Next Article in Journal
Ultrasound-Auxiliary Preparation of Antifouling Cu-Enriched Titanium Oxide Ceramic Layer
Previous Article in Journal
Heterogeneous Fenton-like Catalyzation of Nanoscale Schwertmannite for Sulfamethoxazole Degradation
 
 
Font Type:
Arial Georgia Verdana
Font Size:
Aa Aa Aa
Line Spacing:
Column Width:
Background:
Article

Intense Laser Field Effect on the Photo-Ionization Cross-Section of the First Exciton Transition in a Core/Shell Quantum Dot Submitted to an Applied Electric Field

1
Departamento de Física, FACI, Universidad de Tarapacá, Casilla 7D, Arica 1000000, Chile
2
Instituto de Alta Investigación, Universidad de Tarapacá, Casilla 7D, Arica 1000000, Chile
3
Departamento de Ciencias Físicas, Universidad de La Frontera, Casilla 54-D, Temuco 4780000, Chile
4
Group of Optoelectronic of Semiconductors and Nanomaterials, ENSAM, Mohammed V University, Rabat 10100, Morocco
5
Institute of Applied Physics, Mohammed VI Polytechnic University, Ben Guerir 43150, Morocco
*
Authors to whom correspondence should be addressed.
Coatings 2023, 13(6), 1098; https://doi.org/10.3390/coatings13061098
Submission received: 28 April 2023 / Revised: 11 June 2023 / Accepted: 12 June 2023 / Published: 14 June 2023
(This article belongs to the Special Issue Quantum Dots Application in Coatings)

Abstract

In the current work, we study the intense laser pulse influences on the behaviors of the first excitonic transition in a core/shell quantum dot submitted to an electric field. Therefore, the exciton binding energy and the mean distance between the correlated electron–hole pair are discussed, considering the electric field and laser strength. Our calculations show that both external fields play significant repulsive effects. Through their effects, they oppose the attractive nature of the Coulomb potential between the correlated pair, which decreases the excitonic binding energy. We also analyze the dissociation process by determining the photo-ionization cross-section (PICS). Our findings show that the peaks of the PICS redshift when the shell thickness b a increases. For a given core radius, the laser and electric field induce a shift toward the low-energy region for the PICS; this displacement is more pronounced for the laser case. Our study also compares simple quantum dots and core/shell quantum dots to show the effect of the inner radius on the obtained results. Our theoretical results can lead to promising applications of exciton-based devices controlled by sizes and external fields.

1. Introduction

Low-dimensional systems have attracted great interest in materials science after being studied extensively, either theoretically or experimentally [1,2,3,4,5,6,7,8]. These systems are classified according to the degree of confinement of particles as 1D (quantum wells (QW)), 2D (quantum wires), and 3D (quantum dots (QD)). The increasing interest in these structures, especially QD, is due to their wide technological applications, such as memory devices, solar cells, and terahertz detectors [9,10]. Nevertheless, the modest chemical/photostability of QDs in the presence of air and moisture hinders their use and exploitation. Therefore, to increase the stability of these QDs, several approaches have been developed during the last few decades. These approaches allow for achieving new architectural configurations by coating a second material onto QDs, known as core/shell quantum dots (CSQD), which have been demonstrated to be an effective method for enhancing QD photostability and improving absorption at various wavelengths and with more accurate colors [11,12,13,14,15,16]. Therefore, due to their intriguing morphological features, which can be controlled based on shapes and thickness, this nanostructure has garnered interest because of the combination of several exceptional qualities that individual components do not possess. These systems may integrate the traits and qualities of both the coated shell and the core, where the shell surface properties can be translated to the core or vice versa, giving these structures new performances and functionalities. Depending on these properties, these classes of materials have been utilized in numerous applications such as surface coatings, light-emitting diodes, printing, corrosion protection, impact modifiers, and sensing, to mention a few [17,18,19,20]. The excitation of QDs can create an electron–hole correlated pair (exciton). From their extensive intervention in the optical process, the excitons offer a better comprehension of physical properties, such as excitonic binding energy ( E b ) and photo-ionization cross-section (PICS), which is considered an important factor in the understanding of optoelectronic properties of these types of CSQD structures [21,22,23,24,25,26].
In addition to the choice of the materials, adjusting particle size and shape is a very important factor in the synthesis or processing steps of QDs, because the physical properties of core/shell particles are much more sensitive to their size and shape. Many studies have shown that nanoparticle size can be controlled by varying the laser photon energy (wavelength), where the particle size decreases as the number of irradiations of laser pulses increases [27,28,29,30]. Moreover, the intense laser (ILF) and electric fields (EF) induce repulsive effects that counteract the attractive Coulomb interaction between the correlated pair, reducing the overall E b , and therefore affecting the physical properties of these nanomaterials [31,32,33,34,35,36,37,38,39]. The influence of these two applied fields on some nanostructures has been widely investigated in the literature [40,41,42,43,44]. In particular, the effect of ILF was analyzed for quantum rings by Radu et al., finding an analytical expression for the dressed potential [31]. The combined effects of EFs and ILFs on cylindrical QDs were studied, in which the nonlinear optical properties were computed [32]. Barseghyan et al. explored double QD electronic and optical properties, considering a lateral EF and ILF [33]. Moreover, Laroze et al. examined the states of impurity in 2D QDs and quantum rings [40]. A theoretical study of a donor dopant inside a QD under the excitation of an ILF was carried out by Yesilgul et al. [45]. They found a strong impact of the ILF on the interaction of electron impurity, which manifests in a variation in the donor E b . The impurities’ nonlinear properties of QD using an ILF were investigated by Lu et al. [46,47]. Their findings indicate that these properties respond sensitively to the ILF. Later, Burileanu reported the effect of EF and ILF on the PICS of a donor in QDs [48]. Wang et al. studied the impact of ILF on PICS of donor dopants in semiconductors [49]. They demonstrated that the PICSs shift to the lower energy of the photon when the laser intensity augments. Xie investigated the susceptibility and PICS of an exciton in a QD; he observed that the dot size and hole mass have a strong effect on the exciton susceptibility and PICS [24]. The magnetic field (B) impact on the PICS of exciton within quantum wire was discussed by Arunachalam et al. [25]. Another study was carried out by Angayarkanni concerning the pressure-dependent PICS for an exciton in a QW; they found that well width and hydrostatic strain had a significant influence on the PICSs [26]. Isono et al. realized the photo-ionization of the singlet exciton in single-crystal naphthalene; they showed that the cross-section increases monotonically with the photon energy [50]. The EF effect on the fundamental state energy of a donor dopant within QD was examined by Feddi et al. [51]. Additionally, M’zerd et al. realized the EF effect on the PICS of a dopant in a CSQD; their results show that the PICS spectra exhibit a redshift when the EF is applied [52].
However, among the available research, most of the reports focused on impurities; only some examined the ILF effect on excitons confined in QDs. Ouadghi et al. studied the E b of excitons in a simple QD under an ILF. They reported that the ILF lowers the excitonic E b [53]. The ILF effects on the exciton E b in QW were reported by Yesilgul et al.; their results show that the ILF has a significant effect on the physical properties of an exciton in the QW [54]. Concerning the EF effect on excitons, Heyn et al. studied the states of excitons in conical QDs under applied EF and B [55]. The EF effect on exciton states in CSDQs has been investigated for CdSe/ZnS and InGaAsP/InP materials [56,57]. These studies have shown a profound dependency between the excitonic properties and the applied EF.
To our best knowledge, no studies have been carried out that treat the ILF impact on the properties of an exciton confined in a spherical CSQD. For this reason, this study is regarded as a contribution to the comprehension of the behaviors of the E b and PICSs of excitons within these types of structures under the application of ILF and EF. Our computations have been made in the effective mass framework and the variational method and by selecting a good wave function considering the correlation of particles, the laser intensity, and the EF effect. This research paper starts with the introduction. The theoretical model of the calculations is given in Section 2. The discussions of our findings are reported in Section 3.

