On the Superconducting Critical Temperature of Heavily Disordered Interfaces Hosting Multi-Gap Superconductivity
Abstract
1. Introduction
2. Two-Band Superconductor in the Presence of Disorder
3. Results
3.1. Toy Model: Finite-Bandwidth Effect in a Single-Band System
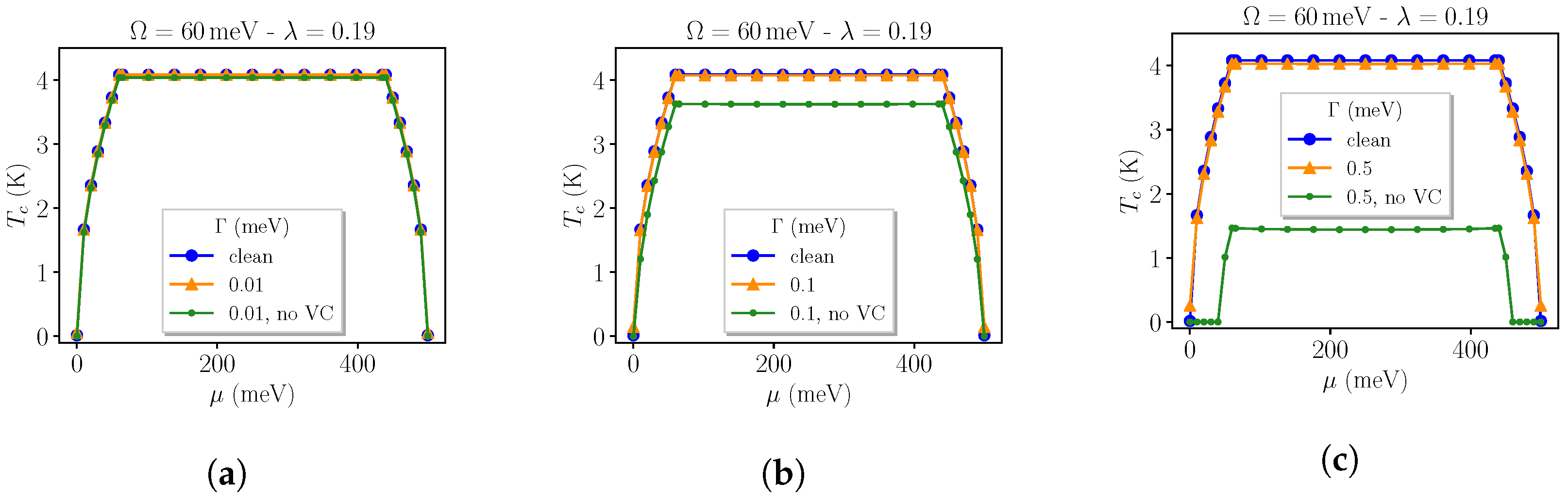
3.2. Two Uncoupled Disordered Bands
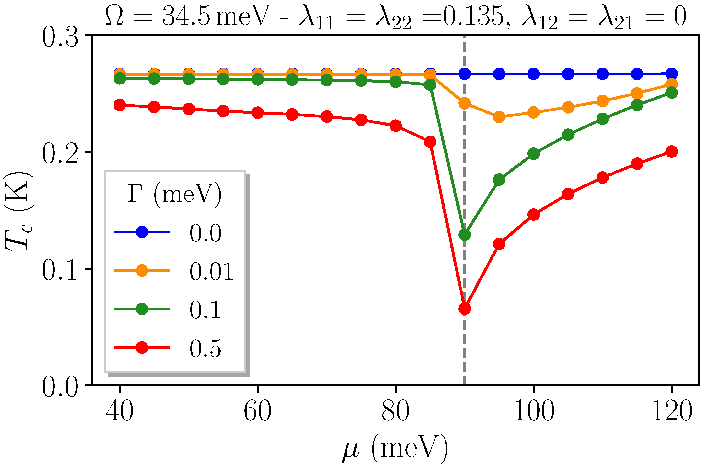
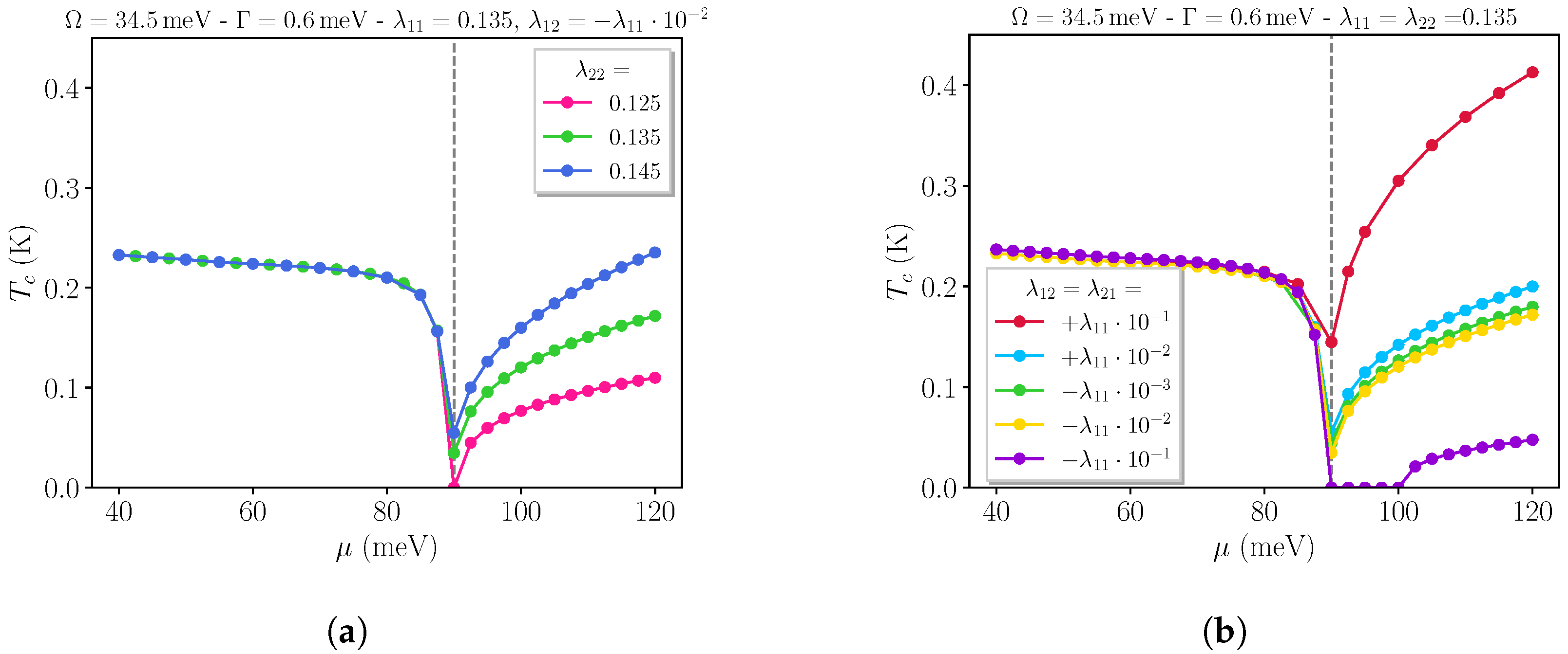
3.3. Two Coupled Disordered Bands
4. Conclusions
Author Contributions
Funding
Institutional Review Board Statement
Informed Consent Statement
Data Availability Statement
Acknowledgments
Conflicts of Interest
Abbreviations
| STO | SrTiO |
| LAO/STO | LaAlO/SrTiO |
| BCS | Bardeen-Cooper-Shrieffer |
| BEC | Bose-Einstein condensation |
| DOS | Density of states |
References
- Anderson, P.W. Theory of dirty superconductors. J. Phys. Chem. Solids 1959, 11, 26–30. [Google Scholar] [CrossRef]
- Giubileo, F.; Roditchev, D.; Sacks, W.; Lamy, R.; Thanh, D.X.; Klein, J.; Miraglia, S.; Fruchart, D.; Marcus, J.; Monod, P.H. Two-Gap State Density in MgB2: A True Bulk Property Or A Proximity Effect? Phys. Rev. Lett. 2001, 87, 177008. [Google Scholar] [CrossRef]
- Hanaguri, T.; Niitaka, S.; Kuroki, K.; Takagi, H. Unconventional s-Wave Superconductivity in Fe(Se,Te). Science 2010, 328, 474–476. [Google Scholar] [CrossRef] [PubMed]
- Sprau, P.O.; Kostin, A.; Kreisel, A.; Böhmer, A.; Taufour, V.; Canfield, P.C.; Mukjerjee, S.; Hirschfeld, P.J.; Andersen, B.M.; Seamus Davis, C. Discovery of orbital-selective Cooper pairing in FeSe. Science 2017, 357, 75–80. [Google Scholar] [CrossRef]
- Shan, L.; Wang, Y.L.; Shen, B.; Zeng, B.; Huang, Y.; Li, A.; Wang, D.; Yang, H.; Ren, C.; Wang, Q.H.; et al. Observation of ordered vortices with Andreev bound states in Ba0.6K0.4Fe2As2. Nat. Phys. 2011, 7, 325–331. [Google Scholar] [CrossRef]
- Teague, M.L.; Drayna, G.K.; Lockhart, G.P.; Cheng, P.; Shen, B.; Wen, H.-H.; Yeh, N.C. Measurement of a Sign-Changing Two-Gap Superconducting Phase in Electron-Doped Ba(Fe1-xCox)2As2 Single Crystals Using Scanning Tunneling Spectroscopy. Phys. Rev. Lett. 2011, 106, 087004. [Google Scholar] [CrossRef] [PubMed]
