The Preparation and Properties of the Brown Film by Micro-arc Oxidized on In-Situ TiB2/7050Al Matrix Composites
Abstract
1. Introduction
2. Materials and Methods
2.1. Fabrication of Composites
2.2. The MAO Treatment on Composites
2.3. Film Characterization
2.4. Electrochemistry Experiments
3. Results and Discussions
3.1. Morphological Characterizations
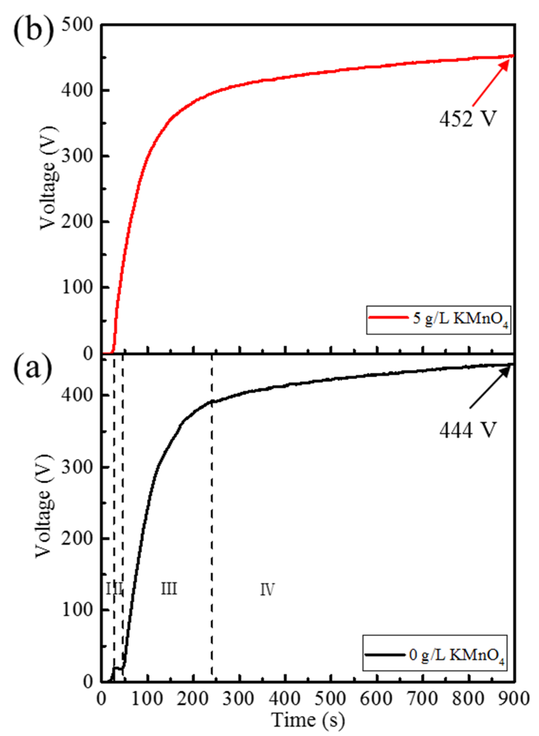
3.2. Voltage–Time Response
3.3. Microstructure Analysis on the Films
3.4. GIXRD Analysis on the Films
3.5. XPS Analysis on the Films
3.6. Analysis on Potentiodynamic Polarization
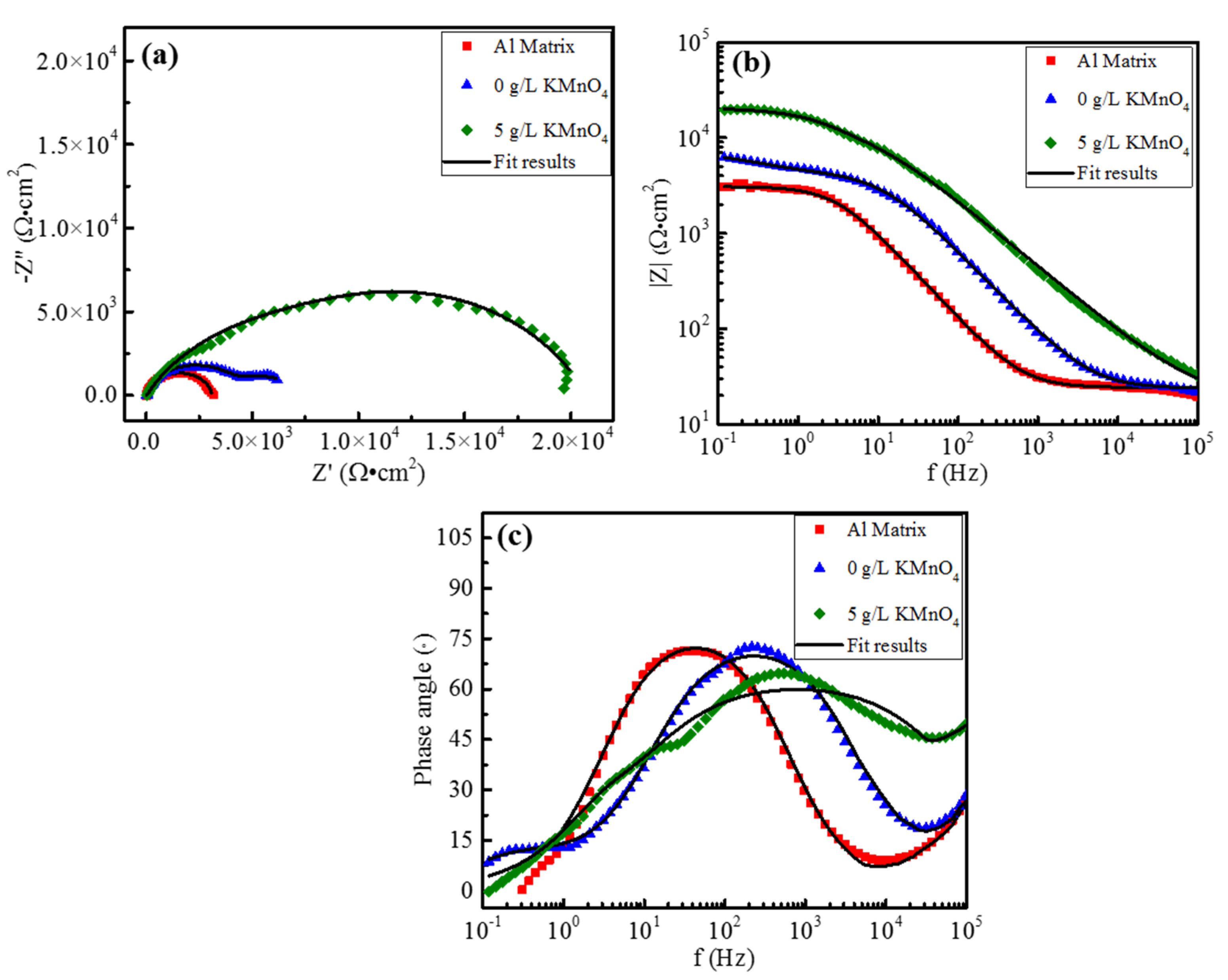
3.7. Electrochemical Impedance Spectroscopy Tests
3.8. Coloration Mechanism
4. Conclusions
Author Contributions
Funding
Conflicts of Interest
References
- Geng, L.; Zhang, X.N.; Wang, G.S.; Zheng, Z.Z.; Xu, B. Effect of aging treatment on mechanical properties of (SiCw + SiCp)/2024 Al hybrid nanocomposites. Trans. Nonferrous Met. Soc. China 2006, 16, 387–391. [Google Scholar] [CrossRef]
- Wang, M.L.; Chen, D.; Chen, Z.; Wu, Y.; Wang, F.F.; Ma, N.H.; Wang, H.W. Mechanical properties of in-situ TiB2/A356 composites. Mater. Sci. Eng. A 2014, 590, 246–254. [Google Scholar] [CrossRef]
- Geng, J.W.; Hong, T.R.; Ma, Y.; Wang, M.L.; Chen, D.; Ma, N.H.; Wang, H.W. The solution treatment of in-situ sub-micron TiB2/2024 Al composite. Mater. Des. 2016, 98, 186–193. [Google Scholar] [CrossRef]