2. Background Theory

This research is based on an exciton trapped in a spherical CSQD formed by AlAs/GaAs/AlAs with AlAs of radius a and GaAs of radius b representing the core and shell, respectively. Our system is submitted to a uniform external EF and an ILF. The Hamiltonian of this CSQD in the existence of these two fields can be written as:
H X = 2 2 m e * Δ e 2 2 m h * Δ h + V c ( α ) + W i + V w i
V c ( α ) is the dressed Coulomb potential describing the interaction energy of correlated pair under the influence of the ILF of amplitude A 0 and angular frequency Ω . This dressed Coulomb interaction is given by [48,58]:
V c ( α ) = e 2 ε 1 r e r h + α + 1 r e r h α
where r e ( r h ) is the electron (hole) position. α = e A 0 / μ Ω = ( 8 π e 2 I / μ 2 c Ω 4 ) 1 / 2 is assessed as a factor that establishes the ILF strength, known as the laser-dressing parameter, which has a nanometer (angström) unit. It includes both the frequency Ω and intensity of the laser I ( k W / c m 2 ) ; c is the light velocity and μ = ( 1 m e * + 1 m h * ) 1 is the exciton reduced mass.
V w i = V w e + V w h is the potential confinement of electron and hole, respectively, and it is given as follows:
V w i = 0 a < r i < b 0 < r i < a and r i > b i = ( e , h )
a (b) is the CSQD’s internal (external) radius. The infinite potential choice is justified by very large-band offsets of the heterostructures, where particles always remain confined to the shell region.
W i ( i = e , h ) represents the dipolar electrostatic energy of the particles, given by:
W i = W e + W h = e F · ( r e r h ) ) .
Using the excitonic units a X = 2 ε / e 2 μ for length and R X * = 2 / 2 μ a X 2 for energy, as well as the dimensionless parameter f = e a X * / R X * (which measure of the E F in the effective units), the Hamiltonian (1) becomes:
H X = 1 ( 1 + σ 1 ) Δ e σ 1 ( 1 + σ 1 ) Δ h 1 r e r h + α + 1 r e r h α + W i + V w i
where σ 1 = m e * / m h * is the mass ratio and W i follows the expression:
W i = e F · ( r e r h ) = f ( z e z h )
The coordinates Hylleraas ( r e ,   r h ,   r e h ,   z e ,   z h ) are a very good choice for describing a two-bodies system [21,22,23], and therefore, the Laplacian for the electron (for the hole, the index e is substituted by h) is given by:
Δ e = 2 r e 2 + 2 r e h 2 + r e 2 r h 2 + r e h 2 r e r e h 2 r e r e h + 2 r e r e + 2 r e h r e h + 2 z e r e 2 z e r e + 2 z e z h r e h 2 z e r e h + 2 z e 2
The fundamental energy of exciton E X and the corresponding wave function Ψ X can be calculated from the equation of Schrödinger: H X Ψ X = E X Ψ X . Without an analytical solution, this equation must be solved numerically. The chosen numerical method in this work concerns the variational method with an appropriate wave function. The exciton’s fundamental energy can be determined by the minimization of the value of H X :
E X = min β , η , λ Ψ X | H X | Ψ X Ψ X | Ψ X
To describe the distortion entered by the ILF and EF, the trial wave functions are given as:
Ψ X = N 1 J 0 ( r e ) Y 0 0 ( θ e , φ e ) J 0 ( r h ) Y 0 0 ( θ h , φ h ) e β r e h e η f ( z e z h ) e λ ( z e z h )
J 0 and Y 0 0 are spherical Bessel of order zero and harmonic functions, respectively. N 1 is the normalization constant. e β r e h refers to the Coulomb correlations between the particles. e η f ( z e z h ) and e λ ( z e z h ) depict the impact of the EF and ILF on the particles. β , η , and λ are the variational parameters, which must be determined for minimizing the energy E X . The exciton E b is then given by:
E b = E e + E h E X
The photo-ionization cross-section (PICS) refers to the removal of a particle from its electronic state by the action of light, and it is governed by a dipole transition between the states. This PICS is a crucial process in a vast range of phenomena. It is the simplest process that gives detailed information about complexes excitonic, and it is mainly utilized in the characterization of semiconductor materials. In the dipole approximation, the PICS can be written as [59,60]:
σ ( ω ) = 4 π e 2 n r c ( F e f f F 0 ) ω × Ψ i ζ . r i Ψ f 2 δ ( E f E i ω )
where ω is the photon energy of excitation, n r is the index of refraction, and F e f f / F 0 is the ratio between electromagnetic radiation’s effective electrical component and the mean EF. Ψ i ζ . r i Ψ f ( i = e , h ) is the transition state’s dipole moment’s matrix component. ζ is the light wave vector’s polarization. Ψ f is the eigenfunction of the Hamiltonian given by Equation (1) without the Coulombic interaction effect, while the initial state Ψ i refers to the exciton wave function (expression (9)). Please note that Ψ i ζ . r i Ψ f depends deeply on the polarization orientation controlled by the strict selection rules. For simplicity, we accept in our study that the polarization is along the z-axis; in this case, the PICS is given as:
σ ( ω ) = 4 π e 2 n r c ( F e f f F 0 ) ω × I O P Γ ( E b ω ) 2 + Γ 2
where Γ represents the maximum line width of the Lorentzian at midheight. I O P is the optical integral of the recombination of the pair, given by the following expression:
I O P = V Ψ i ( r e , r h ) ( z e + z h ) Ψ f ( r e , r h , r e h ) d r e d r h d r e h 2
The PICS determination first requires calculating the effective field parameter F e f f at the exciton site, which is very heterogeneous and tricky to calculate because the external field related to the incoming radiation has three spatial components along all polarization orientations. There is little knowledge about how the laser influences the F e f f / F 0 ratio in such laser-driven materials. Since the form of the PICS is not influenced by the F e f f , we consider F e f f / F 0 = 1 .

