Experimental Study on Bond Behavior between Steel Rebar and PVA Fiber-Reinforced Concrete
Abstract
:1. Introduction
2. Experimental Program
2.1. Pull-Out Specimens
2.2. Materials and Mixture Design
2.3. Mechanical Property of PVA Fiber-Reinforced Concrete
2.4. Pull-Out Test of Specimens
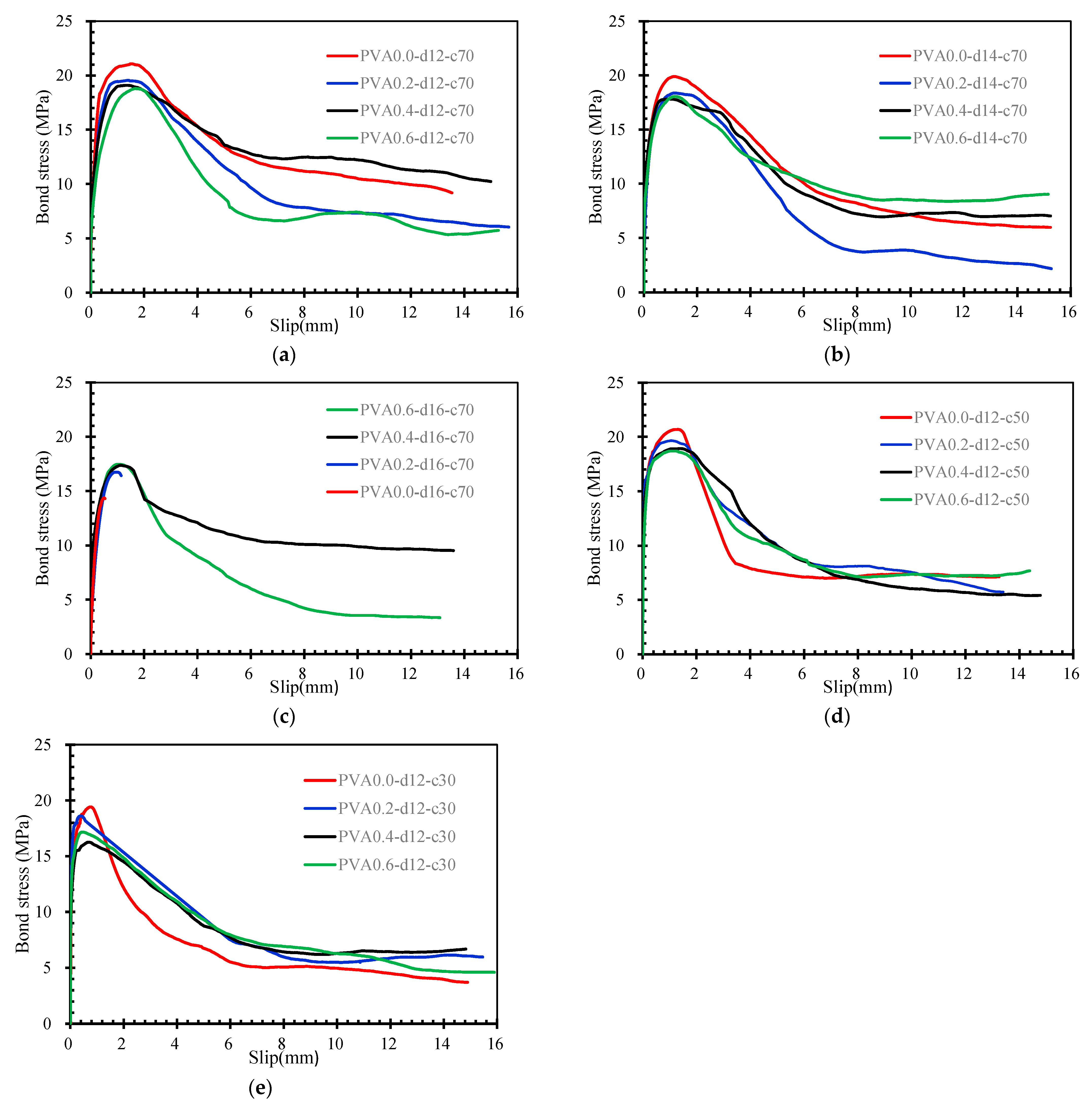
3. Bond Behavior between Rebar and PVA Fiber-Reinforced Concrete
3.1. Failure of Pull-Out Specimens
3.2. Effects of PVA Fibers
3.3. Effects of Rebar Diameter
3.4. Effects of Cover Depth
4. Conclusions
- (1)
- PVA fibers show a negative effect on the compressive strength of concrete, but a positive effect on splitting tensile, flexural, and direct tensile strength. In the present test, the maximum decrease in compressive strength was 12.3%, and the maximum increase in splitting tensile, flexural, and direct tensile strength were 33.7%, 12.9%, and 14.0%, respectively, for concrete with PVA fiber contents less than 0.6%. The increase in splitting tensile strength was more significant than that in flexural and direct tensile strength.
