Surface Modifications of Superparamagnetic Iron Oxide Nanoparticles with Polyvinyl Alcohol and Graphite as Methylene Blue Adsorbents
Abstract
:1. Introduction
2. Materials and Methods
2.1. Materials
2.2. Synthesis
2.3. Adsorption/Loading Experiment
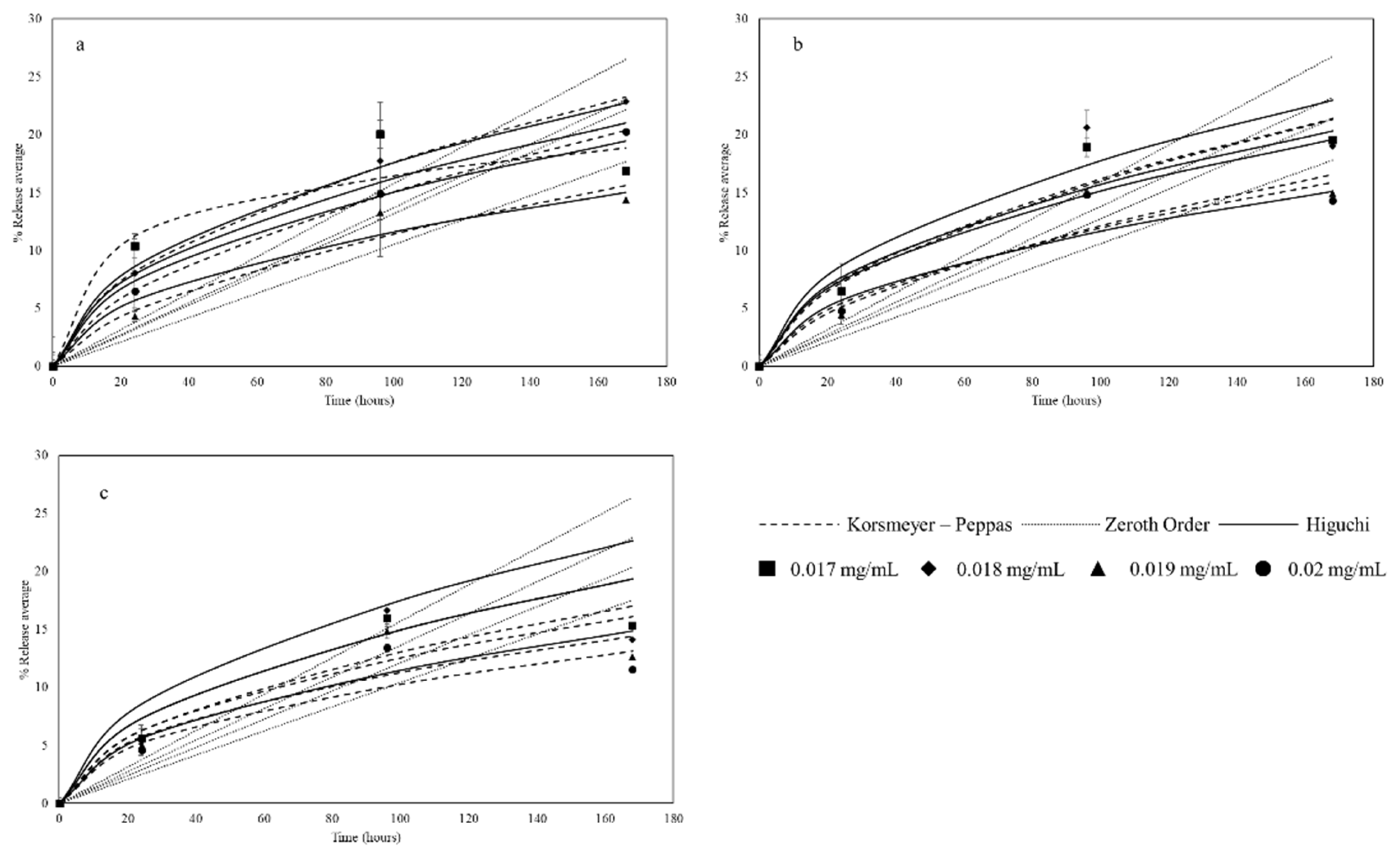
2.4. Desorption/Releasing Experiment
2.5. Theory
3. Results and Discussion
3.1. Characterization of SPION/PVA/GR
3.2. FE-SEM Analysis
3.3. XRD Analysis
3.4. FTIR Analysis
3.5. BJH Analysis
3.6. VSM Analysis
3.7. Adsorption
3.8. Desorption
4. Conclusions
Funding
Institutional Review Board Statement
Informed Consent Statement
Data Availability Statement
Acknowledgments
Conflicts of Interest
Abbreviations
| initial concentration (mg/mL) | |
| concentration at time t (mg/mL) | |
| sample volume (mL) | |
| mass of the nanoparticles (g) | |
| amount of MB absorbed per unit mass of nanoparticle at the equilibrium (mg/g) | |
| amount of MB absorbed per unit mass of nanoparticle at time t (mg/g) | |
| theoretical initial adsorption rate | |
| theoretical desorption rate | |
| pseudo-first order rate constant (s−1) | |
| pseudo-second order rate constant (s−1) | |
| respective rate constant for adsorption | |
| respective rate constant for desorption | |
| constant related to the free adsorption energy and the reciprocal of the concentration at which half saturation of the adsorbent is reached | |
| theoretical adsorption capacity (mg/g) | |
| constant mass fraction at a time (t) release | |
| released mass fraction at a time (t) | |
| Korsmeyer–Peppas release rate constant | |
| Higuchi release rate constant | |
| Korsmeyer–Peppas release exponent factor | |
| chi-square value | |
| equilibrium aqueous-phase concentration adsorbate (mg/L) | |
| fractional surface coverage | |
| quantity of adsorbate adsorbed in a single monolayer (mg/g) | |
| the amount of MB at equilibrium state |
References
- Doan, L.; Lu, Y.; Karatela, M.; Phan, V.; Jeffryes, C.; Benson, T.; Wujcik, E.K. Surface Modifications of Superparamagnetic Iron Oxide Nanoparticles with Polylactic Acid-Polyethylene Glycol Diblock Copolymer and Graphene Oxide for a Protein Delivery Vehicle. Eng. Sci. 2019, 7, 10–16. [Google Scholar] [CrossRef]
- Bayazit, Ş.S. Magnetic Multi-Wall Carbon Nanotubes for Methyl Orange Removal from Aqueous Solutions: Equilibrium, Kinetic and Thermodynamic Studies. Sep. Sci. Technol. 2014, 49, 1389–1400. [Google Scholar] [CrossRef]
- Altıntıg, E.; Altundag, H.; Tuzen, M.; Sarı, A. Effective Removal of Methylene Blue from Aqueous Solutions Using Magnetic Loaded Activated Carbon as Novel Adsorbent. Chem. Eng. Res. Des. 2017, 122, 151–163. [Google Scholar] [CrossRef]
- Doan, L.; Nguyen, L.T.; Nguyen, N.T.N. Modifying Superparamagnetic Iron Oxides Nanoparticles for Doxorubicin Delivery Carriers: A Review. J. Nanopart. Res. 2023, 25, 73. [Google Scholar] [CrossRef]
- Kim, D.K.; Zhang, Y.; Voit, W.; Rao, K.V.; Muhammed, M. Synthesis and Characterization of Surfactant-Coated Superparamagnetic Monodispersed Iron Oxide Nanoparticles. J. Magn. Magn. Mater. 2001, 225, 30–36. [Google Scholar] [CrossRef]
- Marinin, A. Synthesis and Characterization of Superparamagnetic Iron Oxide Nanoparticles Coated with Silica. Master’s Thesis, Royal Institute of Technology, Stockholm, Sweden, 2012. [Google Scholar]
- Muthiah, M.; Park, I.-K.; Cho, C.-S. Surface Modification of Iron Oxide Nanoparticles by Biocompatible Polymers for Tissue Imaging and Targeting. Biotechnol. Adv. 2013, 31, 1224–1236. [Google Scholar] [CrossRef] [PubMed]
- Xu, P.; Zeng, G.M.; Huang, D.L.; Feng, C.L.; Hu, S.; Zhao, M.H.; Lai, C.; Wei, Z.; Huang, C.; Xie, G.X.; et al. Use of Iron Oxide Nanomaterials in Wastewater Treatment: A Review. Sci. Total Environ. 2012, 424, 1–10. [Google Scholar] [CrossRef] [PubMed]
- Duan, J.; Liu, R.; Chen, T.; Zhang, B.; Liu, J. Halloysite Nanotube-Fe3O4 Composite for Removal of Methyl Violet from Aqueous Solutions. Desalination 2012, 293, 46–52. [Google Scholar] [CrossRef]
