ZnO Nanostructured Thin Films via Supersonic Plasma Jet Deposition
Abstract
1. Introduction
2. Materials and Methods
2.1. PA-SJD Device
2.2. Diagnostics
3. Results and Discussion
3.1. Thermal Analysis of the Precursor
3.2. Characterization of the Plasma Reactor
3.3. Structural and Chemical Proprieties of the Deposits
3.3.1. Profilometer Analysis
3.3.2. ATR-FTIR Analysis
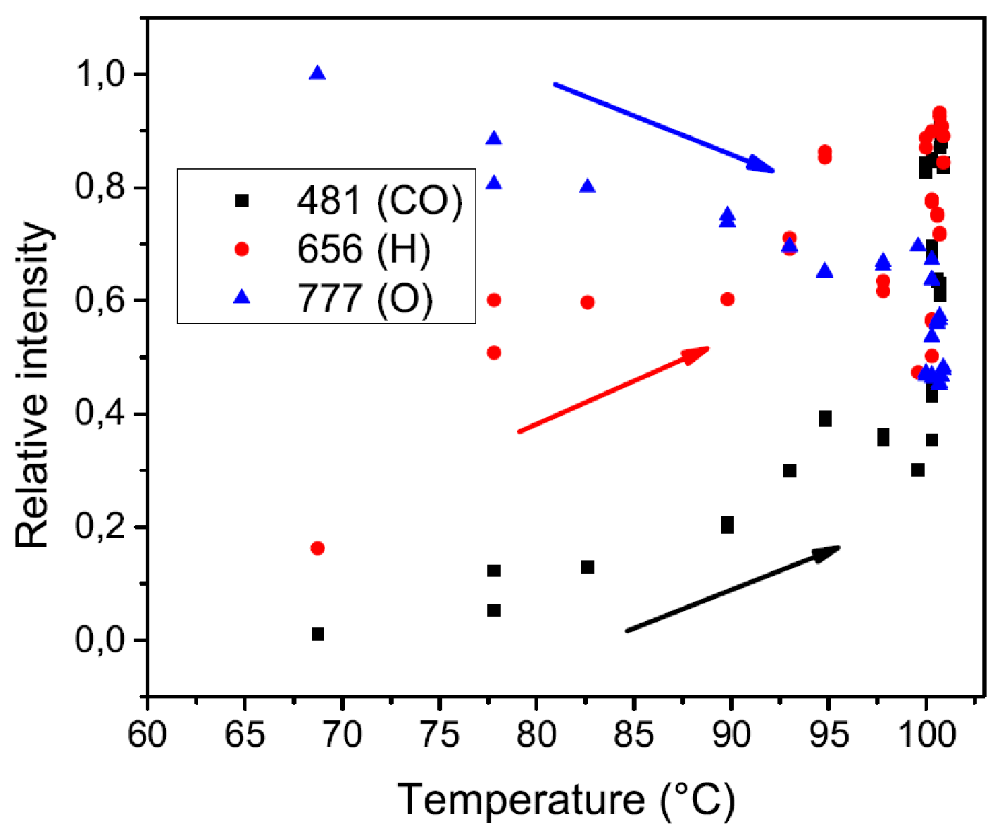
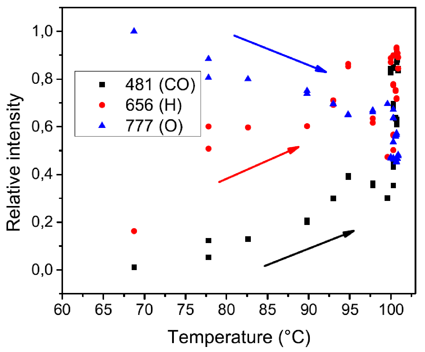
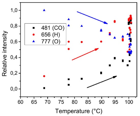
3.3.3. The Annealing Process
3.3.4. Structural and Morphological of the Annealed Films
4. Summary and Conclusions
Author Contributions
Funding
Acknowledgments
Conflicts of Interest
References
- Zanini, S.; Grimoldi, E.; Riccardi, C. Development of controlled releasing surfaces by plasma deposited multilayers. Mater. Chem. Phys. 2013, 138, 850–855. [Google Scholar] [CrossRef]
- Zanini, S.; Polissi, A.; Maccagni, E.A.; Dell’Orto, E.C.; Liberatore, C.; Riccardi, C. Development of antibacterial quaternary ammonium silane coatings on polyurethane catheters. J. Colloid Interface Sci. 2015, 451, 78–84. [Google Scholar] [CrossRef] [PubMed]
- Guozhong, C. Nanostructures and Nanomaterials: Synthesis, Properties and Applications; World Scientific: Singapore, 2004. [Google Scholar]
- Klingshirn, C.F.; Waag, A.; Hoffmann, A.; Geurts, J. Zinc Oxide: From Fundamental Properties towards Novel Applications; Springer Science & Business Media: Berlin, Germany, 2010; Volume 120. [Google Scholar]
- Özgür, Ü.; Alivov, Y.I.; Liu, C.; Teke, A.; Reshchikov, M.A.; Doğan, S.; Avrutin, V.; Cho, S.J.; Morkoç, H. A comprehensive review of ZnO materials and devices. J. Appl. Phys. 2005, 98, 041301. [Google Scholar] [CrossRef]
- Lu, H.; Wang, S.; Zhao, L.; Li, J.; Dong, B.; Xu, Z. Hierarchical ZnO microarchitectures assembled by ultrathin nanosheets: Hydrothermal synthesis and enhanced photocatalytic activity. J. Mater. Chem. 2011, 21, 4228–4234. [Google Scholar] [CrossRef]
- Zhang, H.; Sun, J.; Dagle, V.L.; Halevi, B.; Datye, A.K.; Wang, Y. Influence of ZnO facets on Pd/ZnO catalysts for methanol steam reforming. ACS Catal. 2014, 4, 2379–2386. [Google Scholar] [CrossRef]
- Gao, G.; Yu, L.; Vinu, A.; Shapter, J.G.; Batmunkh, M.; Shearer, C.J.; Yin, T.; Huang, P.; Cui, D. Synthesis of ultra-long hierarchical ZnO whiskers in a hydrothermal system for dye-sensitised solar cells. RSC Adv. 2016, 6, 109406–109413. [Google Scholar] [CrossRef]
- Ramadan, R.; Torres-Costa, V.; Martín-Palma, R.J. Fabrication of Zinc Oxide and Nanostructured Porous Silicon Composite Micropatterns on Silicon. Coatings 2020, 10, 529. [Google Scholar] [CrossRef]