- Seyfarth, G.; Brison, J.P.; Méasson, M.-A.; Flouquet, J.; Izawa, K.; Matsuda, Y.; Sugawara, H.; Sato, H. Multiband Superconductivity in the Heavy Fermion Compound PrOs 4 Sb 12. Phys. Rev. Lett. 2005, 95, 107004. [Google Scholar] [CrossRef]
- Kittaka, S.; Aoki, Y.; Shimura, Y.; Sakakibara, T.; Seiro, S.; Geibel, C.; Steglich, F.; Ikeda, H.; Machida, K. Multiband Superconductivity with Unexpected Deficiency of Nodal Quasiparticles in CeCu2Si2. Phys. Rev. Lett. 2014, 112, 067002. [Google Scholar] [CrossRef]
- Caprara, S.; Biscaras, J.; Bergeal, N.; Bucheli, D.; Hurand, S.; Feuillet-Palma, C.; Rastogi, A.; Budhani, R.C.; Lesueur, J.; Grilli, M. Multiband superconductivity and nanoscale inhomogeneity at oxide interfaces. Phys. Rev. B 2013, 88, 020504(R). [Google Scholar] [CrossRef]
- Valentinis, D.; van der Marel, D.; Berthod, C. BCS superconductivity near the band edge: Exact results for one and several bands. Phys. Rev. B 2016, 94, 024511. [Google Scholar] [CrossRef]
- Fernandes, R.M.; Haraldsen, J.T.; Wöfle, P.; Balatsky, A.V. Two-band superconductivity in doped SrTiO films and interfaces. Phys. Rev. B 2013, 87, 014510. [Google Scholar] [CrossRef]
- Singh, G.; Jouan, A.; Herranz, G.; Scigaj, M.; Sánchez, F.; Benfatto, L.; Caprara, S.; Grilli, M.; Saiz, G.; Couëdo, F.; et al. Gap suppression at a Lifshitz transition in a multi-condensate superconductor. Nat. Mater. 2019, 18, 948–954. [Google Scholar] [CrossRef]
- Shen, S.C.; Chen, B.B.; Xue, H.X.; Cao, G.; Li, C.J.; Wang, X.X.; Hong, Y.P.; Guo, G.P.; Dou, R.F.; Xiong, C.M.; et al. Gate dependence of upper critical field in superconducting (110) LaAlO3/SrTiO3 interface. Sci. Rep. 2016, 6, 28379. [Google Scholar] [CrossRef]
- Rout, P.K.; Maniv, E.; Dagan, Y. Link between the Superconducting Dome and Spin-Orbit Interaction in the (111) LaAlO3/SrTiO3 Interface. Phys. Rev. Lett. 2017, 119, 237002. [Google Scholar] [CrossRef] [PubMed]