- Li, Z.; Sun, Y.; Xing, J.; Meng, A. Fast Removal of Methylene Blue by Fe3O4 Magnetic Nanoparticles and Their Cycling Property. J. Nanosci. Nanotechnol. 2019, 19, 2116–2123. [Google Scholar] [CrossRef] [PubMed]
- Habila, M.A.; Moshab, M.S.; El-Toni, A.M.; ALOthman, Z.A.; Badjah Hadj Ahmed, A.Y. Thermal Fabrication of Magnetic Fe3O4 (Nanoparticle)@Carbon Sheets from Waste Resources for the Adsorption of Dyes: Kinetic, Equilibrium, and UV–Visible Spectroscopy Investigations. Nanomaterials 2023, 13, 1266. [Google Scholar] [CrossRef]
- Yao, Y.; Miao, S.; Liu, S.; Ma, L.P.; Sun, H.; Wang, S. Synthesis, Characterization, and Adsorption Properties of Magnetic Fe3O4@graphene Nanocomposite. Chem. Eng. J. 2012, 184, 326–332. [Google Scholar] [CrossRef]
- Ahamad, T.; Naushad, M.; Eldesoky, G.E.; Al-Saeedi, S.I.; Nafady, A.; Al-Kadhi, N.S.; Al-Muhtaseb, A.H.; Khan, A.A.; Khan, A. Effective and Fast Adsorptive Removal of Toxic Cationic Dye (MB) from Aqueous Medium Using Amino-Functionalized Magnetic Multiwall Carbon Nanotubes. J. Mol. Liq. 2019, 282, 154–161. [Google Scholar] [CrossRef]
- Wu, K.-H.; Huang, W.-C.; Hung, W.-C.; Tsai, C.-W. Modified Expanded Graphite/Fe3O4 Composite as an Adsorbent of Methylene Blue: Adsorption Kinetics and Isotherms. Mater. Sci. Eng. B 2021, 266, 115068. [Google Scholar] [CrossRef]
- Tishbi, P.; Mosayebi, M.; Salehi, Z.; Fatemi, S.; Faegh, E. Synthesizing Magnetic Graphene Oxide Nanomaterial (GO-Fe3O4) and Kinetic Modelling of Methylene Blue Adsorption from Water. Can. J. Chem. Eng. 2022, 100, 3321–3334. [Google Scholar] [CrossRef]
- Ai, L.; Zhang, C.; Liao, F.; Wang, Y.; Li, M.; Meng, L.; Jiang, J. Removal of Methylene Blue from Aqueous Solution with Magnetite Loaded Multi-Wall Carbon Nanotube: Kinetic, Isotherm and Mechanism Analysis. J. Hazard. Mater. 2011, 198, 282–290. [Google Scholar] [CrossRef] [PubMed]
- Niu, Y.; Han, X.; Song, J.; Huang, L. Removal of Methylene Blue and Lead(ii) via PVA/SA Double-Cross-Linked Network Gel Beads Loaded with Fe3O4 @KHA Nanoparticles. New J. Chem. 2021, 45, 5605–5620. [Google Scholar] [CrossRef]
- Senthilkumaar, S.; Varadarajan, P.R.; Porkodi, K.; Subbhuraam, C.V. Adsorption of Methylene Blue onto Jute Fiber Carbon: Kinetics and Equilibrium Studies. J. Colloid Interface Sci. 2005, 284, 78–82. [Google Scholar] [CrossRef]
- Altundag, H.; Bina, E.; Altıntıg, E. The Levels of Trace Elements in Honey and Molasses Samples That Were Determined by ICP-OES After Microwave Digestion Method. Biol. Trace Elem. Res. 2016, 170, 508–514. [Google Scholar] [CrossRef]
- Lelifajri; Nawi, M.A.; Sabar, S.; Supriatno; Nawawi, W.I. Preparation of Immobilized Activated Carbon-Polyvinyl Alcohol Composite for the Adsorptive Removal of 2,4-Dichlorophenoxyacetic Acid. J. Water Process Eng. 2018, 25, 269–277. [Google Scholar] [CrossRef]
- Wang, J.; Li, M.; Zhou, S.; Xue, A.; Zhang, Y.; Zhao, Y.; Zhong, J.; Zhang, Q. Graphitic Carbon Nitride Nanosheets Embedded in Poly(Vinyl Alcohol) Nanocomposite Membranes for Ethanol Dehydration via Pervaporation. Sep. Purif. Technol. 2017, 188, 24–37. [Google Scholar] [CrossRef]
- Alizadeh Fard, M.; Vosoogh, A.; Barkdoll, B.; Aminzadeh, B. Using Polymer Coated Nanoparticles for Adsorption of Micropollutants from Water. Colloids Surf. A Physicochem. Eng. Asp. 2017, 531, 189–197. [Google Scholar] [CrossRef]
- Jamnongkan, T.; Kaewpirom, S.; Wattanakornsiri, A.; Mongkholrattanasit, R. Effect of ZnO Concentration on the Diameter of Electrospun Fibers from Poly(Vinyl Alcohol) Composited with ZnO Nanoparticles. Key Eng. Mater. 2018, 759, 81–85. [Google Scholar] [CrossRef]
- Yang, W.; Fortunati, E.; Bertoglio, F.; Owczarek, J.S.; Bruni, G.; Kozanecki, M.; Kenny, J.M.; Torre, L.; Visai, L.; Puglia, D. Polyvinyl Alcohol/Chitosan Hydrogels with Enhanced Antioxidant and Antibacterial Properties Induced by Lignin Nanoparticles. Carbohydr. Polym. 2018, 181, 275–284. [Google Scholar] [CrossRef]
- Kubo, S.; Kadla, J.F. The Formation of Strong Intermolecular Interactions in Immiscible Blends of Poly (Vinyl Alcohol)(PVA) and Lignin. Biomacromolecules 2003, 4, 561–567. [Google Scholar] [CrossRef] [PubMed]
