RETRACTED: Improving the Structural, Optical and Photovoltaic Properties of Sb- and Bi- Co-Doped MAPbBr3 Perovskite Solar Cell
Abstract
:1. Introduction
2. Materials and Methods
3. Results and Discussion
3.1. X-ray Diffraction (XRD) Analysis
3.1.1. Grain Size and Density of the Dislocation Line
3.1.2. Lattice Constants (a = b = c)
3.1.3. Volume versus Number of Samples
3.2. Ultraviolet–Visible (UV–Vis) Analysis
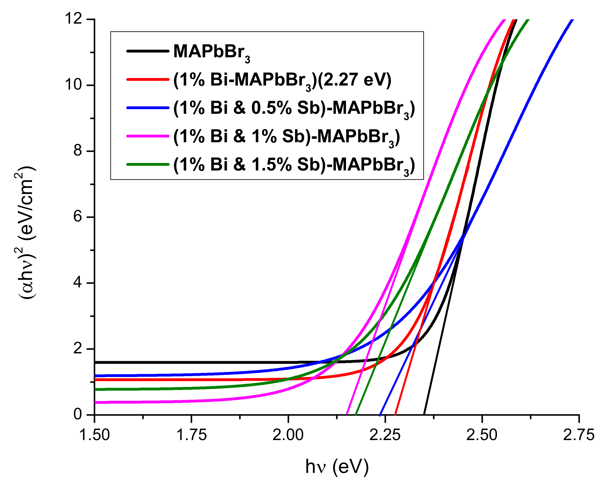
3.2.1. Band Gap Energy (Eg)
3.2.2. Refractive Index
3.2.3. Extinction Coefficient (k)
3.2.4. Dielectric Constant
3.3. J-V Curve of MAPbBr3 with Doping
4. Conclusions
Author Contributions
Funding
Institutional Review Board Statement
Informed Consent Statement
Data Availability Statement
Acknowledgments
Conflicts of Interest
References
- Upadhyaya, A.; Negi, C.M.S.; Yadav, A.; Gupta, S.K.; Verma, A.S. Synthesis and characterization of methylammonium lead iodide perovskite and its application in planar hetero-junction devices. Semicond. Sci. Technol. 2018, 33, 065012. [Google Scholar] [CrossRef]
- Jeong, J.; Kim, M.; Seo, J.; Lu, H.; Ahlawat, P.; Mishra, A.; Yang, Y.; Hope, M.A.; Eickemeyer, F.T.; Kim, M.; et al. Pseudo-halide anion engineering for α-FAPbI3 perovskite solar cells. Nature 2021, 592, 381–385. [Google Scholar] [CrossRef] [PubMed]
- Ma, H.; Yip, H.L.; Huang, F.; Jen, A.K.Y. Interface engineering for organic electronics. Adv. Funct. Mater. 2010, 20, 1371–1388. [Google Scholar] [CrossRef]
- Hernández-Balaguera, E.; Arredondo, B.; del Pozo, G.; Romero, B. Exploring the impact of fractional-order capacitive behavior on the hysteresis effects of perovskite solar cells: A theoretical perspective. Commun. Nonlinear Sci. Numer. Simul. 2020, 90, 105371. [Google Scholar] [CrossRef]
- Hernández-Balaguera, E.; Del Pozo, G.; Arredondo, B.; Romero, B.; Pereyra, C.; Xie, H.; Lira-Cantú, M. Unraveling the key relationship between perovskite capacitive memory, long timescale cooperative relaxation phenomena, and anomalous J–V hysteresis. Solar RRL 2021, 5, 2000707. [Google Scholar] [CrossRef]
- Xing, G.; Mathews, N.; Lim, S.S.; Yantara, N.; Liu, X.; Sabba, D.; Grätzel, M.; Mhaisalkar, S.; Sum, T.C. Low-temperature solution-processed wavelength-tunable perovskites for lasing. Nat. Mater. 2014, 13, 476–480. [Google Scholar] [CrossRef]
- Dong, Y.; Zhao, Y.; Zhang, S.; Dai, Y.; Liu, L.; Li, Y.; Chen, Q. Recent advances toward practical use of halide perovskite nanocrystals. J. Mater. Chem. A 2018, 6, 21729–21746. [Google Scholar] [CrossRef]
- Li, W. Formability, synthesis and properties of perovskite-type oxynitrides. Mater. Sci. 2015, 9, 1–170. [Google Scholar]
- Shi, D.; Adinolfi, V.; Comin, R.; Yuan, M.; Alarousu, E.; Buin, A.; Chen, Y.; Hoogland, S.; Rothenber, A.; Katsiev, G.; et al. Low trap-state density and long carrier diffusion in organolead trihalide perovskite single crystals. Science 2015, 347, 519–522. [Google Scholar] [CrossRef]
