Intense Laser Field Effect on the Photo-Ionization Cross-Section of the First Exciton Transition in a Core/Shell Quantum Dot Submitted to an Applied Electric Field
Abstract
1. Introduction
2. Background Theory
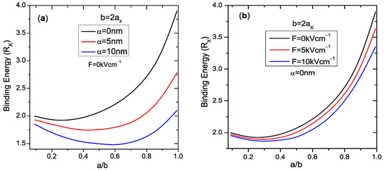
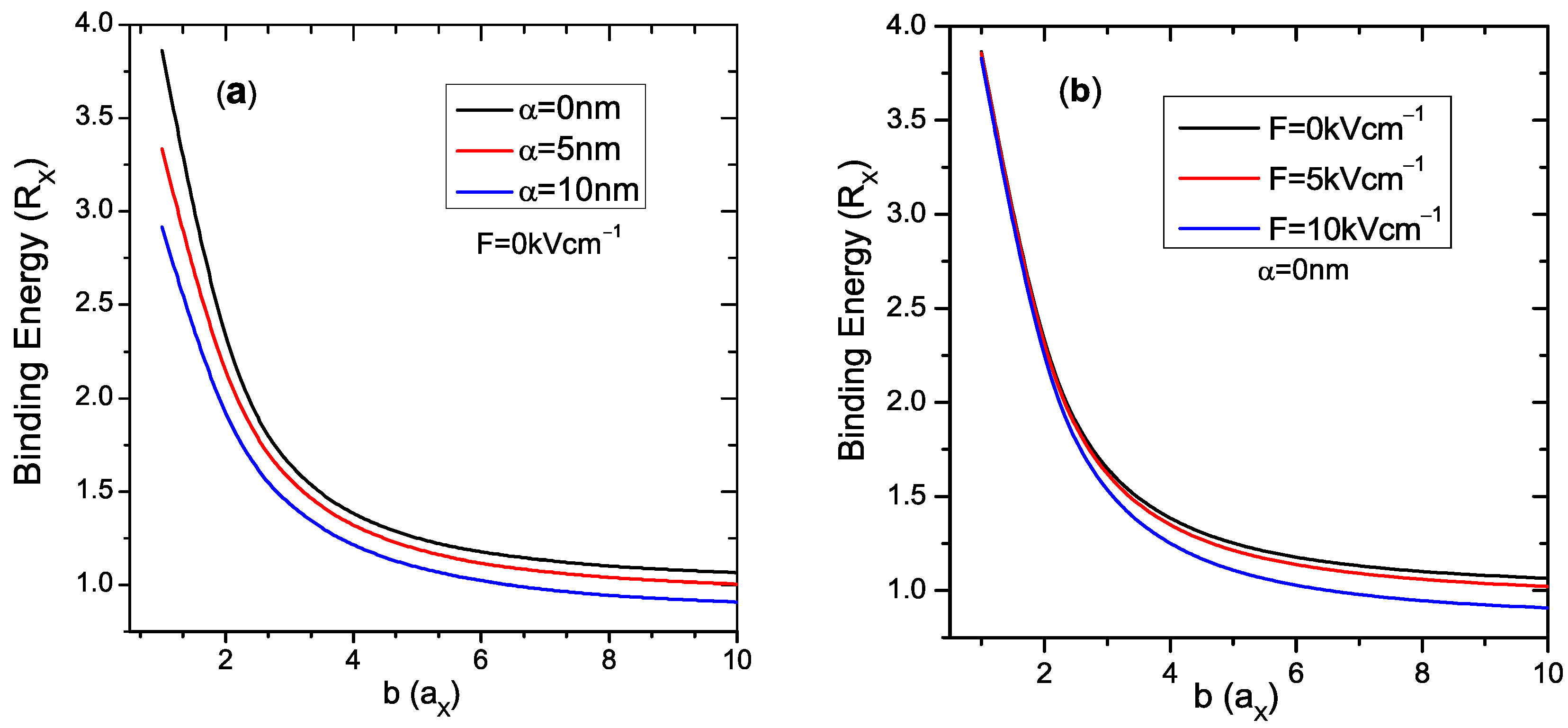
3. Discussion of Results
4. Conclusions
Author Contributions
Funding
Institutional Review Board Statement
Informed Consent Statement
Data Availability Statement
Conflicts of Interest
References
- Bimberg, D.; Grundmann, M.; Ledentsov, N.N. Quantum Dot Heterostructures; Wiley: New York, NY, USA, 1999. [Google Scholar]
- Raz, T.; Ritter, D.; Bahir, G. Formation of InAs self-assembled quantum rings on InP. Appl. Phys. Lett. 2003, 82, 1706–1708. [Google Scholar] [CrossRef]
- Zhang, D.; Lou, W.; Miao, M.; Zhang, S.C.; Chang, K. Interface-induced topological insulator transition in GaAs/Ge/GaAs quantum wells. Phys. Rev. Lett. 2013, 111, 156402. [Google Scholar] [CrossRef] [PubMed]
- Ren, Y.; Qiao, Z.; Niu, Q. Topological phases in twodimensional materials: A review. Rep. Prog. Phys. 2016, 79, 066501. [Google Scholar] [CrossRef] [PubMed]
- Marquardt, B.; Geller, M.; Baxevanis, B.; Pfannkuche, D.; Wieck, A.D.; Reuter, D.; Lorke, A. Transport spectroscopy of non-equilibrium many-particle spin states in self-assembled quantum dots. Nat. Commun. 2011, 2, 209. [Google Scholar] [CrossRef] [PubMed][Green Version]
- Meunier, T.; Vink, I.T.; Willems van Beveren, L.H.; Tielrooij, K.-J.; Hanson, R.; Koppens, F.H.L.; Tranitz, H.P.; Wegscheider, W.; Kouwenhoven, L.P.; Vandersypen, L.M.K. Experimental Signature of Phonon-Mediated Spin Relaxation in a Two-Electron Quantum Dot. Phys. Rev. Lett. 2007, 98, 126601. [Google Scholar] [CrossRef]
- Fujisawa, T.; Austing, D.G.; Tokura, Y.; Hirayama, Y.; Tarucha, S. Allowed and forbidden transitions in artificial hydrogen and helium atoms. Nature 2002, 419, 278–280. [Google Scholar] [CrossRef]
- Hofmann, A.; Maisi, V.F.; Gold, C.; Krähenmann, T.; Rössler, C.; Basset, J.; Märki, P.; Reichl, C.; Wegscheider, W.; Ensslin, K.; et al. Measuring the Degeneracy of Discrete Energy Levels Using a GaAs/AlGaAs Quantum Dot. Phys. Rev. Lett. 2016, 117, 206803. [Google Scholar] [CrossRef]
- El Fatimy, A.; Myers-Ward, R.L.; Boyd, A.K.; Daniels, K.M.; Gaskill, D.K.; Barbara, P. Epitaxial graphene quantum dots for high-performance terahertz bolometers. Nat. Nanotech. 2016, 11, 335–338. [Google Scholar] [CrossRef]
- Streetman, B.; Banerjee, S. Solid State Electronic Devices, 6th ed.; University of Texas: Austin, TX, USA, 2009. [Google Scholar]
- Nelms, N.; Dowson, J. Goldblack coating for thermal infrared detectors. Sens. Actuators A 2005, 120, 403–407. [Google Scholar] [CrossRef]