3. Discussion of Results

This work aims to highlight the impact of an ILF on an exciton confined within a spherical CSQD submitted to a uniform EF, where the physical parameters of the studied GaAs material are given in Table 1 [61].
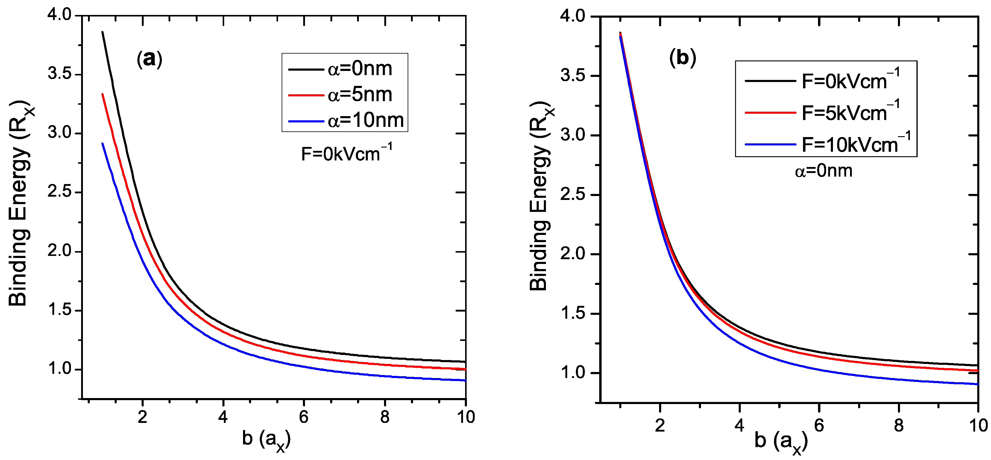
In the first approach, let us start our investigation with the case of the simple GaAs QD (SQD) ( a = 0 ). In Figure 1a,b, we present E b of the exciton, for several EF and ILF values, respectively. As a first remark, the excitonic E b enhances as the size of QD (b) decreases. This evolution is related to the effect of the confinement, where for the smallest dots, the exciton wave function becomes strongly localized within it, and the three-dimensional (bulk) values limits (= 1 R X ) are reached for large QD sizes. By examining the ILF effect, we notice that E b is a decreasing function with the α parameter because of the system’s geometric modifications brought on by the laser, which influences the exciton wave function’s localization within the QD. As a result, the Coulombic interaction between the particles becomes weak, i.e., the charge carriers are less confined under the application of ILF. Moreover, we note that the laser effect is always pronounced, even for strong confinement regions. (Our findings are consistent with those obtained for the impurity [62,63]). Regarding the EF effect (Figure 1b), we find that for a strong confinement regime ( b < 1.5 a X ), E b decreases quickly, and the confinement effect is more critical than the EF one (EF effect seems to be negligible). However, when the QD size increases, the confinement loses dominance, and the EF effect is further evident because of the expansion of the excitonic orbital close to the surface of the QD, and thus E b is more sensitive to EF in this case. The external EF and ILF can modify the quantum states of particles trapped in very low-dimensional materials. Moreover, they are powerful tools for investigating the properties of the complexes excitonic confined in CSQD. It is well known that the electronic system confinement potential is significantly altered when an ILF is used to irradiate it. This has a strong impact on the Colombian interactions between the particles, which leads to a modification in the CSQDs’ physical properties.
Next, the laser effect on the core/shell QD configuration is discussed. In Figure 2a, we show the variation of the exciton’s E b in relation to the ratio a / b , for b = 2 a X , and for α = 0 , 5 and 10 nm. We remark that at zero applied laser field, the E b variation includes two regions separated by a minimum corresponding to a / b c r i , where when a / b varies from a / b c r i to 1, E b tends towards the well-known 2 D exciton E b limits (= 4 R X ), i.e., the particles form a free rotation over the surface of the well of GaAs, and consequently, the kinetic energy becomes more important than the Coulomb energy, leading to an augmentation in the exciton E b . The rise of E b over the a / b c r i indicates that the system behaves as two-dimensional ( 2 D ) material created by some layers of G a A s . This a / b c r i value allows us to distinguish between the 3 D geometrical system and spherical surface confinement. According to the above assertions, the laser application shows a drastic reduction in the excitonic E b , especially within the a / b > 0.4 limits, because of the weakness of the confinement induced by the geometrical change resulting from the applying ILF. We also see that the E b minimum shifts to the higher values of a / b as α increases. In Figure 2b, the EF effect on the exciton E b of a CSQD is plotted for b = 2 a X and different values of EF ( F = 0 , 5 and 10 kV/cm). It is observed that E b diminishes with EF augmentation. Indeed, the application of the EF diminishes the influence of the confinement for both particles because of the increase in the structure size; therefore, E b reduces. This decrease is more pronounced when a / b tends to 1 but is still inferior to that obtained in the ILF application case (Figure 2a).
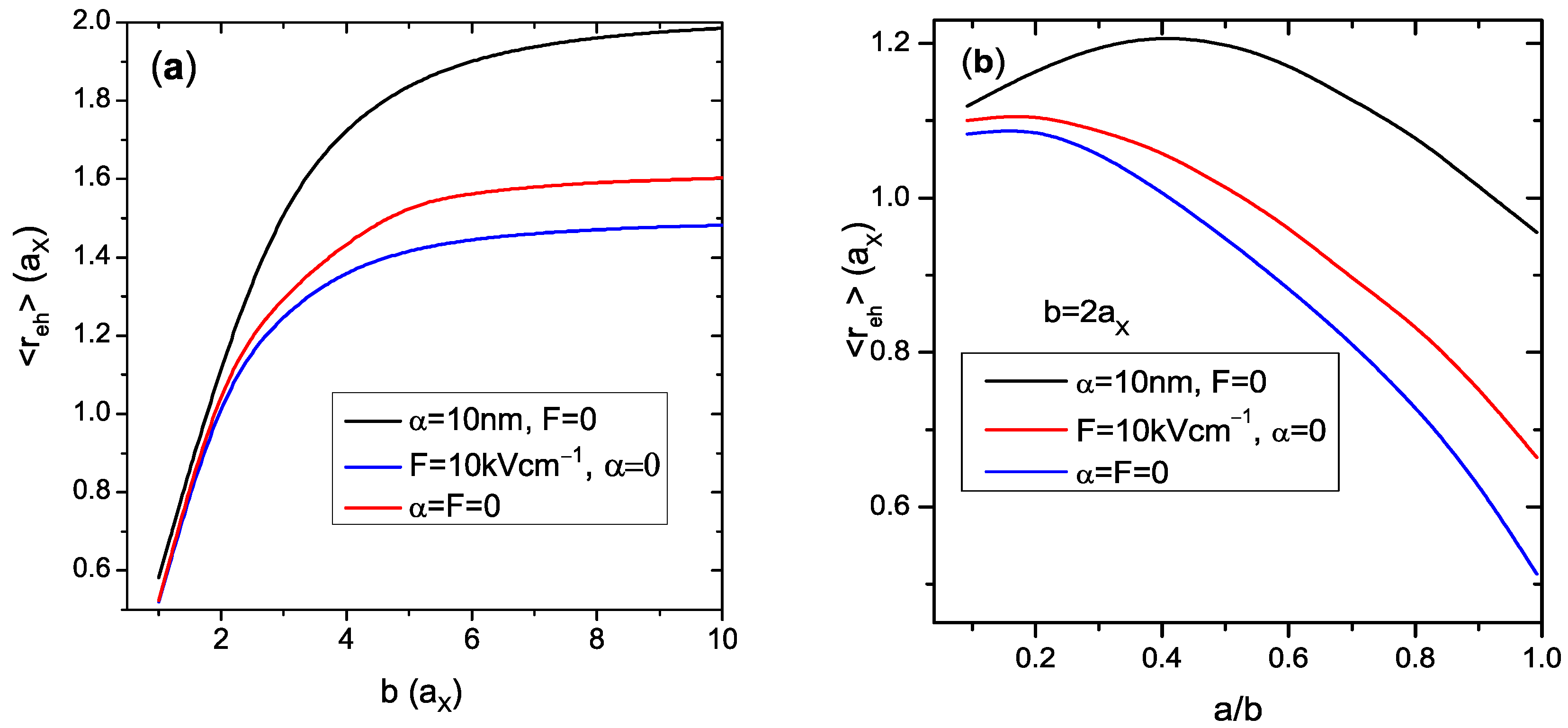
The analysis of the variation of the particles’ mean distances can support the excitonic E b behaviors. In Figure 3, we plot the electron–hole mean distance r e h given as r e h = Ψ X r e h Ψ X Ψ X | Ψ X , for a simple QD (a) and a core/shell QD (b). We remark that for the strong confinement region ( b < 1.5 a X for simple QD and a / b 1 for CSQD), the distance r e h is small because the particles are unable to penetrate the well barriers due to the infinite potential confinement, and therefore, the electron and hole become very close to each other. When the ILF and EF are applied, it is noted that r e h increases for both structures (this increase is more significant for the ILF than for the EF), i.e., with EF and ILF presence, the exciton is less confined because of the dispersion of the wave function s surrounding the QD well, leading to a decrease in the interaction between the particles. In summary, both fields weaken the pair interaction, which explains the drop in the binding energy when these fields are applied.
The following topic is photo-ionization cross-section (PICS) behaviors analysis. Its measurement in the nanostructures system is important for comprehending the optical properties of charge carriers within QDs. First, it should be noted that the PICS depends essentially on E b and the optical integral ( I O P ) variations (Equation (12)). Figure 4a shows the evolution of the PICS of the exciton in relation to the photon energy of excitation ω , for an SQD (with radius b), and b = 1 , 2 and 3 a X , in the absence of external perturbations. One can see that the PICS peaks are deeply influenced by the SQD sizes, where the decrease in the structure volume induces a remarkable blue shift (the PICS spectrum moved towards higher energy regions). These behaviors are related to the sensitivity of exciton E b with the QD size variations. The application of the EF and ILF to the system (Figure 4b and Figure 4c, respectively) show clearly an important impact on the PICS, where under the influence of these two external factors, the PICS peaks show a redshift, i.e., the ω value corresponding to the peak of the PICS shifts to the region of lower energies, because, as mentioned above, the ILF and EF increase the electron–hole distance. Consequently, the Coulomb interaction of the pair is weakened, and the excitonic E b correspondingly reduces. Therefore, a redshift of the PICS peak appears. Additionally, we see that the PICS peak intensities reduced (enhanced) with the ILF and EF application (QD radius increment) due to I O P variation. For this reason, we plot in Figure 4d the I O P variation for α = 0 , F = 0 , α = 10 nm and F = 10 kVcm−1. As we can observe from this figure, I O P increases with QD sizes while the ILF and EF reduce it, which leads to the changes observed in the intensity of the PICS peaks.
In Figure 5a, we examine the PICS according to the core–shell sizes, where we trace their evolutions versus ω energy for b = 1 , 2 and 3 a X and a = 0.5 a X , without ILF and EF effects. First, note that the threshold frequency and intensity of the peak depend on both shell radius b and shell thickness b a . This figure indicates that the PICS exhibits a resonant peak at the incident photon energy threshold frequency when ω = E b . In addition, as b a increases, the PICS peak shows a redshift due to the E b and the superposition of the wave function variations under the effect of structural confinement. By comparing the two curves corresponding to a = 0 (simple QD) and a = 0.5 a X (CSQD), we find that the peak threshold moves from ω 15.53 meV to 8.54 meV for b = 1 a X , from ω 8.9 meV to 5.2 meV for b = 2 a X and from ω 6.3 meV to 4.1 meV for b = 3 a X , respectively. The peak shifts between QD and CSQD are more important for the smaller radii than the larger ones. These behaviors are related to the difference in E b and I O P values between the SQD and CSQD (Figure 1 and Figure 2). The ILF and EF effects on the PICS of an exciton confined in a CSQD are plotted in Figure 5b,c for shell thickness b a = 1.5 a X . The application of these two external perturbations significantly affects the PICS threshold values, where the peaks are shifted to the low-energy regions of the incident photons. It is known that the application of an ILF and EF on a QD provokes a change in the system geometry, which reduces the confinement and, therefore, induces a spacing between the electron and hole (augmentation of the distance r e h (Figure 3b)), which leads to a decrease in exciton E b . Consequently, a redshift of the PICS peaks is remarked when the ILF and EF are applied. In Figure 5d, the I O P variations are presented in relation to the ratio a / b . We find that the applied ILF and EF reduce the optical integral, particularly for the small values of a / b . This I O P behavior explains the reduction in PICS peak intensities under ILF and EF effects, obtained in Figure 5b,c. Finally, we should note that the peak resonance positions are within the 3.76–0.99 terahertz range, corresponding to the low THz frequencies. These outcomes give another level of opportunity for different device applications of low THz frequencies, such as terahertz detectors, by adjusting the applied external fields and sizes of the CSQD structure.