- Yin, J.; Ahmed, G.H.; Bakr, O.M.; Brédas, J.L.; Mohammed, O.F. Unlocking the effect of trivalent metal doping in all-inorganic CsPbBr3 perovskite. ACS Energy Lett. 2019, 4, 789–795. [Google Scholar] [CrossRef]
- Nayak, P.K.; Sendner, M.; Wenger, B.; Wang, Z.; Sharma, K.; Ramadan, A.J.; Lovrinčić, R.; Pucci, A.; Madhu, P.K.; Snaith, H.J. Impact of Bi3+ heterovalent doping in organic–inorganic metal halide perovskite crystals. J. Am. Chem. Soc. 2018, 140, 574–577. [Google Scholar] [CrossRef] [PubMed]
- Yamada, Y.; Hoyano, M.; Akashi, R.; Oto, K.; Kanemitsu, Y. Impact of chemical doping on optical responses in bismuth-doped CH3NH3PbBr3 single crystals: Carrier lifetime and photon recycling. J. Phys. Chem. Lett. 2017, 8, 5798–5803. [Google Scholar] [CrossRef] [PubMed]
- Lozhkina, O.A.; Murashkina, A.A.; Shilovskikh, V.V.; Kapitonov, Y.V.; Ryabchuk, V.K.; Emeline, A.V.; Miyasaka, T. Invalidity of band-gap engineering concept for Bi3+ heterovalent doping in CsPbBr3 halide perovskite. J. Phys. Chem. Lett. 2018, 9, 5408–5411. [Google Scholar] [CrossRef] [PubMed]
- Wang, R.; Wang, J.; Tan, S.; Duan, Y.; Wang, Z.K.; Yang, Y. Opportunities and challenges of lead-free perovskite optoelectronic devices. Trends Chem. 2019, 1, 368–379. [Google Scholar] [CrossRef]
- Ramoser, S. Fabrication and testing of organo-lead halide perovskite solar cell and lead-free perovskite solar cells. Tech. Chem. Inst. Chem. Technol. Mater. 2015, 9, 512–520. [Google Scholar]
- Khan, M.I.; Bhatti, K.A.; Qindeel, R.; Althobaiti, H.S.; Alonizan, N. Structural, electrical and optical properties of multilayer TiO2 thin films deposited by sol–gel spin coating. Results Phys. 2017, 7, 1437–1439. [Google Scholar] [CrossRef]
- Bakri, A.S.; Sahdan, M.Z.; Adriyanto, F.; Raship, N.A.; Said, N.D.M.; Abdullah, S.A.; Rahim, M.S. Effect of annealing temperature of titanium dioxide thin films on structural and electrical properties. AIP Conf. Proc. 2017, 1788, 030030–030038. [Google Scholar]
- Ahmed, M.; Bakry, A.; Shaaban, E.R.; Dalir, H. Structural, electrical, and optical properties of ITO thin films and their influence on performance of CdS/CdTe thin-film solar cells. J. Mater. Sci. Mater. Electron. 2021, 32, 11107–11118. [Google Scholar] [CrossRef]
- Williamson, G.; Hall, W. Discussion of the theories of line broadening. Acta Met. 1953, 1, 90006. [Google Scholar]
- Mehmood, B.; Khan, M.I.; Iqbal, M.; Mahmood, A.; Al-Masry, W. Structural and optical properties of Ti and Cu co-doped ZnO thin films for photovoltaic applications of dye sensitized solar cells. Int. J. Energy Res. 2021, 45, 2445–2459. [Google Scholar] [CrossRef]
- Moss, T. Relations between the refractive index and energy gap of semiconductors. Phys. Status Solidi B 1985, 131, 415–427. [Google Scholar] [CrossRef]