- (2)
- The failure mode of bonding specimens depends mainly on the ratio of cover depth to steel rebar diameter. Specimen were more prone to pull-out failure when the ratio of cover depth to rebar diameter was greater than 4.5–5.0. For specimens with a small ratio of cover depth to rebar diameter, the splitting of concrete was more significantly affected by rebar diameter rather than cover depth. PVA fibers can restrict the splitting cracks and improve the failure of the specimen in a more ductile way.
- (3)
- PVA fibers generally show a negative effect on bond behavior, but a positive effect on the descending branch in the case of splitting failure. In the present test, PVA fibers decreased the initial bond stiffness and bond strength for the cases with both pull-out and splitting failures. The maximum decrease in bond strength was about 16.2% with PVA fiber contents less than 0.6%. PVA fibers restricted both the macro-cracking and micro-cracking for splitting cases, with the former effects seeming much more significant than latter.
- (4)
- Specimens with small rebars had greater initial bonding stiffness and bond strength than specimens with large rebars. The difference in bond behavior caused by rebar diameter became smaller with the increase in PVA fibers. A thin cover decreased the bond strength of the specimens, but increased the initial bond stiffness of specimens. The more PVA fibers, the greater the difference in initial bond stiffness caused by cover depth.
Author Contributions
Funding
Informed Consent Statement
Data Availability Statement
Acknowledgments
Conflicts of Interest
References
- Pakravan, H.R.; Jamshidi, M.; Latifi, M. Study on fiber hybridization effect of engineered cementitious composites with low- and high-modulus polymeric fibers. Constr. Build. Mater. 2016, 112, 739–746. [Google Scholar] [CrossRef]
- Juarez, C.A.; Fajardo, G.; Monroy, S.; Duran-Herrera, A.; Valdez, P.; Magniont, C. Comparative study between natural and PVA fibers to reduce plastic shrinkage cracking in cement-based composite. Constr. Build. Mater. 2015, 91, 164–170. [Google Scholar] [CrossRef]
- Zanotti, C.; Borges, P.H.R.; Bhutta, A.; Banthia, N. Bond strength between concrete substrate and metakaolin geopolymer repair mortar: Effect of curing regime and PVA fiber reinforcement. Cem. Concr. Compos. 2017, 80, 307–316. [Google Scholar] [CrossRef]
- Passuello, A.; Moriconi, G.; Shah, S.P. Cracking behavior of concrete with shrinkage reducing admixtures and PVA fibers. Cem. Concr. Compos. 2009, 31, 699–704. [Google Scholar] [CrossRef]
- Said, M.; Abd El-Azim, A.A.; Ali, M.M.; EI-Ghazaly, H.; Shaaban, I. Effect of elevated temperature on axially and eccentrically loaded columns containing Polyvinyl Alcohol (PVA) fibers. Eng. Struct. 2020, 204, 110065. [Google Scholar] [CrossRef]
- Wang, J.; Dai, Q.; Si, R.; Guo, S. Investigation of properties and performances of Polyvinyl Alcohol (PVA) fiber-reinforced rubber concrete. Constr. Build. Mater. 2018, 193, 631–642. [Google Scholar] [CrossRef]