4. Conclusions

This study investigated the influences of the ILF and EF on an exciton’s electronic and optical properties confined in a spherical AlAs/GaAs/AlAs CSQD. The exciton binding energy, the mean exciton distance, and the PICS related to the exciton are computed. We have shown that the variation of sizes, laser intensity, and EF induce important changes in the localization of PICS peaks and binding energy, where the PICS peaks are red-shifted, and the excitonic E b is decreased under these external perturbations. We have also extended our study to cover the simple quantum dot to show the core radius contribution in the exciton optical and electric properties. To our knowledge, this is the first study that has treated the effects of an ILF in the presence of an EF on the optical and electronic properties of an exciton confined in core/shell QDs. Our findings provide valuable knowledge of the behaviors of excitons within CSQD structure that can be leveraged in the development of novel coating materials with tailored optical and electronic functionalities, such as terahertz detectors by adjusting the sizes of the InAs (core) or GaAs coating (shell) materials as well as the applied external fields values.

Author Contributions

Conceptualization, N.A. and L.M.P.; methodology, N.A. and D.L.; software, N.A. and E.M.F.; formal analysis, N.A., M.E.-Y. and L.M.P.; investigation, N.A., P.D. and M.E.-Y.; resources, L.M.P., D.L.; data curation, N.A. and M.E.-Y.; writing—original draft preparation, N.A., E.M.F. and L.M.P.; writing—review and editing, N.A., L.M.P. and D.L.; visualization, L.M.P., P.D. and M.E.-Y.; supervision, D.L. and E.M.F.; project administration, L.M.P., D.L. and E.M.F. All authors have read and agreed to the published version of the manuscript.

Funding

LMP acknowledges financial support from ANID through Convocatoria Nacional Subvención a Instalación en la Academia Convocatoria Año 2021, Grant SA77210040. DL acknowledges partial financial support from Centers of Excellence with BASAL/ANID financing, AFB180001, CEDENNA. PD, LMP, and DL acknowledge partial financial support from FONDECYT 1231020.

Institutional Review Board Statement

Not applicable.

Informed Consent Statement

Not applicable.

Data Availability Statement

Not applicable.

Conflicts of Interest

The authors declare no conflict of interest.

