Corrosion Behaviors of Fe-22Cr-16Mn-0.55N High-Nitrogen Austenitic Stainless Steel in 3.5% NaCl Solution
Abstract
1. Introduction
2. Experimental Details
2.1. Materials
2.2. Sample Preparation
2.3. Experimental Method
3. Results and Discussion
3.1. EBSD Analysis
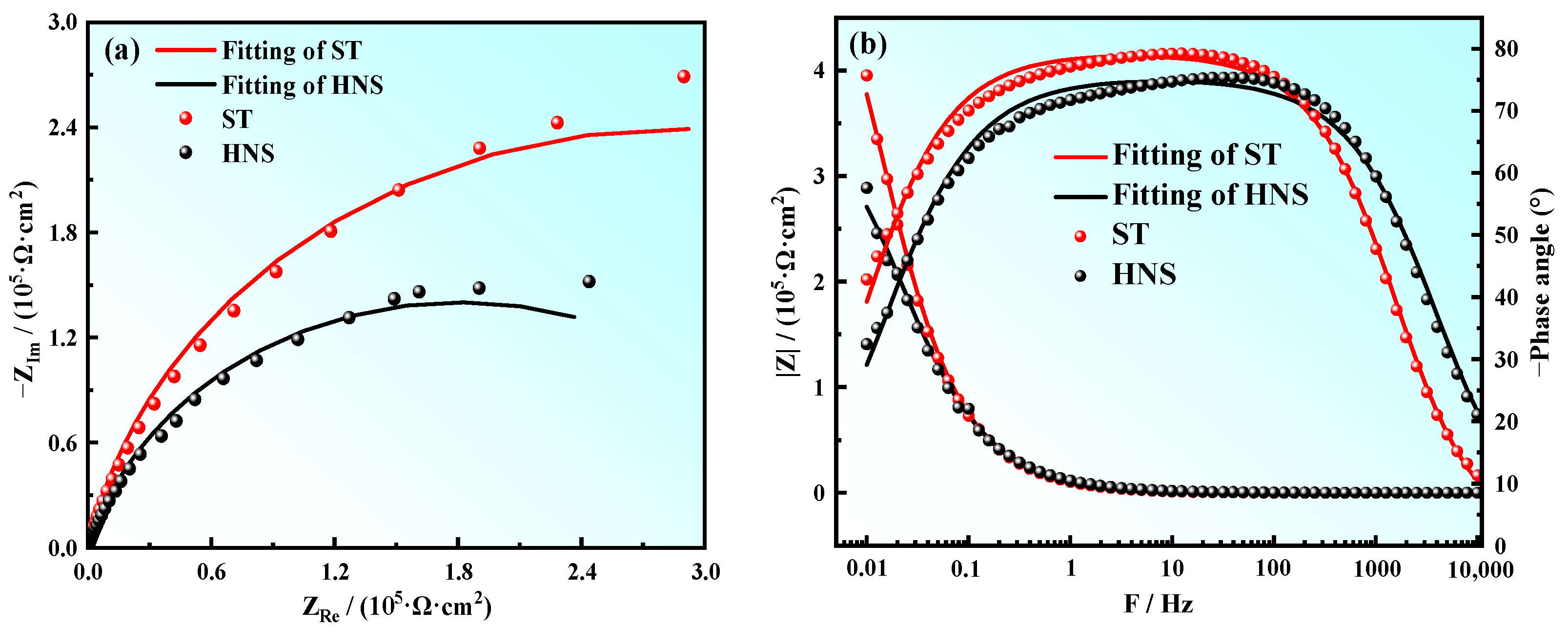
3.2. Electrochemical Tests
3.3. Passive Film Performance
3.3.1. Potentiostatic Polarization
3.3.2. Mott–Schottky Analysis
3.4. Passive Film Anylysis
4. Conclusions
- (1)
- Compared with HNS, the test steel at solution temperature shows higher open circuit potential, lower activity, lower corrosion current density and superior corrosion resistance.
- (2)
- The steady-state current density of HNS was very high, and its passive film was extremely unstable. After solid solution, the current density was low, and the passive film was relatively stable and dense. The passive films of both materials exhibited n-p structures. However, the carrier density of ST passive film was lower than that of HNS, resulting in superior protection.
- (3)
- The concentration of Cr in the ST passive film was relatively large, resulting in improved protective ability. The content of Fe metal declined in ST, while the content of the oxides Fe2O3 and FeOOH increased, and this also improved the protective ability of the passive film.