- Trevisan, T.V.; Schütt, M.; Fernandes, R.M. Unconventional Multiband Superconductivity in Bulk SrTiO3 and LaAlO3/SrTiO3 Interfaces. Phys. Rev. Lett. 2018, 121, 127002. [Google Scholar] [CrossRef]
- Bianconi, A.; Valletta, A.; Perali, A.; Saini, N.L. Superconductivity of a striped phase at the atomic limit. Physica C 1998, 296, 269–280. [Google Scholar] [CrossRef]
- Innocenti, D.; Poccia, N.; Ricci, A.; Valletta, A.; Caprara, S.; Perali, A.; Bianconi, A. Resonant and crossover phenomena in a multiband superconductor: Tuning the chemical potential near a band edge. Phys. Rev. B 2010, 82, 184528. [Google Scholar] [CrossRef]
- Innocenti, D.; Caprara, S.; Poccia, N.; Ricci, A.; Valletta, A.; Bianconi, A. Shape resonance for the anisotropic superconducting gaps near a Lifshitz transition: The effect of electron hopping between layers. Supercond. Sci. Technol. 2011, 24, 015012. [Google Scholar] [CrossRef]
- Bergeal, N.; (Espci Paris, Paris, France); Singh, G.; (Quantum Device Physics Laboratory, Department of Microtechnology and Nanoscience MC2, Chalmers University of Technology, Gothenburg, Sweden). Personal communication, 2019.
- Biscaras, J.; Bergeal, N.; Hurand, S.; Grossetete, C.; Rastogi, A.; Budhani, R.C.; LeBoeuf, D.; Proust, C.; Lesueur, J. Two-Dimensional Superconducting Phase in LaAlO3/SrTiO3 Heterostructures Induced by High-Mobility Carrier Doping. Phys. Rev. Lett. 2012, 108, 247004. [Google Scholar] [CrossRef] [PubMed]
- Chen, X.; Mishra, V.; Maiti, S.; Hirschfeld, P.J. Effect of nonmagnetic impurities on s± superconductivity in the presence of incipient bands. Phys. Rev. B 2016, 94, 054524. [Google Scholar] [CrossRef]
- Markowitz, D.; Kadanoff, L.P. Effect of Impurities upon Critical Temperature of Anisotropic Superconductors. Phys. Rev. 1963, 51, 563. [Google Scholar] [CrossRef]
- Caprara, S.; De Palo, S.; Castellani, C.; Di Castro, C.; Grilli, M. Disorder effects in the t-J model. Phys. Rev. B 1995, 131, 11996. [Google Scholar] [CrossRef] [PubMed]