- Dell’Orto, E.; Caldirola, S.; Sassella, A.; Morandi, V.; Riccardi, C. Growth and properties of nanostructured titanium dioxide deposited by supersonic plasma jet deposition. Appl. Surf. Sci. 2017, 425, 407–415. [Google Scholar] [CrossRef]
- Caldirola, S.; Roman, H.; Riccardi, C. Ion dynamics in a supersonic jet: Experiments and simulations. Phys. Rev. E 2016, 93, 033202. [Google Scholar] [CrossRef]
- Biganzoli, I.; Fumagalli, F.; Di Fonzo, F.; Barni, R.; Riccardi, C. A supersonic plasma jet source for controlled and efficient thin film deposition. J. Mod. Phys. 2012, 3, 1626. [Google Scholar] [CrossRef]
- Friedrich, J. The Plasma Chemistry of Polymer Surfaces: Advanced Techniques for Surface Design; John Wiley & Sons: Hoboken, NJ, USA, 2012. [Google Scholar]
- Baxter, J.B.; Aydil, E.S. Metallorganic chemical vapor deposition of ZnO nanowires from zinc acetylacetonate and oxygen. J. Electrochem. Soc. 2008, 156, H52. [Google Scholar] [CrossRef]
- Vovna, V.; Korochentsev, V.; Dotsenko, A. Electronic structures and photoelectron spectra of zinc (II) bis-β-diketonates. Russ. J. Coord. Chem. 2012, 38, 36–43. [Google Scholar] [CrossRef]
- Wolden, C.A. The role of oxygen dissociation in plasma enhanced chemical vapor deposition of zinc oxide from oxygen and diethyl zinc. Plasma Chem. Plasma Process. 2005, 25, 169–192. [Google Scholar] [CrossRef]
- Macknick, A.; Prausnitz, J. Vapor pressures of heavy liquid hydrocarbons by a group-contribution method. Ind. Eng. Chem. Fundam. 1979, 18, 348–351. [Google Scholar] [CrossRef]
- Lucchesi, C.A.; Lewis, W. Latent heat of sublimation of terephthalic acid from differential thermal analysis data. J. Chem. Eng. Data 1968, 13, 389–391. [Google Scholar] [CrossRef]
- Musić, S.; Šarić, A.; Popović, S. Formation of nanosize ZnO particles by thermal decomposition of zinc acetylacetonate monohydrate. Ceram. Int. 2010, 36, 1117–1123. [Google Scholar] [CrossRef]
- Coates, P.D. A Study of the Preparation and Pyrolysis of β-diketonate and Carboxylate Precursors to Semiconducting Zinc Oxide Films. Ph.D. Thesis, Durham University, Durham, UK, 1994. [Google Scholar]
- Barni, R.; Zanini, S.; Riccardi, C. Diagnostics of reactive RF plasmas. Vacuum 2007, 82, 217–219. [Google Scholar] [CrossRef]
- Zanini, S.; Riccardi, C.; Orlandi, M.; Grimoldi, E. Characterisation of SiOxCyHz thin films deposited by low-temperature PECVD. Vacuum 2007, 82, 290–293. [Google Scholar] [CrossRef]
- Ashkenas, H.; Sherman, F.S. Structure and Utilization of Supersonic Free Jets in Low Density Wind Tunnels; NTRS—NASA Technical Reports Server: Washington, DC, USA, 1965.