- (4)
- The solution treatment process (solution temperature of 1100 °C, solution time of 30 min) set this time has greatly improved the corrosion resistance of HNS and the passive film protection of HNS.
Author Contributions
Funding
Institutional Review Board Statement
Informed Consent Statement
Data Availability Statement
Conflicts of Interest
References
- Erneman, J.; Schwind, M.; Liu, P.; Nilsson, J.O.; Andrén, H.O.; Ågren, J. Precipitation reactions caused by nitrogen uptake during service at high temperatures of a niobium stabilised austenitic stainless steel. Acta Mater. 2004, 52, 4337–4350. [Google Scholar] [CrossRef]
- Talha, M.; Behera, C.K.; Sinha, O.P. In-vitro long term and electrochemical corrosion resistance of cold deformed nitrogen containing austenitic stainless steels in simulated body fluid. Mater. Sci. Eng. C 2014, 40, 455–466. [Google Scholar] [CrossRef] [PubMed]
- Li, D.F.; Dong, H.Y.; Hu, C.Y.; Wu, K.M.; Yershov, S.; Isayev, O. Erosion–corrosion resistance of Mo–Ti- and Ni–Cr–Mo-alloyed medium-carbon martensitic steels: A critical analysis of synergistic effect of erosion and corrosion. J. Iron Steel Res. Int. 2022, 29, 1299–1311. [Google Scholar] [CrossRef]
- Bai, G.; Lu, S.; Li, D.; Li, Y. Influences of niobium and solution treatment temperature on pitting corrosion behaviour of stabilised austenitic stainless steels. Corros. Sci. 2016, 108, 111–124. [Google Scholar] [CrossRef]
- Xu, L.W.; Zheng, H.B.; Li, H.B.; Jiang, Z.H.; Zhang, S.C.; Yu, J.T.; Feng, H.; Lin, Y. Precipitation behavior of P550 steel for non-magnetic drill collars during isothermal aging at 650–900 °C. J. Iron Steel Res. Int. 2022, 29, 636–646. [Google Scholar] [CrossRef]
- Ningshen, S.; Kamachi Mudali, U.; Mittal, V.K.; Khatak, H.S. Semiconducting and passive film properties of nitrogen-containing type 316LN stainless steels. Corros. Sci. 2007, 49, 481–496. [Google Scholar] [CrossRef]
- Kim, S.T.; Jang, S.H.; Lee, I.S.; Park, Y.S. Effects of solution heat-treatment and nitrogen in shielding gas on the resistance to pitting corrosion of hyper duplex stainless steel welds. Corros. Sci. 2011, 53, 1939–1947. [Google Scholar] [CrossRef]
- Erneman, J.; Schwind, M.; Andren, H.; Nilsson, J.; Wilson, A.; Agren, J. The evolution of primary and secondary niobium carbonitrides in AISI 347 stainless steel during manufacturing and long-term ageing. Acta Mater. 2006, 54, 67–76. [Google Scholar] [CrossRef]
- Cui, Y.W.; Chen, L.Y.; Qin, P.; Li, R.F.; Zang, Q.H.; Peng, J.H.; Zhang, L.N.; Lu, S.; Wang, L.Q.; Zhang, L.C. Metastable pitting corrosion behavior of laser powder bed fusion produced Ti-6Al-4V in Hank’s solution. Corros. Sci. 2022, 203, 110333. [Google Scholar] [CrossRef]
- Frankel, G.S. Pitting corrosion of metals: A review of the critical factors. J. Electrochem. Soc. 2019, 145, 2186–2198. [Google Scholar] [CrossRef]
- Wang, T.H.; Wang, J.; Bai, J.G.; Wang, S.J.; Che, C.; Han, P.D. Effect of boron on dissolution and repairing behavior of passive film on S31254 super-austenitic stainless steel immersed in H2SO4 solution. J. Iron Steel Res. Int. 2022, 29, 1012–1025. [Google Scholar] [CrossRef]
- Zhao, Y.N.; Cong, Y.Q.; Zhu, X.Y.; Liu, W.Y.; Liu, Y.; Wang, D.Y. Solid solution effect on grain boundary character distribution and corrosion resistance of 304 stainless steel. Russ. J. Electrochem. 2021, 56, 1031–1036. [Google Scholar]