- Chen, Y.F.; Vela, J.; Htoon, H.; Casson, J.L.; Werder, D.J.; Bussian, D.A.; Klimov, V.I.; Hollingsworth, J.A. “Giant” Multishell CdSe Nanocrystal Quantum Dots with Suppressed Blinking. J. Am. Chem. Soc. 2008, 130, 5026–5027. [Google Scholar] [CrossRef]
- Mahler, B.; Spinicelli, P.; Buil, S.; Quelin, X.; Hermier, J.; Dubertret, B. Towards non-blinking colloidal quantum dots. Nat. Mater. 2008, 7, 659–664. [Google Scholar] [CrossRef] [PubMed]
- Li, Z.; Yao, W.; Kong, L.; Zhao, Y.; Li, L. A General Method for the Synthesis of Ultra-Stable Core/Shell Quantum Dots by Aluminum Doping. J. Am. Chem. Soc. 2015, 137, 12430–12433. [Google Scholar] [CrossRef] [PubMed]
- Heyes, C.D.; Kobitski, A.Y.; Breus, V.V.; Nienhaus, G.U. Effect of the shell on the blinking statistics of core-shell quantum dots: A single-particle fluorescence study. Phys. Rev. B 2007, 75, 125431. [Google Scholar] [CrossRef]
- Vitshima, N.A.; Silwana, B.; Tsolekile, N.; Matoetoe, M.C. Effect of ZnS coating on the optoelectronic properties of aqueous glutathione capped AgInS quantum dots. J. Alloys Compd. 2022, 900, 163386. [Google Scholar] [CrossRef]
- Yu, P.; Cao, S.; Shan, Y.; Bi, Y.; Hu, Y.; Zeng, R.; Zou, B.; Wang, Y.; Zhao, J. Highly efficient green InP-based quantum dot light-emitting diodes regulated by inner alloyed shell component. Light Sci. Appl. 2022, 11, 162. [Google Scholar] [CrossRef]
- Bertuoli, P.T.; Baldissera, A.F.; Zattera, A.J.; Ferreira, C.A.; Alemán, C.; Armelin, E. Polyaniline coated core-shell polyacrylates: Control of film formation and coating application for corrosion protection. Prog. Org. Coat. 2019, 128, 40–51. [Google Scholar] [CrossRef]
- Bär, M.; Lehmann, S.; Rusu, M.; Grimm, A.; Kotschau, I.; Lauermann, I.; Pistor, P.; Sokoll, S.; Schedel-Niedrig, T.; Lux-Steiner, M.C.; et al. Cd2+/NH3 treatment-induced formation of a CdSe surface layer on CuGaSe2 thin-film solar cell absorbers. Appl. Phys. Lett. 2005, 86, 222107. [Google Scholar] [CrossRef]
- Ren, Y.; Li, W.; Cao, Z.; Jiao, Y.; Xu, J.; Liu, P.; Li, S.; Li, X. Robust TiO2 nanorods-SiO2 core-shell coating with high-performance self-cleaning properties under visible light. Appl. Surf. Sci. 2020, 509, 145377. [Google Scholar] [CrossRef]
- Aghoutane, N.; El-Yadri, M.; Feddi, E.; Dujardin, F.; Sadoqi, M.; Long, G. Pressure effect on an exciton in a wurtzite AlN/GaN/AlN spherical core/shell quantum dot. MRS Commun. 2018, 8, 527–532. [Google Scholar] [CrossRef]
- Zouitine, A.; Ibral, A.; Assaid, E.; Dujardin, F.; Feddi, E. Spatial separation effect on the energies of uncorrelated and correlated electron-hole pair in CdSe/ZnS and InAs/InP core/ shell spherical quantum dots. Superlattices Microst. 2017, 109, 123–133. [Google Scholar] [CrossRef]
- Aghoutane, N.; El-Yadri, M.; Feddi, E.; Aouami, A.; Dujardin, F.; El haouari, M. Optical Absorption of Excitons in Strained Quasi 2D GaN Quantum Dot. Phys. Status Solidi 2019, 256, 1800361. [Google Scholar] [CrossRef]