- Liu, P.; Chen, W.; Liu, Y.; Bai, S.; Wang, Q. Thermal Melt Processing to Prepare Halogen-Free Flame Retardant Poly (Vinyl Alcohol). Polym. Degrad. Stab. 2014, 109, 261–269. [Google Scholar] [CrossRef]
- Langmuir, I. The Adsorption of Gases on Plane Surfaces of Glass, Mica and Platinum. J. Am. Chem. Soc. 1918, 40, 1361–1403. [Google Scholar] [CrossRef]
- Liu, L.; Luo, X.-B.; Ding, L.; Luo, S.-L. 4—Application of Nanotechnology in the Removal of Heavy Metal from Water. In Nanomaterials for the Removal of Pollutants and Resource Reutilization; Luo, X., Deng, F., Eds.; Micro and Nano Technologies; Elsevier: Amsterdam, The Netherlands, 2019; pp. 83–147. ISBN 978-0-12-814837-2. [Google Scholar]
- Quach, T.P.T.; Doan, L. Surface Modifications of Superparamagnetic Iron Oxide Nanoparticles with Polyvinyl Alcohol, Chitosan, and Graphene Oxide as Methylene Blue Adsorbents. Coatings 2023, 13, 1333. [Google Scholar] [CrossRef]
- Amin, N.K. Removal of Direct Blue-106 Dye from Aqueous Solution Using New Activated Carbons Developed from Pomegranate Peel: Adsorption Equilibrium and Kinetics. J. Hazard. Mater. 2009, 165, 52–62. [Google Scholar] [CrossRef]
- Ghaedi, M.; Sadeghian, B.; Pebdani, A.A.; Sahraei, R.; Daneshfar, A.; Duran, C. Kinetics, Thermodynamics and Equilibrium Evaluation of Direct Yellow 12 Removal by Adsorption onto Silver Nanoparticles Loaded Activated Carbon. Chem. Eng. J. 2012, 187, 133–141. [Google Scholar] [CrossRef]
- Başar, C.A. Applicability of the Various Adsorption Models of Three Dyes Adsorption onto Activated Carbon Prepared Waste Apricot. J. Hazard. Mater. 2006, 135, 232–241. [Google Scholar] [CrossRef]
- Ghaedi, M.; Haghdoust, S.; Kokhdan, S.N.; Mihandoost, A.; Sahraie, R.; Daneshfar, A. Comparison of Activated Carbon, Multiwalled Carbon Nanotubes, and Cadmium Hydroxide Nanowire Loaded on Activated Carbon as Adsorbents for Kinetic and Equilibrium Study of Removal of Safranine O. Spectrosc. Lett. 2012, 45, 500–510. [Google Scholar] [CrossRef]
- Hsieh, C.-T.; Teng, H. Langmuir and Dubinin-Radushkevich Analyses on Equilibrium Adsorption of Activated Carbon Fabrics in Aqueous Solutions. J. Chem. Technol. Biotechnol. 2000, 75, 1066–1072. [Google Scholar] [CrossRef]
- Weber, W.J.; Morris, J.C. Kinetics of Adsorption on Carbon from Solution. J. Sanit. Eng. Div. 1963, 89, 31–59. [Google Scholar] [CrossRef]
- Doan, L. Modifying Superparamagnetic Iron Oxide Nanoparticles as Methylene Blue Adsorbents: A Review. ChemEngineering 2023, 7, 77. [Google Scholar] [CrossRef]
- Yusuf, M.S.; Sutriyo; Rahmasari, R. Synthesis Processing Condition Optimization of Citrate Stabilized Superparamagnetic Iron Oxide Nanoparticles Using Direct Co-Precipitation Method. Biomed. Pharmacol. J. 2021, 14, 1533–1542. [Google Scholar] [CrossRef]
- Deng, J.; Peng, Y.; He, C.; Long, X.; Li, P.; Chan, A.S.C. Magnetic and Conducting Fe3O4-Polypyrrole Nanoparticles with Core-Shell Structure. Polym. Int. 2003, 52, 1182–1187. [Google Scholar] [CrossRef]
- Loh, K.-S.; Lee, Y.; Musa, A.; Salmah, A.; Zamri, I. Use of Fe3O4 Nanoparticles for Enhancement of Biosensor Response to the Herbicide 2,4-Dichlorophenoxyacetic Acid. Sensors 2008, 8, 5775–5791. [Google Scholar] [CrossRef]
- Gong, J.; Lin, X. Facilitated Electron Transfer of Hemoglobin Embedded in Nanosized Fe3O4 Matrix Based on Paraffin Impregnated Graphite Electrode and Electrochemical Catalysis for Trichloroacetic Acid. Microchem. J. 2003, 75, 51–57. [Google Scholar] [CrossRef]
- Ain, Q.T.; Haq, S.H.; Alshammari, A.; Al-Mutlaq, M.A.; Anjum, M.N. The Systemic Effect of PEG-NGO-Induced Oxidative Stress In Vivo in a Rodent Model. Beilstein J. Nanotechnol. 2019, 10, 901–911. [Google Scholar] [CrossRef]
- Siburian, R.; Sihotang, H.; Lumban Raja, S.; Supeno, M.; Simanjuntak, C. New Route to Synthesize of Graphene Nano Sheets. Orient. J. Chem 2018, 34, 182–187. [Google Scholar] [CrossRef]
- Sodipo, B.K.; Aziz, A.A. A Sonochemical Approach to the Direct Surface Functionalization of Superparamagnetic Iron Oxide Nanoparticles with (3-Aminopropyl)Triethoxysilane. Beilstein J. Nanotechnol. 2014, 5, 1472–1476. [Google Scholar] [CrossRef]