- Zhou, W.Q.; Han, C.F.; Sun, Y.F. Influence of solution treatment on microstructure and corrosion behavior of high-nitrogen austenitic stainless steel. Foundry 2018, 67, 516–520. [Google Scholar]
- Zhou, R.; Northwood, D.O.; Liu, C. On nitrogen diffusion during solution treatment in a high nitrogen austenitic stainless steel. J. Mater. Res. Technol. 2020, 9, 2331–2337. [Google Scholar] [CrossRef]
- Tan, C.L.; Chew, Y.X.; Bi, G.J.; Wang, D.; Ma, W.Y.; Yang, Y.Q.; Zhou, K.S. Additive manufacturing of steel–copper functionally graded material with ultrahigh bonding strength. J. Mater. Sci. Technol. 2021, 72, 217–222. [Google Scholar] [CrossRef]
- Song, Y.L.; Li, C.S.; Li, B.Z.; Han, Y.H. Grain character and mechanical properties of Fe-21Cr-15Ni-6Mn-Nb non-magnetic stainless steel after solution treatment. Mater. Sci. Eng. A 2019, 742, 662–671. [Google Scholar] [CrossRef]
- Hao, Y.S.; Liu, W.C.; Li, J.; Nie, B.X.; Zhang, W.N.; Liu, Z.Y. Microstructural bandings evolution behavior and their effects on microstructure and mechanical property of super-austenitic stainless steel. Mater. Sci. Eng. A 2018, 736, 258–268. [Google Scholar] [CrossRef]
- Katada, Y.; Sagara, M.; Kobayashi, Y.; Kodama, T. Fabrication of high strength high nitrogen stainless steel with excellent corrosion resistance and its mechanical properties. Mater. Manuf. Process. 2004, 19, 19–30. [Google Scholar] [CrossRef]
- Sun, J.K.; Sun, L.; Dai, N.W.; Li, J.; Jiang, Y.M. Investigation on ultra-pure ferritic stainless steel 436L susceptibility to intergranular corrosion using optimised double loop electrochemical potentiokinetic reactivation method. Corros. Eng. Sci. Technol. 2018, 53, 574–581. [Google Scholar] [CrossRef]
- De Lacerda, J.C.; de Freitas, L.L.; Brito, R.F.; Moura, F.F.; Teixeira, R.L.P. Comparative study between sensitization degree of the 0.4% Mo austenitic stainless steel and UNS S31803 duplex stainless steel. Mater. Res. 2021, 24, e20200408. [Google Scholar]
- Kim, J.K.; Kim, Y.H.; Lee, B.H.; Kim, K.Y. New findings on intergranular corrosion mechanism of stabilized stainless steels. Electrochim. Acta 2011, 56, 1701–1710. [Google Scholar] [CrossRef]
- Qiao, Y.X.; Wang, X.Y.; Yang, L.L.; Wang, X.J.; Chen, J.; Wang, Z.B.; Zhou, H.L.; Zou, J.S.; Wang, F.H. Effect of aging treatment on microstructure and corrosion behavior of a Fe-18Cr-15Mn-0.66N stainless steel. J. Mater. Sci. Technol. 2022, 107, 197–206. [Google Scholar] [CrossRef]
- Zhang, W.J.; Liu, F.G.; Liu, L.X.; Li, Q.G.; Liu, L.Y.; Liu, F.C.; Huang, C.P. Effect of grain size and distribution on the corrosion behavior of Y2O3 dispersion-strengthened 304 stainless steel. Mater. Today Commun. 2022, 31, 103723. [Google Scholar] [CrossRef]
- Fu, X.Q.; Ji, Y.C.; Cheng, X.Q.; Dong, C.F.; Fan, Y.; Li, X.G. Effect of grain size and its uniformity on corrosion resistance of rolled 316L stainless steel by EBSD and TEM. Mater. Today Commun. 2020, 25, 101429. [Google Scholar]
- Shi, F.; Gao, R.H.; Guan, X.J.; Liu, C.M.; Li, X.W. Application of grain boundary engineering to improve intergranular corrosion resistance in a Fe–Cr–Mn–Mo–N high-nitrogen and nickel-free austenitic stainless steel. Acta Metall. Sin. (Engl. Lett.) 2020, 33, 789–798. [Google Scholar] [CrossRef]