- Xie, W. Third-order nonlinear optical susceptibility and photoionization of an exciton in quantum dots. Superlattices Microst. 2013, 56, 8–15. [Google Scholar] [CrossRef]
- Arunachalama, N.; John Peter, A.; Kyoo Yoo, C. Exciton optical absorption coefficients and refractive index changes in a strained InAs/GaAs quantum wire: The effect of the magnetic field. J. Lumin. 2012, 132, 1311–1317. [Google Scholar] [CrossRef]
- Angayarkanni, N.; John Peter, A.; Woo Lee, C. Effects of hydrostatic pressure on intrawell and interwell excitons in a strained GaAs/GaAlAs double quantum well system. Phys. E 2011, 44, 590–596. [Google Scholar] [CrossRef]
- Subhan, A.; Mourad, A.-H.I.; Al-Douri, Y. Influence of Laser Process Parameters, Liquid Medium, and External Field on the Synthesis of Colloidal Metal Nanoparticles Using Pulsed Laser Ablation in Liquid: A Review. Nanomaterials 2022, 12, 2144. [Google Scholar] [CrossRef] [PubMed]
- Mostafa, A.M.; Mwafy, E.A. Synthesis of ZnO and Au@ZnO core/shell nano-catalysts by pulsed laser ablation in different liquid media. J. Mat. Res. Technol. 2020, 9, 3241–3248. [Google Scholar] [CrossRef]
- Tsuji, T.; Iryo, K.; Watanabe, N.; Tsuji, M. Preparation of silver nanoparticles by laser ablation in solution: Influence of laser wavelength on particle size. Appl. Surf. Sci. 2002, 202, 80–85. [Google Scholar] [CrossRef]
- Hodak, J.H.; Henglein, A.; Giersig, M.; Hartland, G.V. Laser-Induced Inter-Diffusion in AuAg Core−Shell Nanoparticles. J. Phys. Chem. B 2000, 104, 11708–11718. [Google Scholar] [CrossRef]
- Radu, A.; Kirakosyan, A.A.; Laroze, D.; Baghramyan, H.M.; Barseghyan, M.G. Electronic and intraband optical properties of single quantum rings under intense laser field radiation. J. Appl. Phys. 2014, 116, 093101. [Google Scholar] [CrossRef]
- Ungan, F.; Bahar, M.K.; Barseghyan, M.G.; Pérez, L.M.; Laroze, D. Effect of intense laser and electric fields on nonlinear optical properties of cylindrical quantum dot with Morse potential. Optik 2021, 236, 166621. [Google Scholar] [CrossRef]
- Barseghyan, M.G.; Mughnetsyan, V.N.; Baghramyan, H.M.; Ungan, F.; Pérez, L.M.; Laroz, D. Control of electronic and optical properties of a laser dressed double quantum dot molecule by lateral electric field. Phys. E 2021, 126, 114362. [Google Scholar] [CrossRef]
- Tiutiunnyk, A.; Pérez-Quintana, I.; Laroze, D.; Duque, C.A.; Mora-Ramos, M.E. Influence of conduction-band non-parabolicity on terahertz intersubband Raman gain in GaAs/InGaAs step asymmetric quantum wells. Appl. Phys. A 2020, 126, 23. [Google Scholar] [CrossRef]
- Baghramyan, H.M.; Barseghyan, M.G.; Kirakosyan, A.A.; Ojeda, J.H.; Bragard, J.; Laroze, D. Modeling of anisotropic properties of double quantum rings by the terahertz laser field. Sci. Rep. 2018, 8, 6145. [Google Scholar] [CrossRef]