- Fru, J.N.; Nombona, N.; Diale, M. Synthesis and characterisation of methylammonium lead tri-bromide perovskites thin films by sequential physical vapor deposition. Phys. B Condens. Matter 2020, 578, 411884. [Google Scholar] [CrossRef]
- Wang, Y.; Luü, X.; Yang, W.; Wen, T.; Yang, L.; Ren, X.; Wang, L.; Lin, Z.; Zhao, Y. Pressure-induced phase transformation, reversible amorphization, and anomalous visible light response in organolead bromide perovskite. J. Am. Chem. Soc. 2015, 137, 11144–11149. [Google Scholar] [CrossRef]
- Sheng, R.; Ho-Baillie, A.; Huang, S.; Chen, S.; Wen, X.; Hao, X.; Green, M.A. Methylammonium Lead Bromide Perovskite-Based Solar Cells by Vapor-Assisted Deposition. J. Phys. Chem. C 2015, 119, 3545–3549. [Google Scholar] [CrossRef]
- Singh, M.; Goyal, M.; Devlal, K. Size and shape effects on the band gap of semiconductor compound nanomaterials. J. Taibah Univ. Sci. 2018, 12, 470–475. [Google Scholar] [CrossRef]
- Liu, G.; Kong, L.; Gong, J.; Yang, W.; Mao, H.K.; Hu, Q.; Schaller, R.D.; Dera, P.; Zhang, D.; Liu, Z.; et al. Pressure-Induced Bandgap Optimization in Lead-Based Perovskites with Prolonged Carrier Lifetime and Ambient Retainability. Adv. Funct. Mater. 2016, 27, 1604208. [Google Scholar] [CrossRef]
- Tsuboi, T.; Sakoda, S. Electronic structure of the Tl+ center in KCl. II. Relation to the D band. Phys. Rev. B 1980, 22, 4972. [Google Scholar] [CrossRef]
- Lushchik, A.; Feldbach, E.; Kotomin, E.A.; Kudryavtseva, I.; Kuzovkov, V.N.; Popov, A.I.; Seeman, V.; Shablonin, E. Distinctive features of diffusion-controlled radiation defect recombination in stoichiometric magnesium aluminate spinel single crystals and transparent polycrystalline ceramics. Sci. Rep. 2020, 10, 7810–7819. [Google Scholar] [CrossRef]
- Bahadur, A.; Mishra, M. Correlation between refractive index and electronegativity difference for ANB8-N type binary semiconductors. Acta Phys. Pol. A 2013, 123, 737–740. [Google Scholar] [CrossRef]
- Reddy, R.R.; Gopal, K.R.; Narasimhulu, K.; Reddy, L.S.S.; Kumar, K.R.; Reddy, C.K.; Ahmed, S.N. Correlation between optical electronegativity and refractive index of ternary chalcopyrites, semiconductors, insulators, oxides and alkali halides. Opt. Mater. 2008, 31, 209–212. [Google Scholar] [CrossRef]
- Herve, P.; Vandamme, L. General relation between refractive index and energy gap in semiconductors. Infrared Phys. Technol. 1994, 35, 609–615. [Google Scholar] [CrossRef]
- Longman, R. Bonding energy levels and bonds in organic solids. Longman Sci. Technol. 1990, 3, 1–249. [Google Scholar]
- Murphy, A. Band-gap determination from diffuse reflectance measurements of semiconductor films, and application to photoelectrochemical water-splitting. Sol. Energy Mater. Sol. Cells 2007, 91, 1326–1337. [Google Scholar] [CrossRef]
- Khan, M.I.; Naeem, M.; Mustafa, G.M.; Abubshait, S.A.; Mahmood, A.; Al-Masry, W.; Al-Garadi, N.Y.A.; Ramay, S.M. Synthesis and characterization of Co and Ga co-doped ZnO thin films as an electrode for dye sensitized solar cells. Ceram. Int. 2020, 46, 26590–26597. [Google Scholar] [CrossRef]
