 2016, this journal uses article numbers instead of page numbers. See further details here.

Article Metrics

Back to TopTop