- Radu, A.; Kirakosyan, A.A.; Laroze, D.; Barseghyan, M.G. The effects of the intense laser and homogeneous electric fields on the electronic and intraband optical properties of a GaAs/Ga0.7Al0.3As quantum ring. Semicond. Sci. Technol. 2015, 30, 045006. [Google Scholar] [CrossRef]
- Baghramyan, H.M.; Barseghyan, M.G.; Kirakosyan, A.A.; Laroze, D. Intense Terahertz Radiation Effect on Electronic and Intraband Optical Properties of Semiconductor Quantum Rings. In Physics of Quantum Rings; NanoScience and Technology; Fomin, V., Ed.; Springer: Cham, Switzerland, 2018. [Google Scholar]
- Suaza, Y.A.; Fulla, M.R.; Laroze, D.; Baghramyan, H.M.; Marin, J.H. Intense laser field effect on molecular complex localized in semiconductor quantum wells. Chem. Phys. Lett. 2019, 730, 384–390. [Google Scholar] [CrossRef]
- Turkoglu, A.; Aghoutane, N.; Feddi, E.; Mora-Ramos, M.E.; Ungan, F. Non-resonant intense laser field effect on the nonlinear optical properties associated to the inter- and intra-band transitions in an anharmonic quantum well submitted to electric andmagnetic field. Solid State Commun. 2021, 334, 114390. [Google Scholar] [CrossRef]
- Laroze, D.; Barseghyan, M.; Radu, A.; Kirakosyan, A.A. Laser driven impurity states in two-dimensional quantum dots and quantum rings. Phys. B 2016, 501, 1–4. [Google Scholar] [CrossRef]
- Barseghyan, M.G.; Baghramyan, H.M.; Kirakosyan, A.A.; Laroze, D. The transition from double to single quantum dot induced by THz laser field. Phys. E 2020, 116, 113758. [Google Scholar] [CrossRef]
- Ungan, F.; Mora-Ramos, M.E.; Barseghyan, M.G.; Pérez, L.M.; Laroze, D. Intersubband optical properties of a laser-dressed asymmetric triple quantum well nanostructure. Phys. E 2019, 114, 113647. [Google Scholar] [CrossRef]
- Kasapoglu, E.; Sari, H.; Sökmen, I.; Vinasco, J.A.; Laroze, D.; Duque, C.A. Effects of intense laser field and position dependent effective mass in Razavy quantum wells and quantum dots. Phys. E 2021, 126, 114461. [Google Scholar] [CrossRef]
- Barseghyan, M.G.; Kirakosyan, A.A.; Laroze, D. Laser driven intraband optical transitions in two-dimensional quantum dots and quantum rings. Opt. Commun. 2017, 383, 571–576. [Google Scholar] [CrossRef]
- Yesilgul, U.; Sakiroglu, S.; Kasapoglu, E.; Sari, H.; Sökmen, I. Hydrogenic impurities in quantum dots under intense high-frequency laser field. Phys. B 2011, 406, 1441–1444. [Google Scholar] [CrossRef]
- Lu, L.; Xie, W.; Hassanabadi, H. The effects of intense laser on nonlinear properties of shallow donor impurities in quantum dots with the Woods–Saxon potential. J. Lumin. 2011, 131, 2538–2543. [Google Scholar] [CrossRef]