- Abushawashi, N.; Vimonsatit, V. Material Classification and Composite Elastic Modulus of Hybrid PVA Fiber Ferrocement. J. Mater. Civ. Eng. 2016, 28, 04016073. [Google Scholar] [CrossRef]
- Liu, F.; Ding, W.; Qiao, Y. Experimental investigation on the flexural behavior of hybrid steel-PVA fiber reinforced concrete containing fly ash and slag powder. Constr. Build. Mater. 2019, 228, 116706. [Google Scholar] [CrossRef]
- Nuruddin, M.F.; Ullah Khan, S.; Shafiq, N.; Ayub, T. Strength Prediction Models for PVA Fiber-Reinforced High-Strength Concrete. J. Mater. Civ. Eng. 2015, 27, 04015034. [Google Scholar] [CrossRef]
- Pan, J.; Cai, J.; Ma, H.; Leung, C.K.Y. Development of Multiscale Fiber-Reinforced Engineered Cementitious Composites with PVA Fiber and CaCO3 Whisker. J. Mater. Civ. Eng. 2018, 30, 04018106. [Google Scholar] [CrossRef]
- Sun, L.; Hao, Q.; Zhao, J.; Wu, D.; Yang, F. Stress strain behavior of hybrid steel-PVA fiber reinforced cementitious composites under uniaxial compression. Constr. Build. Mater. 2018, 188, 349–360. [Google Scholar] [CrossRef]
- Shafiq, N.; Ayub, T.; Khan, S.U. Investigating the performance of PVA and basalt fibre reinforced beams subjected to flexural action. Compos. Struct. 2016, 153, 30–41. [Google Scholar] [CrossRef]
- Noushini, A.; Samali, B.; Vessalas, K. Effect of polyvinyl alcohol (PVA) fibre on dynamic and material properties of fibre reinforced concrete. Constr. Build. Mater. 2013, 49, 374–383. [Google Scholar] [CrossRef]
- Noushini, A.; Samali, B.; Vessalas, K. Ductility and Damping Characteristics of PVA-FRC Beam Elements. Adv. Struct. Eng. 2016, 18, 1763–1787. [Google Scholar] [CrossRef]
- Nam, J.; Kim, G.; Lee, B.; Hasegawa, R.; Hama, Y. Frost resistance of polyvinyl alcohol fiber and polypropylene fiber reinforced cementitious composites under freeze thaw cycling. Compos. Part B Eng. 2016, 90, 241–250. [Google Scholar] [CrossRef]
- Feng, J.; Su, Y.; Qian, C. Coupled effect of PP fiber, PVA fiber and bacteria on self-healing efficiency of early-age cracks in concrete. Constr. Build. Mater. 2019, 228, 116–118. [Google Scholar] [CrossRef]
- Jang, J.G.; Kim, H.K.; Kim, T.S.; Min, B.J.; Lee, H.K. Improved flexural fatigue resistance of PVA fiber-reinforced concrete subjected to freezing and thawing cycles. Constr. Build. Mater. 2014, 59, 129–135. [Google Scholar] [CrossRef]
- Şahmaran, M.; Özbay, E.; Yücel, H.E.; Lachemi, M.; Li, V.C. Frost resistance and microstructure of Engineered Cementitious Composites: Influence of fly ash and micro poly-vinyl-alcohol fiber. Cem. Concr. Compos. 2012, 34, 156–165. [Google Scholar] [CrossRef]
- Zhou, J.; Pan, J.; Leung, C.K. Mechanical behavior of fiber-reinforced engineered cementitious composites in uniaxial compression. J. Mater. Civ. Eng. 2014, 27, 04014111. [Google Scholar] [CrossRef]
- Ayub, T.; Khan, S.U.; Ayub, A. Nalytical model for the compressive stress–strain behavior of PVA-FRC. Constr. Build. Mater. 2019, 214, 581–593. [Google Scholar] [CrossRef]
- Zhang, X.; Zhang, W.; Luo, Y.; Wang, L.; Peng, J.; Zhang, J. Interface shear strength between self-compacting concrete and carbonated concrete. J. Mater. Civ. Eng. 2020, 32, 04020113. [Google Scholar] [CrossRef]