- Hwang, S.W.; Umar, A.; Dar, G.N.; Kim, S.H.; Badran, R.I. Synthesis and Characterization of Iron Oxide Nanoparticles for Phenyl Hydrazine Sensor Applications. Sens. Lett. 2014, 12, 97–101. [Google Scholar] [CrossRef]
- Lopez, J.A.; González, F.; Bonilla, F.A.; Zambrano, G.; Gómez, M.E. Synthesis and Characterization of Fe3O4 Magnetic Nanofluid. Rev. Latinoam. Metal. Mater. 2010, 30, 60–66. [Google Scholar]
- Adhikari, M.D.; Mukherjee, S.; Saikia, J.; Das, G.; Ramesh, A. Magnetic Nanoparticles for Selective Capture and Purification of an Antimicrobial Peptide Secreted by Food-Grade Lactic Acid Bacteria. J. Mater. Chem. B 2014, 2, 1432–1438. [Google Scholar] [CrossRef] [PubMed]
- Kharazmi, A.; Faraji, N.; Mat Hussin, R.; Saion, E.; Yunus, W.M.M.; Behzad, K. Structural, Optical, Opto-Thermal and Thermal Properties of ZnS–PVA Nanofluids Synthesized through a Radiolytic Approach. Beilstein J. Nanotechnol. 2015, 6, 529–536. [Google Scholar] [CrossRef] [PubMed]
- Bhat, N.V.; Nate, M.M.; Kurup, M.B.; Bambole, V.A.; Sabharwal, S. Effect of γ-Radiation on the Structure and Morphology of Polyvinyl Alcohol Films. Nucl. Instrum. Methods Phys. Res. Sect. B Beam Interact. Mater. At. 2005, 237, 585–592. [Google Scholar] [CrossRef]
- Lee, J.; Isobe, T.; Senna, M. Preparation of Ultrafine Fe3O4 Particles by Precipitation in the Presence of PVA at High PH. J. Colloid Interface Sci. 1996, 177, 490–494. [Google Scholar] [CrossRef]
- Korbag, I.; Mohamed Saleh, S. Studies on the Formation of Intermolecular Interactions and Structural Characterization of Polyvinyl Alcohol/Lignin Film. Int. J. Environ. Stud. 2016, 73, 226–235. [Google Scholar] [CrossRef]
- Rochman, R.A.; Wahyuningsih, S.; Ramelan, A.H.; Hanif, Q.A. Preparation of Nitrogen and Sulphur Co-Doped Reduced Graphene Oxide (RGO-NS) Using N and S Heteroatom of Thiourea. IOP Conf. Ser. Mater. Sci. Eng. 2019, 509, 012119. [Google Scholar] [CrossRef]
- Bera, M.; Chandravati; Gupta, P.; Maji, P.K. Facile One-Pot Synthesis of Graphene Oxide by Sonication Assisted Mechanochemical Approach and Its Surface Chemistry. J. Nanosci. Nanotechnol. 2018, 18, 902–912. [Google Scholar] [CrossRef]
- Thommes, M.; Kaneko, K.; Neimark, A.V.; Olivier, J.P.; Rodriguez-Reinoso, F.; Rouquerol, J.; Sing, K.S.W. Physisorption of Gases, with Special Reference to the Evaluation of Surface Area and Pore Size Distribution (IUPAC Technical Report). Pure Appl. Chem. 2015, 87, 1051–1069. [Google Scholar] [CrossRef]
- Sotomayor, F.J.; Cychosz, K.A.; Thommes, M. Characterization of Micro/Mesoporous Materials by Physisorption: Concepts and Case Studies. Acc. Mater. Surf. Res. 2018, 3, 34–50. [Google Scholar]
- Ali, H.; Ismail, A.M. Fabrication of Magnetic Fe3O4/Polypyrrole/Carbon Black Nanocomposite for Effective Uptake of Congo Red and Methylene Blue Dye: Adsorption Investigation and Mechanism. J Polym Environ. 2023, 31, 976–998. [Google Scholar] [CrossRef]
- Esmaeili, H.; Tamjidi, S. Ultrasonic-Assisted Synthesis of Natural Clay/Fe3O4/Graphene Oxide for Enhance Removal of Cr (VI) from Aqueous Media. Environ. Sci. Pollut. Res. 2020, 27, 31652–31664. [Google Scholar] [CrossRef] [PubMed]
- Heydari Sheikh Hossein, H.; Jabbari, I.; Zarepour, A.; Zarrabi, A.; Ashrafizadeh, M.; Taherian, A.; Makvandi, P. Functionalization of Magnetic Nanoparticles by Folate as Potential MRI Contrast Agent for Breast Cancer Diagnostics. Molecules 2020, 25, 4053. [Google Scholar] [CrossRef] [PubMed]
- Tayeb, A.; Hussein, D. Synthesis of TiO2 Nanoparticles and Their Photocatalytic Activity for Methylene Blue. Am. J. Nanomater. 2015, 3, 57–63. [Google Scholar]
- Pigatto, G.; Lodi, A.; Finocchio, E.; Palma, M.S.A.; Converti, A. Chitin as Biosorbent for Phenol Removal from Aqueous Solution: Equilibrium, Kinetic and Thermodynamic Studies. Chem. Eng. Process. Process Intensif. 2013, 70, 131–139. [Google Scholar] [CrossRef]
- Yao, Y.; Xu, F.; Chen, M.; Xu, Z.; Zhu, Z. Adsorption Behavior of Methylene Blue on Carbon Nanotubes. Bioresour. Technol. 2010, 101, 3040–3046. [Google Scholar] [CrossRef]