References

  1. Bimberg, D.; Grundmann, M.; Ledentsov, N.N. Quantum Dot Heterostructures; Wiley: New York, NY, USA, 1999. [Google Scholar]
  2. Raz, T.; Ritter, D.; Bahir, G. Formation of InAs self-assembled quantum rings on InP. Appl. Phys. Lett. 2003, 82, 1706–1708. [Google Scholar] [CrossRef]
  3. Zhang, D.; Lou, W.; Miao, M.; Zhang, S.C.; Chang, K. Interface-induced topological insulator transition in GaAs/Ge/GaAs quantum wells. Phys. Rev. Lett. 2013, 111, 156402. [Google Scholar] [CrossRef] [PubMed]
  4. Ren, Y.; Qiao, Z.; Niu, Q. Topological phases in twodimensional materials: A review. Rep. Prog. Phys. 2016, 79, 066501. [Google Scholar] [CrossRef] [PubMed]
  5. Marquardt, B.; Geller, M.; Baxevanis, B.; Pfannkuche, D.; Wieck, A.D.; Reuter, D.; Lorke, A. Transport spectroscopy of non-equilibrium many-particle spin states in self-assembled quantum dots. Nat. Commun. 2011, 2, 209. [Google Scholar] [CrossRef] [PubMed]
  6. Meunier, T.; Vink, I.T.; Willems van Beveren, L.H.; Tielrooij, K.-J.; Hanson, R.; Koppens, F.H.L.; Tranitz, H.P.; Wegscheider, W.; Kouwenhoven, L.P.; Vandersypen, L.M.K. Experimental Signature of Phonon-Mediated Spin Relaxation in a Two-Electron Quantum Dot. Phys. Rev. Lett. 2007, 98, 126601. [Google Scholar] [CrossRef]
  7. Fujisawa, T.; Austing, D.G.; Tokura, Y.; Hirayama, Y.; Tarucha, S. Allowed and forbidden transitions in artificial hydrogen and helium atoms. Nature 2002, 419, 278–280. [Google Scholar] [CrossRef]
  8. Hofmann, A.; Maisi, V.F.; Gold, C.; Krähenmann, T.; Rössler, C.; Basset, J.; Märki, P.; Reichl, C.; Wegscheider, W.; Ensslin, K.; et al. Measuring the Degeneracy of Discrete Energy Levels Using a GaAs/AlGaAs Quantum Dot. Phys. Rev. Lett. 2016, 117, 206803. [Google Scholar] [CrossRef]
  9. El Fatimy, A.; Myers-Ward, R.L.; Boyd, A.K.; Daniels, K.M.; Gaskill, D.K.; Barbara, P. Epitaxial graphene quantum dots for high-performance terahertz bolometers. Nat. Nanotech. 2016, 11, 335–338. [Google Scholar] [CrossRef]
  10. Streetman, B.; Banerjee, S. Solid State Electronic Devices, 6th ed.; University of Texas: Austin, TX, USA, 2009. [Google Scholar]
  11. Nelms, N.; Dowson, J. Goldblack coating for thermal infrared detectors. Sens. Actuators A 2005, 120, 403–407. [Google Scholar] [CrossRef]
  12. Chen, Y.F.; Vela, J.; Htoon, H.; Casson, J.L.; Werder, D.J.; Bussian, D.A.; Klimov, V.I.; Hollingsworth, J.A. “Giant” Multishell CdSe Nanocrystal Quantum Dots with Suppressed Blinking. J. Am. Chem. Soc. 2008, 130, 5026–5027. [Google Scholar] [CrossRef]
  13. Mahler, B.; Spinicelli, P.; Buil, S.; Quelin, X.; Hermier, J.; Dubertret, B. Towards non-blinking colloidal quantum dots. Nat. Mater. 2008, 7, 659–664. [Google Scholar] [CrossRef] [PubMed]
  14. Li, Z.; Yao, W.; Kong, L.; Zhao, Y.; Li, L. A General Method for the Synthesis of Ultra-Stable Core/Shell Quantum Dots by Aluminum Doping. J. Am. Chem. Soc. 2015, 137, 12430–12433. [Google Scholar] [CrossRef] [PubMed]
  15. Heyes, C.D.; Kobitski, A.Y.; Breus, V.V.; Nienhaus, G.U. Effect of the shell on the blinking statistics of core-shell quantum dots: A single-particle fluorescence study. Phys. Rev. B 2007, 75, 125431. [Google Scholar] [CrossRef]
  16. Vitshima, N.A.; Silwana, B.; Tsolekile, N.; Matoetoe, M.C. Effect of ZnS coating on the optoelectronic properties of aqueous glutathione capped AgInS quantum dots. J. Alloys Compd. 2022, 900, 163386. [Google Scholar] [CrossRef]
  17. Yu, P.; Cao, S.; Shan, Y.; Bi, Y.; Hu, Y.; Zeng, R.; Zou, B.; Wang, Y.; Zhao, J. Highly efficient green InP-based quantum dot light-emitting diodes regulated by inner alloyed shell component. Light Sci. Appl. 2022, 11, 162. [Google Scholar] [CrossRef]
  18. Bertuoli, P.T.; Baldissera, A.F.; Zattera, A.J.; Ferreira, C.A.; Alemán, C.; Armelin, E. Polyaniline coated core-shell polyacrylates: Control of film formation and coating application for corrosion protection. Prog. Org. Coat. 2019, 128, 40–51. [Google Scholar] [CrossRef]
  19. Bär, M.; Lehmann, S.; Rusu, M.; Grimm, A.; Kotschau, I.; Lauermann, I.; Pistor, P.; Sokoll, S.; Schedel-Niedrig, T.; Lux-Steiner, M.C.; et al. Cd2+/NH3 treatment-induced formation of a CdSe surface layer on CuGaSe2 thin-film solar cell absorbers. Appl. Phys. Lett. 2005, 86, 222107. [Google Scholar] [CrossRef]
  20. Ren, Y.; Li, W.; Cao, Z.; Jiao, Y.; Xu, J.; Liu, P.; Li, S.; Li, X. Robust TiO2 nanorods-SiO2 core-shell coating with high-performance self-cleaning properties under visible light. Appl. Surf. Sci. 2020, 509, 145377. [Google Scholar] [CrossRef]
  21. Aghoutane, N.; El-Yadri, M.; Feddi, E.; Dujardin, F.; Sadoqi, M.; Long, G. Pressure effect on an exciton in a wurtzite AlN/GaN/AlN spherical core/shell quantum dot. MRS Commun. 2018, 8, 527–532. [Google Scholar] [CrossRef]
  22. Zouitine, A.; Ibral, A.; Assaid, E.; Dujardin, F.; Feddi, E. Spatial separation effect on the energies of uncorrelated and correlated electron-hole pair in CdSe/ZnS and InAs/InP core/ shell spherical quantum dots. Superlattices Microst. 2017, 109, 123–133. [Google Scholar] [CrossRef]
  23. Aghoutane, N.; El-Yadri, M.; Feddi, E.; Aouami, A.; Dujardin, F.; El haouari, M. Optical Absorption of Excitons in Strained Quasi 2D GaN Quantum Dot. Phys. Status Solidi 2019, 256, 1800361. [Google Scholar] [CrossRef]
  24. Xie, W. Third-order nonlinear optical susceptibility and photoionization of an exciton in quantum dots. Superlattices Microst. 2013, 56, 8–15. [Google Scholar] [CrossRef]
  25. Arunachalama, N.; John Peter, A.; Kyoo Yoo, C. Exciton optical absorption coefficients and refractive index changes in a strained InAs/GaAs quantum wire: The effect of the magnetic field. J. Lumin. 2012, 132, 1311–1317. [Google Scholar] [CrossRef]