- Maniv, E.; Ben Shalom, M.; Ron, A.; Mograbi, M.; Palevski, A.; Goldstein, M.; Dagan, Y. Strong, Strong correlations elucidate the electronic structure and phase diagram of LaAlO3/SrTiO3 interface. Nat. Commun. 2015, 6, 8239. [Google Scholar] [CrossRef] [PubMed]
- Zegrodnik, M.; Wójcik, P. Superconducting dome in LaAlO3/SrTiO3 interfaces as a direct consequence of the extended s-wave symmetry of the gap. Phys. Rev. B 2020, 102, 085420. [Google Scholar] [CrossRef]
- Cappelluti, E.; Grimaldi, C.; Marsiglio, F. Topological change of the Fermi surface in low-density Rashba gases: Application to superconductivity. Phys. Rev. Lett. 2007, 98, 167002. [Google Scholar] [CrossRef]
- Caprara, S.; Peronaci, F.; Grilli, M. Intrinsic Instability of Electronic Interfaces with Strong Rashba Coupling. Phys. Rev. Lett. 2012, 109, 196401. [Google Scholar] [CrossRef] [PubMed]
- Bucheli, D.; Grilli, M.; Peronaci, F.; Seibold, G.; Caprara, S. Phase diagrams of voltage-gated oxide interfaces with strong Rashba coupling. Phys. Rev. B 2014, 89, 195448. [Google Scholar] [CrossRef]
- Biscaras, J.; Bergeal, N.; Hurand, S.; Feuillet-Palma, C.; Rastogi, A.; Budhani, R.C.; Grilli, M.; Caprara, S.; Lesueur, J. Multiple quantum criticality in a two-dimensional superconductor. Nat. Mater. 2013, 12, 542. [Google Scholar] [CrossRef]
- Caprara, S.; Bucheli, D.; Scopigno, N.; Bergeal, N.; Biscaras, J.; Hurand, S.; Lesueur, J.; Grilli, M. Inhomogeneous multi carrier superconductivity at LaXO3/SrTiO3 (X = Al or Ti) oxide interfaces. Supercond. Sci. Technol. 2015, 28, 014002. [Google Scholar] [CrossRef]
- Bucheli, D.; Caprara, S.; Grilli, M. Pseudo-gap as a signature of inhomogeneous superconductivity in oxide interfaces. Supercond. Sci. Technol. 2015, 28, 045004. [Google Scholar] [CrossRef][Green Version]
- Singh, G.; Jouan, A.; Herranz, G.; Scigaj, M.; Sánchez, F.; Benfatto, L.; Caprara, S.; Grilli, M.; Saiz, G.; Couëdo, F.; et al. Competition between electron pairing and phase coherence in superconducting interfaces. Nat. Commun. 2018, 18, 948. [Google Scholar] [CrossRef] [PubMed]