- Umoren, S.A.; Etim, U.J.; Israel, A.U. Adsorption of Methylene Blue from Industrial Effluent Using Poly (Vinyl Alcohol). J. Mater. Environ. Sci. 2013, 4, 75–86. [Google Scholar]
- Ofomaja, A.E.; Ho, Y.-S. Equilibrium Sorption of Anionic Dye from Aqueous Solution by Palm Kernel Fibre as Sorbent. Dye Pigment. 2007, 74, 60–66. [Google Scholar] [CrossRef]
- Dai, H.; Huang, Y.; Huang, H. Eco-Friendly Polyvinyl Alcohol/Carboxymethyl Cellulose Hydrogels Reinforced with Graphene Oxide and Bentonite for Enhanced Adsorption of Methylene Blue. Carbohydr. Polym. 2018, 185, 1–11. [Google Scholar] [CrossRef] [PubMed]
- Bulut, Y.; Aydın, H. A Kinetics and Thermodynamics Study of Methylene Blue Adsorption on Wheat Shells. Desalination 2006, 194, 259–267. [Google Scholar] [CrossRef]
- Hameed, B.H.; Din, A.T.M.; Ahmad, A.L. Adsorption of Methylene Blue onto Bamboo-Based Activated Carbon: Kinetics and Equilibrium Studies. J. Hazard. Mater. 2007, 141, 819–825. [Google Scholar] [CrossRef] [PubMed]
- Theydan, S.K.; Ahmed, M.J. Adsorption of Methylene Blue onto Biomass-Based Activated Carbon by FeCl3 Activation: Equilibrium, Kinetics, and Thermodynamic Studies. J. Anal. Appl. Pyrolysis 2012, 97, 116–122. [Google Scholar] [CrossRef]
- Foo, K.Y.; Hameed, B.H. Microwave-Assisted Preparation of Oil Palm Fiber Activated Carbon for Methylene Blue Adsorption. Chem. Eng. J. 2011, 166, 792–795. [Google Scholar] [CrossRef]
- Tsai, W.T.; Yang, J.M.; Lai, C.W.; Cheng, Y.H.; Lin, C.C.; Yeh, C.W. Characterization and Adsorption Properties of Eggshells and Eggshell Membrane. Bioresour. Technol. 2006, 97, 488–493. [Google Scholar] [CrossRef] [PubMed]
- Seki, Y.; Yurdakoç, K. Adsorption of Promethazine Hydrochloride with KSF Montmorillonite. Adsorption 2006, 12, 89–100. [Google Scholar] [CrossRef]
- Sharma, P.; Kaur, R.; Baskar, C.; Chung, W.-J. Removal of Methylene Blue from Aqueous Waste Using Rice Husk and Rice Husk Ash. Desalination 2010, 259, 249–257. [Google Scholar] [CrossRef]
- Peydayesh, M.; Rahbar-Kelishami, A. Adsorption of Methylene Blue onto Platanus Orientalis Leaf Powder: Kinetic, Equilibrium and Thermodynamic Studies. J. Ind. Eng. Chem. 2015, 21, 1014–1019. [Google Scholar] [CrossRef]
- Nekouei, F.; Nekouei, S.; Tyagi, I.; Gupta, V.K. Kinetic, Thermodynamic and Isotherm Studies for Acid Blue 129 Removal from Liquids Using Copper Oxide Nanoparticle-Modified Activated Carbon as a Novel Adsorbent. J. Mol. Liq. 2015, 201, 124–133. [Google Scholar] [CrossRef]
- Karaer, H.; Kaya, İ. Synthesis, Characterization of Magnetic Chitosan/Active Charcoal Composite and Using at the Adsorption of Methylene Blue and Reactive Blue4. Microporous Mesoporous Mater. 2016, 232, 26–38. [Google Scholar] [CrossRef]
- Singh, D. Studies of the Adsorption Thermodynamics of Oxamyl on Fly Ash. Adsorpt. Sci. Technol. 2000, 18, 741–748. [Google Scholar] [CrossRef]
- Özcan, A.; Öncü, E.M.; Özcan, A.S. Kinetics, Isotherm and Thermodynamic Studies of Adsorption of Acid Blue 193 from Aqueous Solutions onto Natural Sepiolite. Colloids Surf. A Physicochem. Eng. Asp. 2006, 277, 90–97. [Google Scholar] [CrossRef]
- Bhattacharyya, K.G.; Sharma, A. Kinetics and Thermodynamics of Methylene Blue Adsorption on Neem (Azadirachta Indica) Leaf Powder. Dye. Pigment. 2005, 65, 51–59. [Google Scholar] [CrossRef]
- Luo, X.-P.; Fu, S.-Y.; Du, Y.-M.; Guo, J.-Z.; Li, B. Adsorption of Methylene Blue and Malachite Green from Aqueous Solution by Sulfonic Acid Group Modified MIL-101. Microporous Mesoporous Mater. 2017, 237, 268–274. [Google Scholar] [CrossRef]
- Sharma, P.; Hussain, N.; Borah, D.J.; Das, M.R. Kinetics and Adsorption Behavior of the Methyl Blue at the Graphene Oxide/Reduced Graphene Oxide Nanosheet–Water Interface: A Comparative Study. J. Chem. Eng. Data 2013, 58, 3477–3488. [Google Scholar] [CrossRef]
- Ai, L.; Li, M.; Li, L. Adsorption of Methylene Blue from Aqueous Solution with Activated Carbon/Cobalt Ferrite/Alginate Composite Beads: Kinetics, Isotherms, and Thermodynamics. J. Chem. Eng. Data 2011, 56, 3475–3483. [Google Scholar] [CrossRef]