  26. Angayarkanni, N.; John Peter, A.; Woo Lee, C. Effects of hydrostatic pressure on intrawell and interwell excitons in a strained GaAs/GaAlAs double quantum well system. Phys. E 2011, 44, 590–596. [Google Scholar] [CrossRef]
  27. Subhan, A.; Mourad, A.-H.I.; Al-Douri, Y. Influence of Laser Process Parameters, Liquid Medium, and External Field on the Synthesis of Colloidal Metal Nanoparticles Using Pulsed Laser Ablation in Liquid: A Review. Nanomaterials 2022, 12, 2144. [Google Scholar] [CrossRef] [PubMed]
  28. Mostafa, A.M.; Mwafy, E.A. Synthesis of ZnO and Au@ZnO core/shell nano-catalysts by pulsed laser ablation in different liquid media. J. Mat. Res. Technol. 2020, 9, 3241–3248. [Google Scholar] [CrossRef]
  29. Tsuji, T.; Iryo, K.; Watanabe, N.; Tsuji, M. Preparation of silver nanoparticles by laser ablation in solution: Influence of laser wavelength on particle size. Appl. Surf. Sci. 2002, 202, 80–85. [Google Scholar] [CrossRef]
  30. Hodak, J.H.; Henglein, A.; Giersig, M.; Hartland, G.V. Laser-Induced Inter-Diffusion in AuAg Core−Shell Nanoparticles. J. Phys. Chem. B 2000, 104, 11708–11718. [Google Scholar] [CrossRef]
  31. Radu, A.; Kirakosyan, A.A.; Laroze, D.; Baghramyan, H.M.; Barseghyan, M.G. Electronic and intraband optical properties of single quantum rings under intense laser field radiation. J. Appl. Phys. 2014, 116, 093101. [Google Scholar] [CrossRef]
  32. Ungan, F.; Bahar, M.K.; Barseghyan, M.G.; Pérez, L.M.; Laroze, D. Effect of intense laser and electric fields on nonlinear optical properties of cylindrical quantum dot with Morse potential. Optik 2021, 236, 166621. [Google Scholar] [CrossRef]
  33. Barseghyan, M.G.; Mughnetsyan, V.N.; Baghramyan, H.M.; Ungan, F.; Pérez, L.M.; Laroz, D. Control of electronic and optical properties of a laser dressed double quantum dot molecule by lateral electric field. Phys. E 2021, 126, 114362. [Google Scholar] [CrossRef]
  34. Tiutiunnyk, A.; Pérez-Quintana, I.; Laroze, D.; Duque, C.A.; Mora-Ramos, M.E. Influence of conduction-band non-parabolicity on terahertz intersubband Raman gain in GaAs/InGaAs step asymmetric quantum wells. Appl. Phys. A 2020, 126, 23. [Google Scholar] [CrossRef]
  35. Baghramyan, H.M.; Barseghyan, M.G.; Kirakosyan, A.A.; Ojeda, J.H.; Bragard, J.; Laroze, D. Modeling of anisotropic properties of double quantum rings by the terahertz laser field. Sci. Rep. 2018, 8, 6145. [Google Scholar] [CrossRef]
  36. Radu, A.; Kirakosyan, A.A.; Laroze, D.; Barseghyan, M.G. The effects of the intense laser and homogeneous electric fields on the electronic and intraband optical properties of a GaAs/Ga0.7Al0.3As quantum ring. Semicond. Sci. Technol. 2015, 30, 045006. [Google Scholar] [CrossRef]
  37. Baghramyan, H.M.; Barseghyan, M.G.; Kirakosyan, A.A.; Laroze, D. Intense Terahertz Radiation Effect on Electronic and Intraband Optical Properties of Semiconductor Quantum Rings. In Physics of Quantum Rings; NanoScience and Technology; Fomin, V., Ed.; Springer: Cham, Switzerland, 2018. [Google Scholar]
  38. Suaza, Y.A.; Fulla, M.R.; Laroze, D.; Baghramyan, H.M.; Marin, J.H. Intense laser field effect on D 2 + molecular complex localized in semiconductor quantum wells. Chem. Phys. Lett. 2019, 730, 384–390. [Google Scholar] [CrossRef]
  39. Turkoglu, A.; Aghoutane, N.; Feddi, E.; Mora-Ramos, M.E.; Ungan, F. Non-resonant intense laser field effect on the nonlinear optical properties associated to the inter- and intra-band transitions in an anharmonic quantum well submitted to electric andmagnetic field. Solid State Commun. 2021, 334, 114390. [Google Scholar] [CrossRef]
  40. Laroze, D.; Barseghyan, M.; Radu, A.; Kirakosyan, A.A. Laser driven impurity states in two-dimensional quantum dots and quantum rings. Phys. B 2016, 501, 1–4. [Google Scholar] [CrossRef]
  41. Barseghyan, M.G.; Baghramyan, H.M.; Kirakosyan, A.A.; Laroze, D. The transition from double to single quantum dot induced by THz laser field. Phys. E 2020, 116, 113758. [Google Scholar] [CrossRef]
  42. Ungan, F.; Mora-Ramos, M.E.; Barseghyan, M.G.; Pérez, L.M.; Laroze, D. Intersubband optical properties of a laser-dressed asymmetric triple quantum well nanostructure. Phys. E 2019, 114, 113647. [Google Scholar] [CrossRef]
  43. Kasapoglu, E.; Sari, H.; Sökmen, I.; Vinasco, J.A.; Laroze, D.; Duque, C.A. Effects of intense laser field and position dependent effective mass in Razavy quantum wells and quantum dots. Phys. E 2021, 126, 114461. [Google Scholar] [CrossRef]
  44. Barseghyan, M.G.; Kirakosyan, A.A.; Laroze, D. Laser driven intraband optical transitions in two-dimensional quantum dots and quantum rings. Opt. Commun. 2017, 383, 571–576. [Google Scholar] [CrossRef]
  45. Yesilgul, U.; Sakiroglu, S.; Kasapoglu, E.; Sari, H.; Sökmen, I. Hydrogenic impurities in quantum dots under intense high-frequency laser field. Phys. B 2011, 406, 1441–1444. [Google Scholar] [CrossRef]
  46. Lu, L.; Xie, W.; Hassanabadi, H. The effects of intense laser on nonlinear properties of shallow donor impurities in quantum dots with the Woods–Saxon potential. J. Lumin. 2011, 131, 2538–2543. [Google Scholar] [CrossRef]
  47. Lu, L.; Xie, W.; Hassanabadi, H. Laser field effect on the nonlinear optical properties of donor impurities in quantum dots with Gaussian potential. Phys. B 2011, 406, 4129–04134. [Google Scholar] [CrossRef]
  48. Burileanu, L.M. Photoionization cross-section of donor impurity in spherical quantum dots under electric and intense laser fields. J. Lumin. 2014, 145, 684–689. [Google Scholar] [CrossRef]
  49. Wang, W.; Xu, L.; Wei, X.; Zhang, S. Intense-terahertz-laser modulated photoionization cross section of shallow-donor impurity in semiconductors in a magnetic field. Results Phys. 2021, 20, 103692. [Google Scholar] [CrossRef]
  50. Isono, Y.; Morikawa, E.; Kotani, M. Two-color pulsed photoconductivity study of naphthalene single crystal: Photoionization of singlet exciton. Chem. Phys. Lett. 1986, 125, 344–348. [Google Scholar] [CrossRef]