- Venditti, G.; Biscaras, J.; Hurand, S.; Bergeal, N.; Lesueur, J.; Dogra, A.; Budhani, R.C.; Mondal, M.; Jesudasan, J.; Raychaudhuri, P.; et al. Nonlinear characteristics of two-dimensional superconductors: Berezinskii-Kosterlitz-Thouless physics versus inhomogeneity. Phys. Rev. B 2019, 100, 064506. [Google Scholar] [CrossRef]
- Carbillet, C.; Caprara, S.; Grilli, M.; Brun, C.; Cren, T.; Debontridder, F.; Vignolle, B.; Tabis, W.; Demaille, D.; Largeau, L.; et al. Confinement of superconducting fluctuations due to emergent electronic inhomogeneities. Phys. Rev. B 2016, 93, 144509. [Google Scholar] [CrossRef]





Publisher’s Note: MDPI stays neutral with regard to jurisdictional claims in published maps and institutional affiliations. |
© 2021 by the authors. Licensee MDPI, Basel, Switzerland. This article is an open access article distributed under the terms and conditions of the Creative Commons Attribution (CC BY) license (https://creativecommons.org/licenses/by/4.0/).
Share and Cite
Venditti, G.; Grilli, M.; Caprara, S. On the Superconducting Critical Temperature of Heavily Disordered Interfaces Hosting Multi-Gap Superconductivity. Coatings 2022, 12, 30. https://doi.org/10.3390/coatings12010030
Venditti G, Grilli M, Caprara S. On the Superconducting Critical Temperature of Heavily Disordered Interfaces Hosting Multi-Gap Superconductivity. Coatings. 2022; 12(1):30. https://doi.org/10.3390/coatings12010030
Chicago/Turabian StyleVenditti, Giulia, Marco Grilli, and Sergio Caprara. 2022. "On the Superconducting Critical Temperature of Heavily Disordered Interfaces Hosting Multi-Gap Superconductivity" Coatings 12, no. 1: 30. https://doi.org/10.3390/coatings12010030
APA StyleVenditti, G., Grilli, M., & Caprara, S. (2022). On the Superconducting Critical Temperature of Heavily Disordered Interfaces Hosting Multi-Gap Superconductivity. Coatings, 12(1), 30. https://doi.org/10.3390/coatings12010030