- Aydin, C. Synthesis of Pd: ZnO nanofibers and their optical characterization dependent on modified morphological properties. J. Alloys Compd. 2019, 777, 145–151. [Google Scholar] [CrossRef]
- Caglar, M.; Ilican, S.; Caglar, Y.; Yakuphanoglu, F. Electrical conductivity and optical properties of ZnO nanostructured thin film. Appl. Surf. Sci. 2009, 255, 4491–4496. [Google Scholar] [CrossRef]







| Sample | Eg (eV) | n | k | Ɛr | Ɛi |
|---|---|---|---|---|---|
| MAPbBr3 | 2.35 | 2.57 | 2.16 | 1.94 | 11.4 |
| 1% Bi-MAPbBr3 | 2.27 | 2.59 | 2.21 | 1.82 | 11.5 |
| (1% Bi & 0.5% Sb)-MAPbBr3 | 2.23 | 2.61 | 2.23 | 1.84 | 11.6 |
| (1% Bi & 1% Sb)-MAPbBr3 | 2.14 | 2.65 | 2.13 | 2.49 | 11.3 |
| (1% Bi & 1.5% Sb)-MAPbBr3 | 2.17 | 2.64 | 2.22 | 2.04 | 11.7 |
| Samples | Jsc mA/cm2 | Voc (V) | FF | Efficiency η% |
|---|---|---|---|---|
| MAPbBr3 | 8.72 | 1.29 | 0.66 | 7.5 |
| 1% Bi-MAPbBr3 | 9.34 | 1.3 | 0.65 | 7.9 |
| (1% Bi & 0.5% Sb)-MAPbBr3 | 10.06 | 1.31 | 0.64 | 8.5 |
| (1% Bi & 1% Sb)-MAPbBr3 | 12.12 | 1.32 | 0.73 | 11.6 |
| (1% Bi & 1.5% Sb)-MAPbBr3 | 11.09 | 1.32 | 0.66 | 9.65 |
Publisher’s Note: MDPI stays neutral with regard to jurisdictional claims in published maps and institutional affiliations. |
© 2022 by the authors. Licensee MDPI, Basel, Switzerland. This article is an open access article distributed under the terms and conditions of the Creative Commons Attribution (CC BY) license (https://creativecommons.org/licenses/by/4.0/).
Share and Cite
Khan, M.I.; Mukhtar, A.; Alwadai, N.; Irfan, M.; Haq, I.-u.; Albalawi, H.; Almuqrin, A.H.; Almoneef, M.M.; Iqbal, M. RETRACTED: Improving the Structural, Optical and Photovoltaic Properties of Sb- and Bi- Co-Doped MAPbBr3 Perovskite Solar Cell. Coatings 2022, 12, 386. https://doi.org/10.3390/coatings12030386
Khan MI, Mukhtar A, Alwadai N, Irfan M, Haq I-u, Albalawi H, Almuqrin AH, Almoneef MM, Iqbal M. RETRACTED: Improving the Structural, Optical and Photovoltaic Properties of Sb- and Bi- Co-Doped MAPbBr3 Perovskite Solar Cell. Coatings. 2022; 12(3):386. https://doi.org/10.3390/coatings12030386
Chicago/Turabian StyleKhan, Muhammad Iftikhar, Amna Mukhtar, Norah Alwadai, Muhammad Irfan, Ikram-ul Haq, Hind Albalawi, Aljawhara H. Almuqrin, Maha M. Almoneef, and Munawar Iqbal. 2022. "RETRACTED: Improving the Structural, Optical and Photovoltaic Properties of Sb- and Bi- Co-Doped MAPbBr3 Perovskite Solar Cell" Coatings 12, no. 3: 386. https://doi.org/10.3390/coatings12030386
APA StyleKhan, M. I., Mukhtar, A., Alwadai, N., Irfan, M., Haq, I.-u., Albalawi, H., Almuqrin, A. H., Almoneef, M. M., & Iqbal, M. (2022). RETRACTED: Improving the Structural, Optical and Photovoltaic Properties of Sb- and Bi- Co-Doped MAPbBr3 Perovskite Solar Cell. Coatings, 12(3), 386. https://doi.org/10.3390/coatings12030386