- Qin, T.; Lin, X.; Yu, J.; Wang, M.; Guo, P.F.; Li, J.Q.; Zhang, Y.F.; Liu, J.R.; Zhang, S.L.; Huang, W.D. Performance of different microstructure on electrochemical behaviors of laser solid formed Ti–6Al–4V alloy in NaCl solution. Corros. Sci. 2021, 185, 109392. [Google Scholar] [CrossRef]
- Zheng, Z.B.; Long, J.; Guo, Y.; Hui, L.; Zheng, K.H.; Qiao, Y.X. Corrosion and impact–abrasion–corrosion behaviors of quenching–tempering martensitic Fe–Cr alloy steels. J. Iron Steel Res. Int. 2022, 29, 1853–1863. [Google Scholar] [CrossRef]
- Stefanoni, M.; Angst, U.; Elsener, B. Local electrochemistry of reinforcement steel—Distribution of open circuit and pitting potentials on steels with different surface condition. Corros. Sci. 2015, 98, 610–618. [Google Scholar] [CrossRef]
- Wang, D.P.; Chen, G.; Wang, A.D.; Wang, Y.X.; Liu, Z.G.; Qi, Z.X.; Liu, C.T. Corrosion behavior of single- and poly-crystalline dual-phase TiAl-Ti3Al alloy in NaCl solution. Int. J. Min. Metall. Mater. 2022, 1–25. [Google Scholar] [CrossRef]
- Chen, X.Q.; Wang, Z.Y.; Shang, F.; Li, H.Q.; He, Y.Q. Effect of solution treatment on corrosion resistance of 06Cr23Mn22MoN high nitrogen nickel-free austenitic stainless steel. Trans. Mater. Heat Treat 2019, 40, 83–88. [Google Scholar]
- Qiao, Y.X.; Xu, D.K.; Wang, S.; Ma, Y.J.; Chen, J.; Wang, Y.X.; Zhou, H.L. Effect of hydrogen charging on microstructural evolution and corrosion behavior of Ti-4Al-2V-1Mo-1Fe alloy. J. Mater. Sci. Technol. 2021, 60, 168–176. [Google Scholar] [CrossRef]
- Liu, L.; Li, Y.F.H. Wang, Influence of nanocrystallization on passive behavior of Ni-based superalloy in acidic solutions. Electrochim. Acta 2007, 52, 2392–2400. [Google Scholar]
- Qiao, Y.X.; Wang, X.Y.; Chen, J.; Yang, L.L.; Wang, X.J.; Zhou, H.L.; Zou, J.S. Electrochemical behavior and passive film composition of a high-nitrogen nickel-free austenitic stainless steel. Arab. J. Sci. Eng. 2022, 44, 887–894. [Google Scholar] [CrossRef]
- Zhang, H.; Wang, D.; Xue, P.; Wu, L.H.; Ni, D.R.; Ma, Z.Y. Microstructural evolution and pitting corrosion behavior of friction stir welded joint of high nitrogen stainless steel. Mater. Des. 2016, 110, 802–810. [Google Scholar] [CrossRef]
- Jiang, J.; Wang, Z.B.; Zheng, Y.G.; Li, Y. Effect of oxygen impurity on corrosion behavior of a Zr-based bulk metallic glass in 0.5 M H2SO4 and 0.5 M NaOH solutions. Mater. Lett. 2023, 330, 133231. [Google Scholar] [CrossRef]
- Oguzie, E.E.; Li, J.B.; Liu, Y.Q.; Chen, D.M.; Li, Y.; Yang, K.; Wang, F.H. The effect of Cu addition on the electrochemical corrosion and passivation behavior of stainless steels. Electrochim. Acta 2010, 55, 5028–5035. [Google Scholar] [CrossRef]
- Nady, H.; El-Rabiei, M.M.; Samy, M. Corrosion behavior and electrochemical properties of carbon steel, commercial pure titanium, copper and copper–aluminum–nickel alloy in 3.5% sodium chloride containing sulfide ions. Egypt. J. Petrol. 2017, 26, 79–94. [Google Scholar] [CrossRef]
- Wang, Z.; Zhang, Z.R.; Zhang, L.; Feng, Z.; Lu, M.X. Comparison study on the semiconductive and dissolution behaviour of 316L and Alloy 625 in hydrochloric acid solution. Acta Metall. Sin. Engl. Lett. 2019, 33, 403–414. [Google Scholar] [CrossRef]