  51. Feddi, E.; El Haouari, M.; Assaid, E.; Stébé, B.; El Khamkhami, J.; Dujardin, F. Magnetic field effect on the polarizability of bound polarons in quantum nanocrystallites. Phys. Rev. B 2003, 68, 235313. [Google Scholar] [CrossRef]
  52. M’zerd, S.; El Haouari, M.; Aghoutane, N.; El-Yadri, M.; Feddi, E.; Dujardin, F.; Zorkani, I.; Jorio, A.; Sadoqi, M.; Long, G. Electric field effect on the photoionization cross section of a single dopant in a strained AlAs/GaAs spherical core/shell quantum dot. J. Appl. Phys. 2018, 124, 164303. [Google Scholar] [CrossRef]
  53. Ouadghi, A.; Diouri, J.; Khamkhami, J. Binding energy of excitons in an infinitely deep spherical quantum dot under intense THz laser field. Pramana J. Phys. 2020, 94, 30. [Google Scholar] [CrossRef]
  54. Yesilgul, U.; Ungan, F.; Kasapoglu, E.; Sari, H.; Sökmen, I. Effects of an intense, high-frequency laser field on the binding energy of excitons confined in a GaInNAs/GaAs quantum well. Phys. B 2012, 407, 528–532. [Google Scholar] [CrossRef]
  55. Heyn, C.; Radu, A.; Vinasco, J.A.; Laroze, D.; Restrepo, R.L.; Tulupenko, V.; Hieu, N.N.; Phuc, H.V.; Mora-Ramos, M.E.; Ojeda, J.H.; et al. Exciton states in conical quantum dots under applied electric and magnetic fields. Opt. Laser Technol. 2021, 139, 106953. [Google Scholar] [CrossRef]
  56. Niculescu, E.C.; Cristea, M.; Spandonide, A. Exciton states in CdSe/ZnS core–shell quantum dots under applied electric fields. Superlattices Microst. 2013, 63, 1–9. [Google Scholar] [CrossRef]
  57. Hu, M.; Wang, H.; Gong, Q.; Wang, S. Exciton states in InGaAsP/InP core–shell quantum dots under an external electric field. J. Comput. Electron. 2019, 18, 1243–1250. [Google Scholar] [CrossRef]
  58. Ehlotzky, F. Positronium decay in intense high frequency laser fields. Phys. Lett. A 1988, 126, 524–527. [Google Scholar] [CrossRef]
  59. Lax, M. Proceedings of the Atlantic City Conference on Photoconductivity; John Wiley Sons: New York, NY, USA, 1956. [Google Scholar]
  60. Barseghyan, M.G.; Hakimyfard, A.; Lopez, S.Y.; Duque, C.A.; Kirakosyan, A.A. Simultaneous effects of hydrostatic pressure and temperature on donor binding energy and photoionization cross section in pöschl–teller quantum well. Phys. E 2010, 42, 1618. [Google Scholar] [CrossRef]
  61. John Peter, A. The effect of hydrostatic pressure on binding energy of impurity states in spherical quantum dots. Phys. E 2005, 28, 225–229. [Google Scholar] [CrossRef]
  62. Varshni, Y.P. Effect of an intense laser field on donor impurities in spherical quantum dots. Superlattices Microst. 2001, 30, 45–52. [Google Scholar] [CrossRef]
  63. Xu, T.; Yuan, L.; Fang, J. The laser-dressed potential binding energy of a hydrogenic impurity in a spherical quantum dot by the analytical transfer matrix method. Phys. B 2009, 404, 3445–3447. [Google Scholar] [CrossRef]
Figure 1. Excitonic E b variation versus the QD radius b. (a) For α = 0 , 5 and 10 nm. (b) For F = 0 , 5 and 10 kV/cm.
Figure 1. Excitonic E b variation versus the QD radius b. (a) For α = 0 , 5 and 10 nm. (b) For F = 0 , 5 and 10 kV/cm.
Coatings 13 01098 g001
Figure 2. Excitonic E b variation versus the core/shell radii ratio a / b for b = 2 a X . (a) For α = 0 , 5 and 10 nm. (b) For F = 0 , 5 and 10 kV/cm.
Figure 2. Excitonic E b variation versus the core/shell radii ratio a / b for b = 2 a X . (a) For α = 0 , 5 and 10 nm. (b) For F = 0 , 5 and 10 kV/cm.
Coatings 13 01098 g002
Figure 3. Variation of the average distance r e h , for α = F = 0 , α = 10 and F = 10 kV/cm for simple QD (a) and for CSQD (b).
Figure 3. Variation of the average distance r e h , for α = F = 0 , α = 10 and F = 10 kV/cm for simple QD (a) and for CSQD (b).
Coatings 13 01098 g003
Figure 4. Photo-ionization cross-section of the exciton confined in the QD as a function of ω . (a) For b = 1 , 2 and 3 a X . (b) For b = 2 a X and for α = 0 , 5 and 10 nm). (c) For b = 2 a X and for ( F = 0 , 5 and 10 kV/cm. (d) Optical integral variation versus QD radius b for α = F = 0 , α = 10 nm and F = 10 kV/cm.
Figure 4. Photo-ionization cross-section of the exciton confined in the QD as a function of ω . (a) For b = 1 , 2 and 3 a X . (b) For b = 2 a X and for α = 0 , 5 and 10 nm). (c) For b = 2 a X and for ( F = 0 , 5 and 10 kV/cm. (d) Optical integral variation versus QD radius b for α = F = 0 , α = 10 nm and F = 10 kV/cm.
Coatings 13 01098 g004
Figure 5. Photo-ionization cross-section of the exciton confined in CSQD versus ω for a = 0.5 a X . (a) For b = 1 , 2 and 3 a X . (b) For b = 2 a X and for α = 0 , 5 and 10 nm). (c) For b = 2 a X and for ( F = 0 , 5 and 10 kV/cm. (d) Optical integral variation versus the ratio a / b for a = 0.5 a X and b = 2 a X and for α = F = 0 , α = 10 nm and F = 10 kV/cm.
Figure 5. Photo-ionization cross-section of the exciton confined in CSQD versus ω for a = 0.5 a X . (a) For b = 1 , 2 and 3 a X . (b) For b = 2 a X and for α = 0 , 5 and 10 nm). (c) For b = 2 a X and for ( F = 0 , 5 and 10 kV/cm. (d) Optical integral variation versus the ratio a / b for a = 0.5 a X and b = 2 a X and for α = F = 0 , α = 10 nm and F = 10 kV/cm.
Coatings 13 01098 g005
Table 1. Physical parameters of the studied material.
Table 1. Physical parameters of the studied material.
E g (eV) m e * / m 0 m h * / m 0 ε R X (meV) a X (nm)
1.6070.0670.07913.182.8421.78
Disclaimer/Publisher’s Note: The statements, opinions and data contained in all publications are solely those of the individual author(s) and contributor(s) and not of MDPI and/or the editor(s). MDPI and/or the editor(s) disclaim responsibility for any injury to people or property resulting from any ideas, methods, instructions or products referred to in the content.