- Nguyen, H.-A.; Chang, T.-P.; Shih, J.-Y. Engineering Properties and Bonding Behavior of Self-Compacting Concrete Made with No-Cement Binder. J. Mater. Civ. Eng. 2018, 30, 04017294. [Google Scholar] [CrossRef]
- Wardeh, G.; Ghorbel, E.; Gomart, H.; Fiorio, B. Experimental and analytical study of bond behavior betweenrecycled aggregate concrete and steel bars using a pullout test. Struct. Concr. 2017, 18, 811–825. [Google Scholar] [CrossRef]
- Alabduljabbar, H.; West, J. Bond behavior of cleaned corroded rebar repaired by partial depth repair. Structures 2020, 27, 813–823. [Google Scholar] [CrossRef]
- Zhang, X.; He, F.; Chen, J.; Yang, C.; Xu, F. Orientation of steel fibers in concrete attracted by magnetized rebar and its effects on bond behavior. Cem. Concr. Compos. 2023, 138, 104977. [Google Scholar] [CrossRef]
- Shen, D.; Li, C.; Feng, Z.; Wen, C.; Qjha, B. Influence of strain rate on bond behavior of concrete members reinforced with basalt fiber-reinforced polymer rebars. Constr. Build. Mater. 2019, 228, 116755. [Google Scholar] [CrossRef]
- Hou, L.; Zhou, B.; Guo, S.; Zhuang, N.; Chen, D. Bond-slip behavior between pre-corroded rebar and steel fiber reinforced concrete. Constr. Build. Mater. 2018, 182, 637–645. [Google Scholar] [CrossRef]
- Alyousef, R.; Topper, T.; Al-Mayah, A. Effect of FRP Wrapping on Fatigue Bond Behavior of Spliced Concrete Beams. J. Compos. Constr. 2016, 20, 04015030. [Google Scholar] [CrossRef]
- Wu, K.; Chen, F.; Chen, C.; Zheng, H.; Xu, J. Load-Transfer Mechanism and Bond-Stress Components in Steel and Steel Fiber–Reinforced Concrete Structure. J. Struct. Eng. 2019, 145, 04019160. [Google Scholar] [CrossRef]
- Hou, L.; Ye, Z.; Zhou, B.; Shen, C.; Aslani, F.; Chen, D. Bond behavior of reinforcement embedded in steel fiber reinforced concrete under chloride attack. Struct. Concr. 2019, 20, 2242–2255. [Google Scholar] [CrossRef]
- Akbarzadeh Bengar, H.; Ahmadi Zarrinkolaei, F. Effect of steel fibers and concrete cover on bond behavior between steel deformed bar and concrete under high temperature. Structures 2021, 32, 1507–1521. [Google Scholar] [CrossRef]
- Aslani, F.; Nejadi, S. Bond characteristics of steel fiber and deformed reinforcing steel bar embedded in steel fiber reinforced self-compacting concrete (SFRSCC). Cent. Eur. J. Eng. 2012, 2, 445–470. [Google Scholar] [CrossRef]
- Dancygier, A.N.; Katz, A.; Wexler, U. Bond between deformed reinforcement and normal and high-strength concrete with and without fibers. Mater. Struct. 2010, 43, 839–856. [Google Scholar] [CrossRef]
- Deshpande, A.A.; Kumar, D.; Ranade, R. Temperature effects on the bond behavior between deformed steel reinforcing bars and hybrid fiber-reinforced strain-hardening cementitious composite. Constr. Build. Mater. 2020, 233, 117337. [Google Scholar] [CrossRef]
- Ganesan, N.; Indira, P.V.; Sabeena, M.V. Bond stress slip response of bars embedded in hybrid fibre reinforced high performance concrete. Constr. Build. Mater. 2014, 50, 108–115. [Google Scholar] [CrossRef]