- Yang, J.; Wang, Z.B.; Qiao, Y.X.; Zheng, Y.G. Synergistic effects of deposits and sulfate reducing bacteria on the corrosion of carbon steel. Corros. Sci. 2022, 199, 110210. [Google Scholar] [CrossRef]
- Qiao, Y.X.; Chen, Y.P.; Li, L.L.; Chen, J.; Emori, W.; Wang, X.J.; Yang, L.L.; Zhou, H.L.; Song, G.; Naik, N.; et al. Corrosion behavior of a nickel-free high-nitrogen stainless steel with hydrogen charging. JOM 2021, 73, 1165–1172. [Google Scholar] [CrossRef]
- Tang, Y.B.; Shen, X.W.; Liu, Z.H.; Qiao, Y.X.; Yang, L.L.; Lu, D.H.; Zou, J.S.; Xu, J. Corrosion Behaviors of Selective Laser Melted Inconel 718 Alloy in NaOH Solution. Acta Metall. Sin. 2022, 58, 324–333. [Google Scholar]
- Ming, J.; Wu, M.; Shi, J.J. Passive film modification by concrete carbonation: Re-visiting a corrosion-resistant steel with Cr and Mo. Cement Concrete Comp. 2021, 123, 104178. [Google Scholar] [CrossRef]
- Sun, S.C.; Wei, S.F.; Wang, G.Y.; Jiang, Z.H.; Lian, J.S.; Ji, C.T. The synthesis and electrochemical behavior of high-nitrogen nickel-free austenitic stainless steel. J. Mater. Eng. Perform. 2014, 23, 3957–3962. [Google Scholar] [CrossRef]
- Ma, H.; Berthier, Y.; Marcus, P. NH3 probing of the surface acidity of passive flms on chromium. Corros. Sci. 2002, 44, 171–178. [Google Scholar] [CrossRef]










| Samples | Ecorr/VSCE | icorr/A·cm−2 | Ep/VSCE |
|---|---|---|---|
| HNS | −0.27 ± 0.02 | (1.12 ± 0.10) × 10−7 | −0.12 ± 0.02 |
| ST | −0.21 ± 0.02 | (0.25 ± 0.12) × 10−7 | −0.03 ± 0.01 |
| Samples | Rs/Ω·cm2 | Q/Ω−1 sn cm−2 | n | Rp/Ω·cm2 |
|---|---|---|---|---|
| HNS | 11.24 | 1.88 × 10−5 | 0.84 | 3.63 × 105 |
| ST | 15.53 | 1.96 × 10−5 | 0.88 | 5.76 × 105 |
| Samples | HNS | ST |
|---|---|---|
| ND (cm−3) | 2.76 × 1018 | 1.03 × 1018 |
Publisher’s Note: MDPI stays neutral with regard to jurisdictional claims in published maps and institutional affiliations. |
© 2022 by the authors. Licensee MDPI, Basel, Switzerland. This article is an open access article distributed under the terms and conditions of the Creative Commons Attribution (CC BY) license (https://creativecommons.org/licenses/by/4.0/).
Share and Cite
Xu, S.; Gao, F.; Han, J.; Xiong, S.; Duan, X.; Zha, F.; Yu, B.; Yang, L.; Qiao, Y.; Zheng, Z.; et al. Corrosion Behaviors of Fe-22Cr-16Mn-0.55N High-Nitrogen Austenitic Stainless Steel in 3.5% NaCl Solution. Coatings 2022, 12, 1769. https://doi.org/10.3390/coatings12111769
Xu S, Gao F, Han J, Xiong S, Duan X, Zha F, Yu B, Yang L, Qiao Y, Zheng Z, et al. Corrosion Behaviors of Fe-22Cr-16Mn-0.55N High-Nitrogen Austenitic Stainless Steel in 3.5% NaCl Solution. Coatings. 2022; 12(11):1769. https://doi.org/10.3390/coatings12111769
Chicago/Turabian StyleXu, Song, Fengyin Gao, Jianyang Han, Shangfeng Xiong, Xinyu Duan, Fanglin Zha, Bing Yu, Lanlan Yang, Yanxin Qiao, Zhibin Zheng, and et al. 2022. "Corrosion Behaviors of Fe-22Cr-16Mn-0.55N High-Nitrogen Austenitic Stainless Steel in 3.5% NaCl Solution" Coatings 12, no. 11: 1769. https://doi.org/10.3390/coatings12111769
APA StyleXu, S., Gao, F., Han, J., Xiong, S., Duan, X., Zha, F., Yu, B., Yang, L., Qiao, Y., Zheng, Z., & Chen, J. (2022). Corrosion Behaviors of Fe-22Cr-16Mn-0.55N High-Nitrogen Austenitic Stainless Steel in 3.5% NaCl Solution. Coatings, 12(11), 1769. https://doi.org/10.3390/coatings12111769