- Taha, A.A.; Shreadah, M.A.; Ahmed, A.M.; Heiba, H.F. Multi-Component Adsorption of Pb(II), Cd(II), and Ni(II) onto Egyptian Na-Activated Bentonite; Equilibrium, Kinetics, Thermodynamics, and Application for Seawater Desalination. J. Environ. Chem. Eng. 2016, 4, 1166–1180. [Google Scholar] [CrossRef]
- Shikuku, V.O.; Zanella, R.; Kowenje, C.O.; Donato, F.F.; Bandeira, N.M.G.; Prestes, O.D. Single and Binary Adsorption of Sulfonamide Antibiotics onto Iron-Modified Clay: Linear and Nonlinear Isotherms, Kinetics, Thermodynamics, and Mechanistic Studies. Appl. Water Sci. 2018, 8, 175. [Google Scholar] [CrossRef]
- Fytianos, K.; Voudrias, E.; Kokkalis, E. Sorption–Desorption Behaviour of 2,4-Dichlorophenol by Marine Sediments. Chemosphere 2000, 40, 3–6. [Google Scholar] [CrossRef]
- Hameed, B.H.; Ahmad, A.L.; Latiff, K.N.A. Adsorption of Basic Dye (Methylene Blue) onto Activated Carbon Prepared from Rattan Sawdust. Dye Pigment. 2007, 75, 143–149. [Google Scholar] [CrossRef]
- Reed, B.E.; Matsumoto, M.R. Modeling Cadmium Adsorption by Activated Carbon Using the Langmuir and Freundlich Isotherm Expressions. Sep. Sci. Technol. 1993, 28, 2179–2195. [Google Scholar] [CrossRef]
- Bhatt, R.R.; Shah, B.A. Sorption Studies of Heavy Metal Ions by Salicylic Acid–Formaldehyde–Catechol Terpolymeric Resin: Isotherm, Kinetic and Thermodynamics. Arab. J. Chem. 2015, 8, 414–426. [Google Scholar] [CrossRef]
- Üner, O.; Geçgel, Ü.; Bayrak, Y. Adsorption of Methylene Blue by an Efficient Activated Carbon Prepared from Citrullus Lanatus Rind: Kinetic, Isotherm, Thermodynamic, and Mechanism Analysis. Water Air Soil Pollut. 2016, 227, 247. [Google Scholar] [CrossRef]
- Chabani, M.; Amrane, A.; Bensmaili, A. Kinetic Modelling of the Adsorption of Nitrates by Ion Exchange Resin. Chem. Eng. J. 2006, 125, 111–117. [Google Scholar] [CrossRef]
- Özcan, A.; Özcan, A.S.; Tunali, S.; Akar, T.; Kiran, I. Determination of the Equilibrium, Kinetic and Thermodynamic Parameters of Adsorption of Copper(II) Ions onto Seeds of Capsicum annuum. J. Hazard. Mater. 2005, 124, 200–208. [Google Scholar] [CrossRef]
- Onyango, M.S.; Kojima, Y.; Aoyi, O.; Bernardo, E.C.; Matsuda, H. Adsorption Equilibrium Modeling and Solution Chemistry Dependence of Fluoride Removal from Water by Trivalent-Cation-Exchanged Zeolite F-9. J. Colloid Interface Sci. 2004, 279, 341–350. [Google Scholar] [CrossRef]
- Cruz-Olivares, J.; Pérez-Alonso, C.; Barrera-Díaz, C.; Natividad, R.; Chaparro-Mercado, M.C. Thermodynamical and Analytical Evidence of Lead Ions Chemisorption onto Pimenta dioica. Chem. Eng. J. 2011, 166, 814–821. [Google Scholar] [CrossRef]
- Al-Ghouti, M.A.; Da’ana, D.A. Guidelines for the Use and Interpretation of Adsorption Isotherm Models: A Review. J. Hazard. Mater. 2020, 393, 122383. [Google Scholar] [CrossRef]
- Saadi, R.; Saadi, Z.; Fazaeli, R.; Fard, N.E. Monolayer and Multilayer Adsorption Isotherm Models for Sorption from Aqueous Media. Korean J. Chem. Eng. 2015, 32, 787–799. [Google Scholar] [CrossRef]
- Tan, I.A.W.; Ahmad, A.L.; Hameed, B.H. Adsorption of Basic Dye on High-Surface-Area Activated Carbon Prepared from Coconut Husk: Equilibrium, Kinetic and Thermodynamic Studies. J. Hazard. Mater. 2008, 154, 337–346. [Google Scholar] [CrossRef]
- Liu, Y.; Bai, Q.; Lou, S.; Di, D.; Li, J.; Guo, M. Adsorption Characteristics of (−)-Epigallocatechin Gallate and Caffeine in the Extract of Waste Tea on Macroporous Adsorption Resins Functionalized with Chloromethyl, Amino, and Phenylamino Groups. J. Agric. Food Chem. 2012, 60, 1555–1566. [Google Scholar] [CrossRef] [PubMed]
- Jawad, A.H.; Surip, S.N. Upgrading Low Rank Coal into Mesoporous Activated Carbon via Microwave Process for Methylene Blue Dye Adsorption: Box Behnken Design and Mechanism Study. Diam. Relat. Mater. 2022, 127, 109199. [Google Scholar] [CrossRef]