- Zanini, S.; Massini, P.; Mietta, M.; Grimoldi, E.; Riccardi, C. Plasma treatments of PET meshes for fuel–water separation applications. J. Colloid Interface Sci. 2008, 322, 566–571. [Google Scholar] [CrossRef]
- Hlaing Oo, W.; McCluskey, M.; Lalonde, A.; Norton, M. Infrared spectroscopy of ZnO nanoparticles containing CO2 impurities. Appl. Phys. Lett. 2005, 86, 073111. [Google Scholar] [CrossRef]
- Pholnak, C.; Sirisathitkul, C.; Suwanboon, S.; Harding, D.J. Effects of precursor concentration and reaction time on sonochemically synthesized ZnO nanoparticles. Mater. Res. 2014, 17, 405–411. [Google Scholar] [CrossRef]
- Zanini, S.; Ziano, R.; Riccardi, C. Stable Poly (Acrylic Acid) films from acrylic acid/argon plasmas: Influence of the mixture composition and the reactor geometry on the thin films chemical structures. Plasma Chem. Plasma Process. 2009, 29, 535. [Google Scholar] [CrossRef]
- Damen, T.C.; Porto, S.; Tell, B. Raman effect in zinc oxide. Phys. Rev. 1966, 142, 570. [Google Scholar] [CrossRef]
- Cuscó, R.; Alarcón-Lladó, E.; Ibanez, J.; Artús, L.; Jiménez, J.; Wang, B.; Callahan, M.J. Temperature dependence of Raman scattering in ZnO. Phys. Rev. B 2007, 75, 165202. [Google Scholar] [CrossRef]
- Grimoldi, E.; Zanini, S.; Siliprandi, R.; Riccardi, C. AFM and contact angle investigation of growth and structure of pp-HMDSO thin films. Eur. Phys. J. D 2009, 54, 165–172. [Google Scholar] [CrossRef]
- Trifiletti, V.; Ruffo, R.; Turrini, C.; Tassetti, D.; Brescia, R.; Di Fonzo, F.; Riccardi, C.; Abbotto, A. Dye-sensitized solar cells containing plasma jet deposited hierarchically nanostructured TiO2 thin photoanodes. J. Mater. Chem. A 2013, 1, 11665–11673. [Google Scholar] [CrossRef]













| Bond Energies | |||||||
|---|---|---|---|---|---|---|---|
| Bond | C-C | C-O | C-H | Zn-O | O-H | C=C | C=O |
| eV | 3.576 | 3.7 | 4.26 | 2.861 | 4.768 | 6.239 | 8.271 |
| Wavenumber (cm) | Simmetry |
|---|---|
| 101 | E |
| 208 | 2TA, E |
| 332 | E, E |
| 308 | A(TO) |
| 408 | E(TO) |
| 437 | E |
| 574 | A(LO) |
| 584 | E(LO) |
| Pressure Ar/O (Pa) | RMS (nm) | Grain Size (nm) |
|---|---|---|
| 3.2/4.8 | 4.1 ± 0.4 | 30–40 |
| 1.6/2.4 | 4.5 ± 0.4 | 30–40 |
| 1/3 | 6.2 ± 0.5 | 30–40 |
© 2020 by the authors. Licensee MDPI, Basel, Switzerland. This article is an open access article distributed under the terms and conditions of the Creative Commons Attribution (CC BY) license (http://creativecommons.org/licenses/by/4.0/).
Share and Cite
Carra, C.; Dell’Orto, E.; Morandi, V.; Riccardi, C. ZnO Nanostructured Thin Films via Supersonic Plasma Jet Deposition. Coatings 2020, 10, 788. https://doi.org/10.3390/coatings10080788
Carra C, Dell’Orto E, Morandi V, Riccardi C. ZnO Nanostructured Thin Films via Supersonic Plasma Jet Deposition. Coatings. 2020; 10(8):788. https://doi.org/10.3390/coatings10080788
Chicago/Turabian StyleCarra, Chiara, Elisa Dell’Orto, Vittorio Morandi, and Claudia Riccardi. 2020. "ZnO Nanostructured Thin Films via Supersonic Plasma Jet Deposition" Coatings 10, no. 8: 788. https://doi.org/10.3390/coatings10080788
APA StyleCarra, C., Dell’Orto, E., Morandi, V., & Riccardi, C. (2020). ZnO Nanostructured Thin Films via Supersonic Plasma Jet Deposition. Coatings, 10(8), 788. https://doi.org/10.3390/coatings10080788

