The Effect of Single Curing Agents on the Curing Reactions of the HTPB-based Binder System
Abstract
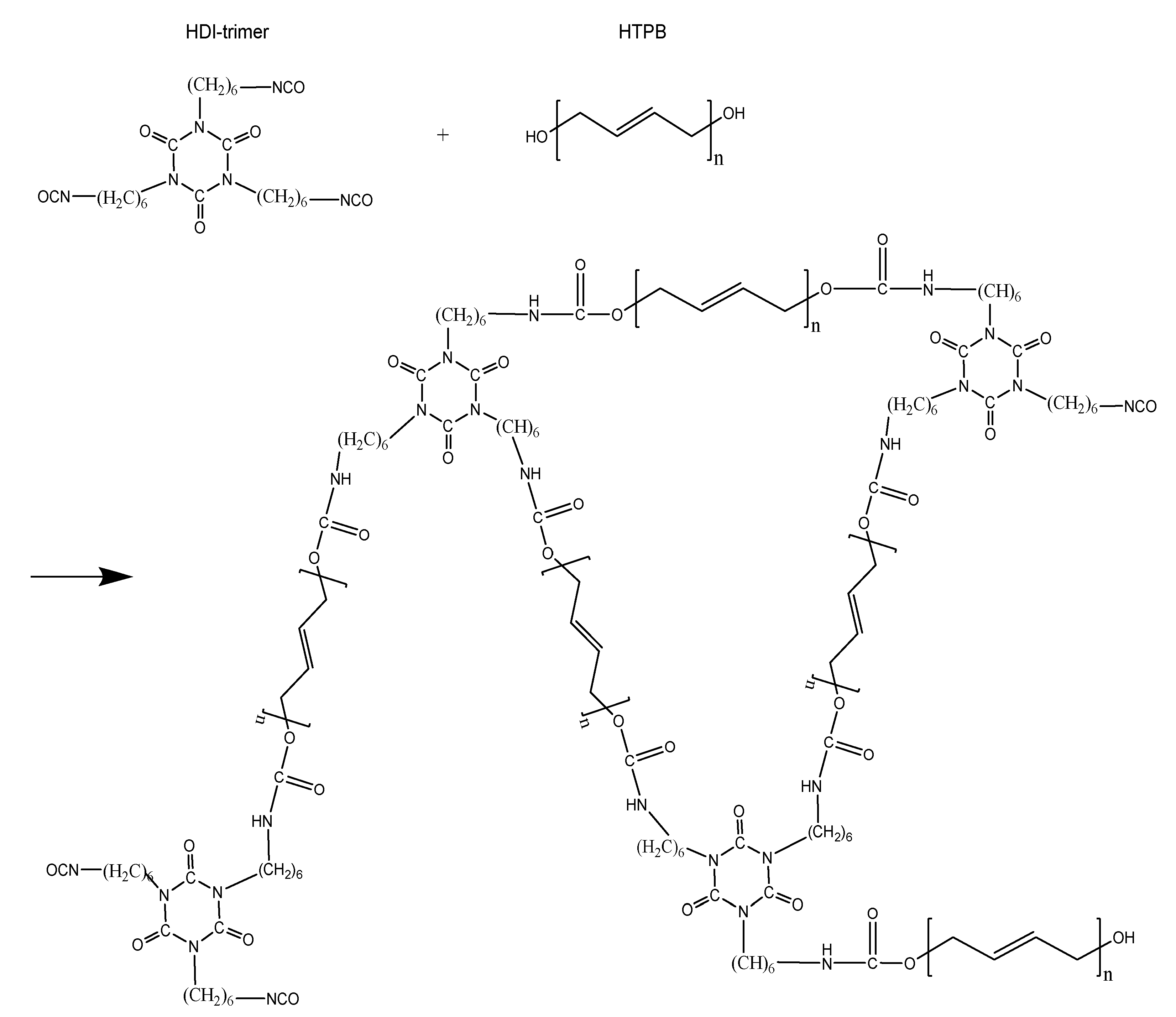
:1. Introduction
2. Experimental Instruments and Materials
2.1. Instruments and Materials
2.2. Binder System Formulas
2.3. Sample Preparation and Testing
2.4. Rheology
3. Results and Discussion
4. Conclusions
Author Contributions
Funding
Institutional Review Board Statement
Informed Consent Statement
Data Availability Statement
Conflicts of Interest
Abbreviations and Symbols
| HTPB | Hydroxyl-terminated polybutadiene |
| HDI-trimer | Trimer of hexamethylene-1,6-diisocyanate |
| HMDI | Hexamethylene diisocyanate |
| PU elastomer | Polyurethane elastomer |
| MDI | Methylene diphenyl diisocyanate |
| TDI | toluene diisocyanate |
| IPDI | Isophorone diisocyanate |
| R | Isocyanate index |
| nNCO | Molecular concentration of the hydroxyl group in the isocyanate |
| nOH | Molecular concentration of the hydroxyl group in HTPB |
| ƞ(t)T | System viscosity at time t at temp T |
| ƞ0 | Initial system viscosity at temp T |
| kƞ | Rheological reaction rate constant of the system |
| (t)T | Viscosity of the system at temperature T and at any given time t |
| 0(T) | Initial viscosity of the system at temperature T |
| t | Curing time |
| T | Curing temperature |
References
- Toosi, F.S.; Shahidzadeh, M.; Ramezanzadeh, B. An investigation of the effects of pre-polymer functionality on the curing behavior and mechanical properties of HTPB-based polyurethane. J. Ind. Eng. Chem. 2015, 24, 166–173. [Google Scholar] [CrossRef]
- Guo, J.H.; Chai, T.; Liu, Y.C.; Cui, J.L.; Ma, H.; Jing, S.M.; Zhong, L.C.; Qin, S.D.; Wang, G.D.; Ren, X. Kinetic research on the curing reaction of hydroxyl-terminated polybutadiene based polyurethane binder system via FT-IR measurements. Coatings 2018, 8, 175. [Google Scholar] [CrossRef] [Green Version]
- Guo, J.H.; Liu, Y.C.; Chai, T. Synthesis and properties of a nano-silica modified environmentally friendly polyurethane adhesive. RSC. Adv. 2015, 5, 44990–44997. [Google Scholar]
- Kou, Y.J.; Zhou, W.Y.; Li, B.; Dong, L.N.; Duan, Y.E.; Hou, Q.W.; Liu, X.R.; Cai, H.W.; Chen, Q.G.; Dang, Z.M. Enhanced mechanical and dielectric properties of an epoxy resin modified with hydroxyl-terminated polybutadiene. Compos. Part A: Appl. Sci. Manuf. 2018, 114, 97–106. [Google Scholar] [CrossRef]
- Zhang, P.A.; Tan, W.J.Y.; Zhang, X.L.; Chen, J.; Yuan, J.M.; Deng, J.R. Chemical modification of hydroxyl-terminated polybutadiene and its application in composite propellants. Ind. Eng. Chem. Res. 2021, 60, 3819–3829. [Google Scholar] [CrossRef]