- Jawad, A.H.; Ismail, K.; Ishak, M.A.M.; Wilson, L.D. Conversion of Malaysian Low-Rank Coal to Mesoporous Activated Carbon: Structure Characterization and Adsorption Properties. Chin. J. Chem. Eng. 2019, 27, 1716–1727. [Google Scholar] [CrossRef]
- Jawad, A.H.; Mohd Firdaus Hum, N.N.; Abdulhameed, A.S.; Mohd Ishak, M.A. Mesoporous Activated Carbon from Grass Waste via H3PO4 -Activation for Methylene Blue Dye Removal: Modelling, Optimisation, and Mechanism Study. Int. J. Environ. Anal. Chem. 2020, 6061–6077. [Google Scholar] [CrossRef]
- Kannan, N.; Sundaram, M.M. Kinetics and Mechanism of Removal of Methylene Blue by Adsorption on Various Carbons—A Comparative Study. Dye. Pigment. 2001, 51, 25–40. [Google Scholar] [CrossRef]
- Ahmad, M.N.; Ishak, M.R.; Mohammad Taha, M.; Mustapha, F.; Leman, Z.; Anak Lukista, D.D.; Irianto; Ghazali, I. Application of Taguchi Method to Optimize the Parameter of Fused Deposition Modeling (FDM) Using Oil Palm Fiber Reinforced Thermoplastic Composites. Polymers 2022, 14, 2140. [Google Scholar] [CrossRef]
- Elsayed, K.; Lacor, C. Modeling and Pareto Optimization of Gas Cyclone Separator Performance Using RBF Type Artificial Neural Networks and Genetic Algorithms. Powder Technol. 2012, 217, 84–99. [Google Scholar] [CrossRef]
- Salahuddin, N.; Akelah, A.; Elnagar, M.; Abdelwahab, M.A. Antibacterial and Cytotoxicity of Methylene Blue Loaded-Cellulose Nanocarrier on Breast Cancer Cell Line. Carbohydr. Polym. Technol. Appl. 2021, 2, 100138. [Google Scholar] [CrossRef]
- Zhang, W.; Zhang, G.; Wang, W.; Sun, H.; Du, Q.; Li, X.; Ge, X.; Li, C. Modulation of Release Mechanisms of Methylene Blue (MB) Monomers and Dimers from Silica-MB@shellac Synthesized by Antisolvent Crystallization. Mater. Sci. Eng. C 2020, 107, 110309. [Google Scholar] [CrossRef]
- Korsmeyer, R.W.; Gurny, R.; Doelker, E.; Buri, P.; Peppas, N.A. Mechanisms of Solute Release from Porous Hydrophilic Polymers. Int. J. Pharm. 1983, 15, 25–35. [Google Scholar] [CrossRef]
- Peppas, N.A.; Sahlin, J.J. A Simple Equation for the Description of Solute Release. III. Coupling of Diffusion and Relaxation. Int. J. Pharm. 1989, 57, 169–172. [Google Scholar] [CrossRef]
- Gutiérrez-Valenzuela, C.A.; Esquivel, R.; Guerrero-Germán, P.; Zavala-Rivera, P.; Rodríguez-Figueroa, J.C.; Guzmán, Z.R.; Lucero-Acuña, A. Evaluation of a Combined Emulsion Process to Encapsulate Methylene Blue into PLGA Nanoparticles. RSC Adv. 2018, 8, 414–422. [Google Scholar] [CrossRef]
- Limmatvapirat, S.; Limmatvapirat, C.; Puttipipatkhachorn, S.; Nunthanid, J.; Luangtanaanan, M.; Sriamornsak, P. Modulation of Drug Release Kinetics of Shellac-Based Matrix Tablets by in-Situ Polymerization through Annealing Process. Eur. J. Pharm. Biopharm. 2008, 69, 1004–1013. [Google Scholar] [CrossRef]














| Adsorbent | Adsorption Capacity (mg/g) | Ref. |
|---|---|---|
| SPION | 45.43 | [10] |
| SPION@Carbon sheets | 95 | [11] |
| SPION@Graphene | 45.27 | [12] |
| SPION@NH2-MWCTNs | 178.5 | [13] |
| SPION/expanded graphite | 76.2 | [14] |
| SPION/graphene oxide | 280.26 | [15] |
| SPION/MWCNT | 48.06 | [16] |
| PVA/SA/SPION@KHA gel beads | 781.92 | [17] |
| Adsorption | |
|---|---|
| Surface area (m2/g) | 25.3 |
| Pore diameter (Amstrong) | 10.3 |
| Pore volume (cm3/g) | 0.045 |
| Initial MB Concentration (mg/mL) | %LC (%) | %EE (%) | |
|---|---|---|---|
| 333.15 K | |||
| 0.017 | 15.15 ± 0.82 | 1.51 ± 0.08 | 36.90 ± 1.23 |
| 0.018 | 16.53 ± 1.12 | 1.65 ± 0.11 | 37.94 ± 0.31 |
| 0.019 | 18.69 ± 0.82 | 1.87 ± 0.08 | 40.08 ± 0.11 |
| 0.020 | 20.88 ± 0.73 | 2.09 ± 0.07 | 42.55 ± 0.39 |
| 310.15 K | |||
| 0.017 | 14.50 ± 1.33 | 1.45 ± 0.13 | 35.10 ± 0.20 |
| 0.018 | 16.34 ± 1.43 | 1.63 ± 0.14 | 37.78 ± 0.48 |
| 0.019 | 17.82 ± 1.14 | 1.73 ± 0.11 | 39.41 ± 0.08 |
| 0.020 | 20.99 ± 1.34 | 2.10 ± 0.13 | 41.95 ± 0.14 |
| 298.15 K | |||
| 0.017 | 14.92 ± 0.67 | 1.49 ± 0.07 | 33.96 ± 0.37 |
| 0.018 | 17.05 ± 2.69 | 1.70 ± 0.27 | 37.76 ± 0.90 |
| 0.019 | 19.14 ± 0.38 | 1.91 ± 0.04 | 39.73 ± 0.21 |
| 0.020 | 19.87 ± 1.68 | 1.99 ± 0.16 | 42.30 ± 0.21 |
| Temperature (K) | (J/mol) | (J/mol) | (J/mol K) |
|---|---|---|---|
| 298.15 | −90.33 | 0.39 | 0.30 |