Share and Cite

MDPI and ACS Style

Pérez, L.M.; Aghoutane, N.; Laroze, D.; Díaz, P.; El-Yadri, M.; Feddi, E.M. Intense Laser Field Effect on the Photo-Ionization Cross-Section of the First Exciton Transition in a Core/Shell Quantum Dot Submitted to an Applied Electric Field. Coatings 2023, 13, 1098. https://doi.org/10.3390/coatings13061098

AMA Style

Pérez LM, Aghoutane N, Laroze D, Díaz P, El-Yadri M, Feddi EM. Intense Laser Field Effect on the Photo-Ionization Cross-Section of the First Exciton Transition in a Core/Shell Quantum Dot Submitted to an Applied Electric Field. Coatings. 2023; 13(6):1098. https://doi.org/10.3390/coatings13061098

Chicago/Turabian Style

Pérez, Laura M., Noreddine Aghoutane, David Laroze, Pablo Díaz, Mohamed El-Yadri, and EL Mustapha Feddi. 2023. "Intense Laser Field Effect on the Photo-Ionization Cross-Section of the First Exciton Transition in a Core/Shell Quantum Dot Submitted to an Applied Electric Field" Coatings 13, no. 6: 1098. https://doi.org/10.3390/coatings13061098

APA Style

Pérez, L. M., Aghoutane, N., Laroze, D., Díaz, P., El-Yadri, M., & Feddi, E. M. (2023). Intense Laser Field Effect on the Photo-Ionization Cross-Section of the First Exciton Transition in a Core/Shell Quantum Dot Submitted to an Applied Electric Field. Coatings, 13(6), 1098. https://doi.org/10.3390/coatings13061098

Note that from the first issue of 2016, this journal uses article numbers instead of page numbers. See further details here.

Article Metrics

Back to TopTop