- Lu, L.; Xie, W.; Hassanabadi, H. Laser field effect on the nonlinear optical properties of donor impurities in quantum dots with Gaussian potential. Phys. B 2011, 406, 4129–04134. [Google Scholar] [CrossRef]
- Burileanu, L.M. Photoionization cross-section of donor impurity in spherical quantum dots under electric and intense laser fields. J. Lumin. 2014, 145, 684–689. [Google Scholar] [CrossRef]
- Wang, W.; Xu, L.; Wei, X.; Zhang, S. Intense-terahertz-laser modulated photoionization cross section of shallow-donor impurity in semiconductors in a magnetic field. Results Phys. 2021, 20, 103692. [Google Scholar] [CrossRef]
- Isono, Y.; Morikawa, E.; Kotani, M. Two-color pulsed photoconductivity study of naphthalene single crystal: Photoionization of singlet exciton. Chem. Phys. Lett. 1986, 125, 344–348. [Google Scholar] [CrossRef]
- Feddi, E.; El Haouari, M.; Assaid, E.; Stébé, B.; El Khamkhami, J.; Dujardin, F. Magnetic field effect on the polarizability of bound polarons in quantum nanocrystallites. Phys. Rev. B 2003, 68, 235313. [Google Scholar] [CrossRef]
- M’zerd, S.; El Haouari, M.; Aghoutane, N.; El-Yadri, M.; Feddi, E.; Dujardin, F.; Zorkani, I.; Jorio, A.; Sadoqi, M.; Long, G. Electric field effect on the photoionization cross section of a single dopant in a strained AlAs/GaAs spherical core/shell quantum dot. J. Appl. Phys. 2018, 124, 164303. [Google Scholar] [CrossRef]
- Ouadghi, A.; Diouri, J.; Khamkhami, J. Binding energy of excitons in an infinitely deep spherical quantum dot under intense THz laser field. Pramana J. Phys. 2020, 94, 30. [Google Scholar] [CrossRef]
- Yesilgul, U.; Ungan, F.; Kasapoglu, E.; Sari, H.; Sökmen, I. Effects of an intense, high-frequency laser field on the binding energy of excitons confined in a GaInNAs/GaAs quantum well. Phys. B 2012, 407, 528–532. [Google Scholar] [CrossRef]
- Heyn, C.; Radu, A.; Vinasco, J.A.; Laroze, D.; Restrepo, R.L.; Tulupenko, V.; Hieu, N.N.; Phuc, H.V.; Mora-Ramos, M.E.; Ojeda, J.H.; et al. Exciton states in conical quantum dots under applied electric and magnetic fields. Opt. Laser Technol. 2021, 139, 106953. [Google Scholar] [CrossRef]
- Niculescu, E.C.; Cristea, M.; Spandonide, A. Exciton states in CdSe/ZnS core–shell quantum dots under applied electric fields. Superlattices Microst. 2013, 63, 1–9. [Google Scholar] [CrossRef]
- Hu, M.; Wang, H.; Gong, Q.; Wang, S. Exciton states in InGaAsP/InP core–shell quantum dots under an external electric field. J. Comput. Electron. 2019, 18, 1243–1250. [Google Scholar] [CrossRef]
- Ehlotzky, F. Positronium decay in intense high frequency laser fields. Phys. Lett. A 1988, 126, 524–527. [Google Scholar] [CrossRef]
- Lax, M. Proceedings of the Atlantic City Conference on Photoconductivity; John Wiley Sons: New York, NY, USA, 1956. [Google Scholar]