- Tabatabaeian, M.; Khaloo, A.; Joshaghani, A. Experimental investigation on effects of hybrid fibers on rheological, mechanical, and durability properties of high-strength SCC. Constr. Build. Mater. 2017, 147, 497–509. [Google Scholar] [CrossRef]
- Dashti, J.; Nematzadeh, M. Compressive and direct tensile behavior of concrete containing Forta-Ferro fiber and calcium aluminate cement subjected to sulfuric acid attack with optimized design. Constr. Build. Mater. 2020, 253, 118999. [Google Scholar] [CrossRef]
- Zhao, W.; Xiao, J. On bond-slip constitutive model between ribbed steel bars and concrete, 04. Eng. Mech. 2011, 28, 164–171. (In Chinese) [Google Scholar]
- Lin, H.; Zhao, Y.; Ozbolt, J.; Feng, P.; Jiang, C. Analytical model for the bond stress-slip relationship of deformed bars in normal strength concrete. Constr. Build. Mater. 2019, 198, 570–586. [Google Scholar] [CrossRef]
- Alberti, M.G.; Enfedaque, A.; Gálvez, J.C. The effect of fibres in the rheology of self-compacting concrete. Construction and Building Materials 2019, 219, 144–153. [Google Scholar] [CrossRef]
- Huang, L.; Xu, L.; Chi, Y.; Deng, F.; Zhang, A. Bond strength of deformed bar embedded in steel-polypropylene hybrid fiber reinforced concrete. Constr. Build. Mater. 2019, 218, 176–192. [Google Scholar] [CrossRef]
- Hung, C.-C.; Lee, H.-S.; Chan, S.N. Tension-stiffening effect in steel-reinforced UHPC composites: Constitutive model and effects of steel fibers, loading patterns, and rebar sizes. Compos. Part B Eng. 2019, 158, 269–278. [Google Scholar] [CrossRef]
- Yoo, D.-Y.; Kwon, K.-Y.; Park, J.-J.; Yoon, Y.-S. Local bond-slip response of GFRP rebar in ultra-high-performance fiber-reinforced concrete. Compos. Struct. 2015, 120, 53–64. [Google Scholar] [CrossRef]
- Paswan, R.; Rahman, M.R.; Singh, S.K.; Singh, B. Bond Behavior of Reinforcing Steel Bar and Geopolymer Concrete. J. Mater. Civ. Eng. 2020, 32, 04020167. [Google Scholar] [CrossRef]


















| Pull-Out Test | Content of PVA Fiber (%) | Rebar Diameters (mm) | Cover Thicknesses (mm) |
|---|---|---|---|
| PVA0.0-d12-c30 | 0.0 | 12 | 30 |
| PVA0.2-d12-c30 | 0.2 | 12 | 30 |
| PVA0.4-d12-c30 | 0.4 | 12 | 30 |
| PVA0.6-d12-c30 | 0.6 | 12 | 30 |
| PVA0.0-d12-c50 | 0.0 | 12 | 50 |
| PVA0.2-d12-c50 | 0.2 | 12 | 50 |
| PVA0.4-d12-c50 | 0.4 | 12 | 50 |
| PVA0.6-d12-c50 | 0.6 | 12 | 50 |
| PVA0.0-d12-c70 | 0.0 | 12 | 70 |
| PVA0.2-d12-c70 | 0.2 | 12 | 70 |
| PVA0.4-d12-c70 | 0.4 | 12 | 70 |
| PVA0.6-d12-c70 | 0.6 | 12 | 70 |
| PVA0.0-d14-c70 | 0.0 | 14 | 70 |
| PVA0.2-d14-c70 | 0.2 | 14 | 70 |
| PVA0.4-d14-c70 | 0.4 | 14 | 70 |
| PVA0.6-d14-c70 | 0.6 | 14 | 70 |
| PVA0.0-d16-c70 | 0.0 | 16 | 70 |
| PVA0.2-d16-c70 | 0.2 | 16 | 70 |
| PVA0.4-d16-c70 | 0.4 | 16 | 70 |
| PVA0.6-d16-c70 | 0.6 | 16 | 70 |
| Test | Content of Fiber (%) | fcu (MPa) | ft (MPa) | fts (MPa) | ftf (MPa) | Failure Mode | τons (MPa) | τmax (MPa) | τr (MPa) | S0 (mm) | K0 (MPa/mm) |
|---|---|---|---|---|---|---|---|---|---|---|---|
| PVA0.0-d12-c30 | 0 | 39.98 | 2.85 | 2.76 | 3.32 | S-P | 9.26 | 19.41 | 8.02 | 0.72 | 511 |
| PVA0.2-d12-c30 | 0.2 | 38.21 | 3.00 | 3.35 | 3.48 | S-P | 10.87 | 18.61 | 12.20 | 0.39 | 931 |