- Ganivada, M.N.; Dhara, M.; Jana, S.; Jana, T. Synthetic routes to modify hydroxyl terminated polybutadiene for various potential applications. J. Macromol. Sci. Part A 2022, 59, 167–179. [Google Scholar] [CrossRef]
- Lucio, B.; de la Fuente, J.L. Rheokinetic analysis on the formation of metallo-polyurethanes based on hydroxyl-terminated polybutadiene. Eur. Polym. J. 2014, 50, 117–126. [Google Scholar] [CrossRef]
- Gong, Y.H.; Yang, P.F.; Tao, F.R.; Zhang, D.T.; Guo, X.F.; Li, T.D. Kinetic and thermodynamic studies of the urethane reaction based on 1, 3-diazetidine-2, 4-dione and 4-(Tetrahydro-Pyran-2-yloxy)-butan-1-ol. J. Int. J. Polymanal. Ch. 2014, 19, 107–114. [Google Scholar] [CrossRef]
- Rao, B.N.; Malkappa, K.; Kumar, N.; Jana, T. Ferrocene grafted hydroxyl terminated polybutadiene: A binder for propellant with improved burn rate. Polymer 2019, 163, 162–170. [Google Scholar] [CrossRef]
- Chen, S.H.; Tang, Y.; Yu, H.S.; Guan, X.Y.; DeLuca, L.T.; Zhang, W.; Shen, R.Q.; Ye, Y.H. Combustion enhancement of hydroxyl-terminated polybutadiene by doping multiwall carbon nanotubes. Carbon 2019, 144, 472–480. [Google Scholar] [CrossRef]
- Sikder, B.K.; Jana, T. Effect of solvent and functionality on the physical properties of hydroxyl-terminated polybutadiene (HTPB)-based polyurethane. ACS Omega 2018, 3, 3004–3013. [Google Scholar] [CrossRef] [PubMed]
- Sekkar, V.; Raunija, T.S.K. Issues related with pot life extension for hydroxyl-terminated polybutadiene-based solid propellant binder system. Prop. Expl. Pyro. 2015, 40, 267–274. [Google Scholar] [CrossRef]
- Zhang, Q.; Shu, Y.J.; Liu, N.; Lu, X.M.; Shu, Y.; Wang, X.C.; Mo, H.C.; Xu, M.H. Hydroxyl terminated polybutadiene: Chemical modification and application of these modifiers in propellants and explosives. Cent. Eur. J. Energetic Mater. 2019, 16, 153–193. [Google Scholar] [CrossRef]
- Yadav, N.; Srivastava, P.K.; Varma, M. Recent advances in catalytic combustion of AP-based composite solid propellants. Def. Technol. 2021, 17, 1013–1031. [Google Scholar] [CrossRef]
- Akram, N.; Zia, K.M.; Sattar, R.; Tabassum, S.; Saeed, M. Thermomechanical investigation of hydroxyl-terminated polybutadiene-based linear polyurethane elastomers. J. Appl. Polym. Sci. 2019, 136, 47289. [Google Scholar] [CrossRef]
- Ma, H.; Liu, Y.C.; Guo, J.H.; Chai, T.; Yu, Y.W.; Yuan, J.M.; Jing, S.M.; Feng, F.W.; Zhong, L.C.; Zhou, Y.M.; et al. Catalyzed HTPB/HDI-trimer curing reactions and influence on pot life. Coatings 2020, 10, 1073. [Google Scholar] [CrossRef]
- Kazachenko, A.S.; Akman, F.; Abdelmoulahi, H.; Issaoui, N.; Malyar, Y.N.; Al-Dossary, O.; Wojcik, M.J. Intermolecular hydrogen bonds interactions in water clusters of ammonium sulfamate: FTIR, X-ray diffraction, AIM, DFT, RDG, ELF, NBO analysis. J. Mol. Liq. 2021, 342, 117475. [Google Scholar] [CrossRef]