- Barseghyan, M.G.; Hakimyfard, A.; Lopez, S.Y.; Duque, C.A.; Kirakosyan, A.A. Simultaneous effects of hydrostatic pressure and temperature on donor binding energy and photoionization cross section in pöschl–teller quantum well. Phys. E 2010, 42, 1618. [Google Scholar] [CrossRef]
- John Peter, A. The effect of hydrostatic pressure on binding energy of impurity states in spherical quantum dots. Phys. E 2005, 28, 225–229. [Google Scholar] [CrossRef]
- Varshni, Y.P. Effect of an intense laser field on donor impurities in spherical quantum dots. Superlattices Microst. 2001, 30, 45–52. [Google Scholar] [CrossRef]
- Xu, T.; Yuan, L.; Fang, J. The laser-dressed potential binding energy of a hydrogenic impurity in a spherical quantum dot by the analytical transfer matrix method. Phys. B 2009, 404, 3445–3447. [Google Scholar] [CrossRef]





| (eV) | (meV) | (nm) | |||
|---|---|---|---|---|---|
| 1.607 | 0.067 | 0.079 | 13.18 | 2.84 | 21.78 |
Disclaimer/Publisher’s Note: The statements, opinions and data contained in all publications are solely those of the individual author(s) and contributor(s) and not of MDPI and/or the editor(s). MDPI and/or the editor(s) disclaim responsibility for any injury to people or property resulting from any ideas, methods, instructions or products referred to in the content. |
© 2023 by the authors. Licensee MDPI, Basel, Switzerland. This article is an open access article distributed under the terms and conditions of the Creative Commons Attribution (CC BY) license (https://creativecommons.org/licenses/by/4.0/).
Share and Cite
Pérez, L.M.; Aghoutane, N.; Laroze, D.; Díaz, P.; El-Yadri, M.; Feddi, E.M. Intense Laser Field Effect on the Photo-Ionization Cross-Section of the First Exciton Transition in a Core/Shell Quantum Dot Submitted to an Applied Electric Field. Coatings 2023, 13, 1098. https://doi.org/10.3390/coatings13061098
Pérez LM, Aghoutane N, Laroze D, Díaz P, El-Yadri M, Feddi EM. Intense Laser Field Effect on the Photo-Ionization Cross-Section of the First Exciton Transition in a Core/Shell Quantum Dot Submitted to an Applied Electric Field. Coatings. 2023; 13(6):1098. https://doi.org/10.3390/coatings13061098
Chicago/Turabian StylePérez, Laura M., Noreddine Aghoutane, David Laroze, Pablo Díaz, Mohamed El-Yadri, and EL Mustapha Feddi. 2023. "Intense Laser Field Effect on the Photo-Ionization Cross-Section of the First Exciton Transition in a Core/Shell Quantum Dot Submitted to an Applied Electric Field" Coatings 13, no. 6: 1098. https://doi.org/10.3390/coatings13061098
APA StylePérez, L. M., Aghoutane, N., Laroze, D., Díaz, P., El-Yadri, M., & Feddi, E. M. (2023). Intense Laser Field Effect on the Photo-Ionization Cross-Section of the First Exciton Transition in a Core/Shell Quantum Dot Submitted to an Applied Electric Field. Coatings, 13(6), 1098. https://doi.org/10.3390/coatings13061098