| PVA0.4-d12-c30 | 0.4 | 35.06 | 3.10 | 3.47 | 3.74 | S-P | 8.72 | 16.26 | 11.45 | 0.68 | 739 |
| PVA0.6-d12-c30 | 0.6 | 37.23 | 3.25 | 3.69 | 3.81 | S-P | 9.83 | 17.17 | 11.59 | 0.47 | 973 |
| PVA0.0-d12-c50 | 0 | 39.98 | 2.85 | 2.76 | 3.32 | S-P | 9.79 | 20.69 | 8.25 | 1.30 | 470 |
| PVA0.2-d12-c50 | 0.2 | 38.21 | 3.00 | 3.35 | 3.48 | P | 10.17 | 19.66 | 12.58 | 1.04 | 756 |
| PVA0.4-d12-c50 | 0.4 | 35.06 | 3.10 | 3.47 | 3.74 | P | 11.11 | 18.93 | 13.31 | 1.40 | 315 |
| PVA0.6-d12-c50 | 0.6 | 37.23 | 3.25 | 3.69 | 3.81 | P | 8.56 | 18.70 | 11.29 | 1.13 | 283 |
| PVA0.0-d12-c70 | 0 | 39.98 | 2.85 | 2.76 | 3.32 | P | 4.52 | 21.08 | 16.24 | 1.53 | 105 |
| PVA0.2-d12-c70 | 0.2 | 38.21 | 3.00 | 3.35 | 3.48 | P | 5.79 | 19.57 | 14.94 | 1.42 | 109 |
| PVA0.4-d12-c70 | 0.4 | 35.06 | 3.10 | 3.47 | 3.74 | P | 5.89 | 19.10 | 15.93 | 1.34 | 115 |
| PVA0.6-d12-c70 | 0.6 | 37.23 | 3.25 | 3.69 | 3.81 | P | 5.65 | 18.91 | 12.79 | 1.69 | 65 |
| PVA0.0-d14-c70 | 0 | 39.98 | 2.85 | 2.76 | 3.32 | P | 5.38 | 19.90 | 14.32 | 1.11 | 95 |
| PVA0.2-d14-c70 | 0.2 | 38.21 | 3.00 | 3.35 | 3.48 | P | 5.26 | 18.38 | 12.06 | 1.19 | 97 |
| PVA0.4-d14-c70 | 0.4 | 35.06 | 3.10 | 3.47 | 3.74 | P | 6.01 | 17.83 | 13.29 | 0.92 | 108 |
| PVA0.6-d14-c70 | 0.6 | 37.23 | 3.25 | 3.69 | 3.81 | P | 5.81 | 18.06 | 12.33 | 1.18 | 106 |
| PVA0.0-d16-c70 | 0 | 39.98 | 2.85 | 2.76 | 3.32 | S | 2.73 | 14.40 | 0 | 0.5 | 73 |
| PVA0.2-d16-c70 | 0.2 | 38.21 | 3.00 | 3.35 | 3.48 | S | 2.90 | 16.74 | 0 | 0.97 | 51 |
| PVA0.4-d16-c70 | 0.4 | 35.06 | 3.10 | 3.47 | 3.74 | S-P | 2.47 | 17.37 | 11.51 | 1.11 | 68 |
| PVA0.6-d16-c70 | 0.6 | 37.23 | 3.25 | 3.69 | 3.81 | S-P | 3.72 | 17.47 | 8.30 | 1.05 | 64 |
Disclaimer/Publisher’s Note: The statements, opinions and data contained in all publications are solely those of the individual author(s) and contributor(s) and not of MDPI and/or the editor(s). MDPI and/or the editor(s) disclaim responsibility for any injury to people or property resulting from any ideas, methods, instructions or products referred to in the content. |
© 2023 by the authors. Licensee MDPI, Basel, Switzerland. This article is an open access article distributed under the terms and conditions of the Creative Commons Attribution (CC BY) license (https://creativecommons.org/licenses/by/4.0/).
Share and Cite
Zhang, X.; Lu, Q.; Wang, Y. Experimental Study on Bond Behavior between Steel Rebar and PVA Fiber-Reinforced Concrete. Coatings 2023, 13, 740. https://doi.org/10.3390/coatings13040740
Zhang X, Lu Q, Wang Y. Experimental Study on Bond Behavior between Steel Rebar and PVA Fiber-Reinforced Concrete. Coatings. 2023; 13(4):740. https://doi.org/10.3390/coatings13040740
Chicago/Turabian StyleZhang, Xuhui, Qi Lu, and Yang Wang. 2023. "Experimental Study on Bond Behavior between Steel Rebar and PVA Fiber-Reinforced Concrete" Coatings 13, no. 4: 740. https://doi.org/10.3390/coatings13040740
APA StyleZhang, X., Lu, Q., & Wang, Y. (2023). Experimental Study on Bond Behavior between Steel Rebar and PVA Fiber-Reinforced Concrete. Coatings, 13(4), 740. https://doi.org/10.3390/coatings13040740