- Zhang, X.; Liu, Y.C.; Chai, T.; Ma, Z.L.; Jia, K.H. Curing reaction kinetics of the EHTPB-based PBX binder system and its mechanical properties. Coatings 2020, 10, 1266. [Google Scholar] [CrossRef]
- Bina, C.K.; Kannan, K.G.; Ninan, K.N. DSC study on the effect of isocyanates and catalysts on the HTPB cure reaction. J. Therm. Anal. Calorim. 2004, 78, 753–760. [Google Scholar] [CrossRef]
- Hailu, K.; Guthausen, G.; Becker, W.; Konig, A.; Bendfeld, A.; Geissler, E. In-situ characterization of the cure reaction of HTPB and IPDI by simultaneous NMR and IR measurements. Polym. Test. 2010, 29, 513–519. [Google Scholar] [CrossRef]
- Bae, J.H.; Won, J.C.; Lim, W.B.; Kim, B.J.; Lee, J.H.; Min, J.G.; Seo, M.J.; Mo, Y.H.; Huh, P. Tacky-free polyurethanes pressure-sensitive adhesives by molecular-weight and HDI trimer design. Materials 2021, 14, 2164. [Google Scholar] [CrossRef] [PubMed]
- Çakmakçi, E. HDI trimer based fluorine containing urethane methacrylates for hydrophobic photocured coatings. Polym. -Plast. Technol. Mater. 2019, 58, 854–865. [Google Scholar] [CrossRef]






| Curing Agent | Rheological Reaction Rate Constant (kƞ; min−1) | Related Coefficient | Pot Life (h) |
|---|---|---|---|
| MDI | 0.0423 | 0.9934 | 0.6 |
| TDI | 0.0051 | 0.9803 | 3.6 |
| HDI-trimer | 0.0049 | 0.9828 | 8.1 |
| IPDI | 0.0020 | 0.9860 | >20.0 |
| HMDI | 0.0014 | 0.9942 | >24.0 |
Publisher’s Note: MDPI stays neutral with regard to jurisdictional claims in published maps and institutional affiliations. |
© 2022 by the authors. Licensee MDPI, Basel, Switzerland. This article is an open access article distributed under the terms and conditions of the Creative Commons Attribution (CC BY) license (https://creativecommons.org/licenses/by/4.0/).
Share and Cite
Ma, H.; Liu, Y.; Chai, T.; Yu, Y.; Guo, J.; Zhong, L.; Zhang, Q. The Effect of Single Curing Agents on the Curing Reactions of the HTPB-based Binder System. Coatings 2022, 12, 1090. https://doi.org/10.3390/coatings12081090
Ma H, Liu Y, Chai T, Yu Y, Guo J, Zhong L, Zhang Q. The Effect of Single Curing Agents on the Curing Reactions of the HTPB-based Binder System. Coatings. 2022; 12(8):1090. https://doi.org/10.3390/coatings12081090
Chicago/Turabian StyleMa, Hui, Yucun Liu, Tao Chai, Yanwu Yu, Jiahu Guo, Lunchao Zhong, and Qin Zhang. 2022. "The Effect of Single Curing Agents on the Curing Reactions of the HTPB-based Binder System" Coatings 12, no. 8: 1090. https://doi.org/10.3390/coatings12081090
APA StyleMa, H., Liu, Y., Chai, T., Yu, Y., Guo, J., Zhong, L., & Zhang, Q. (2022). The Effect of Single Curing Agents on the Curing Reactions of the HTPB-based Binder System. Coatings, 12(8), 1090. https://doi.org/10.3390/coatings12081090