| 310.15 | −93.98 | ||
| 333.15 | −100.98 |
| Model | Constant | 298.15 K | 310.15 K | 333.15 K |
|---|---|---|---|---|
| Langmuir | kL (L/mg) | −0.08 | −0.08 | −0.07 |
| Q0 (mg/g) | 0.19 | 0.23 | 0.37 | |
| Average RL | 1.00 ± 0.000 | 1.00 ± 0.000 | 1.00 ± 0.000 | |
| R2 | 0.773 | 0.918 | 0.828 | |
| Freundlich | kF (mg/g) | 9.3 × 10−8 | 2.38 × 10−6 | 0.000578 |
| (mg/L) | 7.91 | 6.55 | 4.31 | |
| R2 | 0.798 | 0.916 | 0.871 | |
| Dubinin-Radushkevich | kDR (mol2 J2) | 90 | 70 | 40 |
| Qm (mg/g) | 1066.14 | 510.76 | 157.23 | |
| E (kJ mol−1) | 5.56 | 7.14 | 12.5 | |
| R2 | 0.796 | 0.91 | 0.865 | |
| Temkin and Pyzhev | B1 | 135.62 | 112.65 | 75.60 |
| ln kTP (mg/g) | −2.28 | −2.25 | −2.16 | |
| R2 | 0.795 | 0.882 | 0.844 | |
| Halsey | n | −0.13 | −0.15 | −0.23 |
| kHa | 0.13 | 0.14 | 0.18 | |
| R2 | 0.798 | 0.916 | 0.871 |
| Initial MB Concentration (mg/mL) | I |
|---|---|
| 333.15 K | |
| 0.017 | 14.053 |
| 0.018 | 16.01 |
| 0.019 | 18.333 |
| 0.020 | 20.498 |
| 0.017 | 15.52 |
| 310.15 K | |
| 0.018 | 16.35 |
| 0.019 | 17.82 |
| 0.020 | 21.07 |
| 298.15 K | |
| 0.017 | 15.63 |
| 0.018 | 17.45 |
| 0.019 | 19.60 |
| 0.020 | 21.85 |
| Loaded Temperature (K) | Loaded Initial MB Concentration (mg/mL) | |||
|---|---|---|---|---|
| 0.017 | 0.018 | 0.019 | 0.02 | |
| 298.15 | 16.89 ± 1.21 | 22.93 ± 5.06 | 14.39 ± 1.92 | 20.25 ± 5.45 |
| 310.15 | 19.54 ± 0.83 | 19.04 ± 1.49 | 14.97 ± 0.31 | 14.31 ± 0.32 |
| 333.15 | 15.36 ± 0.15 | 14.10 ± 0.15 | 12.64 ± 0.61 | 11.56 ± 0.33 |
| Korsmeyer-Peppas | 0th Order | Higuchi | |||||
|---|---|---|---|---|---|---|---|
| Initial Loaded MB (mg/mL) | KKP | nKP | k0 | KH | |||
| Initial Loaded Temperature 298.15 K | |||||||
| 0.017 | 4.81 | 0.27 | 1.16 | 0.00037 | 0.06 | 0.0046 | 0.007 |
| 0.018 | 1.48 | 0.54 | 0.02 | 0.00053 | 0.02 | 0.0058 | 0.00 |
| 0.019 | 0.70 | 0.61 | 0.58 | 0.00039 | 0.01 | 0.0043 | 0.00 |
| 0.02 | 1.02 | 0.58 | 0.00 | 0.00057 | 0.02 | 0.0062 | 0.00 |
| Initial Loaded Temperature 310.15 K | |||||||
| 0.017 | 1.23 | 0.56 | 0.93 | 0.00037 | 0.06 | 0.0046 | 0.007 |
| 0.018 | 1.35 | 0.54 | 1.83 | 0.00053 | 0.02 | 0.0058 | 0.00 |
| 0.019 | 0.76 | 0.60 | 1.10 | 0.00039 | 0.01 | 0.0043 | 0.004 |
| 0.02 | 0.94 | 0.55 | 1.08 | 0.00057 | 0.02 | 0.0062 | 0.00 |
| Initial Loaded Temperature 333.15 K | |||||||
| 0.017 | 1.22 | 0.51 | 1.04 | 0.00037 | 0.06 | 0.0046 | 0.01 |
| 0.018 | 1.35 | 0.48 | 1.88 | 0.00053 | 0.02 | 0.0058 | 0.00 |
| 0.019 | 1.28 | 0.47 | 1.59 | 0.00039 | 0.01 | 0.0043 | 0.00 |
| 0.02 | 1.15 | 0.47 | 1.37 | 0.00057 | 0.03 | 0.0062 | 0.00 |
Disclaimer/Publisher’s Note: The statements, opinions and data contained in all publications are solely those of the individual author(s) and contributor(s) and not of MDPI and/or the editor(s). MDPI and/or the editor(s) disclaim responsibility for any injury to people or property resulting from any ideas, methods, instructions or products referred to in the content. |
© 2023 by the author. Licensee MDPI, Basel, Switzerland. This article is an open access article distributed under the terms and conditions of the Creative Commons Attribution (CC BY) license (https://creativecommons.org/licenses/by/4.0/).
Share and Cite
Doan, L. Surface Modifications of Superparamagnetic Iron Oxide Nanoparticles with Polyvinyl Alcohol and Graphite as Methylene Blue Adsorbents. Coatings 2023, 13, 1558. https://doi.org/10.3390/coatings13091558
Doan L. Surface Modifications of Superparamagnetic Iron Oxide Nanoparticles with Polyvinyl Alcohol and Graphite as Methylene Blue Adsorbents. Coatings. 2023; 13(9):1558. https://doi.org/10.3390/coatings13091558
Chicago/Turabian StyleDoan, Linh. 2023. "Surface Modifications of Superparamagnetic Iron Oxide Nanoparticles with Polyvinyl Alcohol and Graphite as Methylene Blue Adsorbents" Coatings 13, no. 9: 1558. https://doi.org/10.3390/coatings13091558
APA StyleDoan, L. (2023). Surface Modifications of Superparamagnetic Iron Oxide Nanoparticles with Polyvinyl Alcohol and Graphite as Methylene Blue Adsorbents. Coatings, 13(9), 1558. https://doi.org/10.3390/coatings13091558