- Zhang, S.L.; Yang, J.; Zhang, B.R.; Zhao, Y.T.; Chen, G.; Shi, X.X.; Liang, Z.P. A novel fabrication technology of in situ TiB2/6063Al composites: High energy ball milling and melt in situ reaction. J. Alloy. Compd. 2015, 639, 215–223. [Google Scholar] [CrossRef]
- Li, X.P.; Ji, G.; Chen, Z.; Addad, A.; Wu, Y.; Wang, H.W.; Vleugels, J.; Humbeeck, J.V.; Kruth, J.P. Selective laser melting of nano-TiB2 decorated AlSi10Mg alloy with high fracture strength and ductility. Acta Materialia 2017, 129, 183–193. [Google Scholar] [CrossRef]
- Geng, J.W.; Liu, G.; Wang, F.F.; Hong, T.R.; Xia, C.J.; Wang, M.L.; Chen, D.; Ma, N.H.; Wang, H.W. Microstructural and mechanical anisotropy of extruded in-situ TiB2/2024 composite plate. Mater. Sci. Eng. A 2017, 687, 131–140. [Google Scholar] [CrossRef]
- Mandal, A.; Chakraborty, M.; Murty, B.S. Ageing behavior of A356 alloy reinforced with in-situ formed TiB2 particles. Mater. Sci. Eng. A 2008, 489, 220–226. [Google Scholar] [CrossRef]
- Akbari, M.K.; Baharvandi, H.R.; Shirvanimoghaddam, K. Tensile and fracture behavior of nano/micro TiB2 particle reinforced casting A356 aluminum alloy composites. Mater. Des. 2015, 66, 150–161. [Google Scholar] [CrossRef]
- Geng, J.W.; Liu, G.; Wang, F.F.; Hong, T.R.; Dai, J.C.; Wang, M.L.; Chen, D.; Ma, N.H.; Wang, H.W. Microstructural correlated damage mechanisms of the high-cycle fatigued in-situ TiB2/Al-Cu-Mg composite. Mater. Des. 2017, 135, 423–438. [Google Scholar] [CrossRef]
- Ramesh, C.S.; Ahamed, A.; Channabasappa, B.H.; Keshavamurthy, R. Development of Al 6063-TiB2 in situ composites. Mater. Des. 2010, 31, 2230–2236. [Google Scholar] [CrossRef]
- Yi, H.Z.; Ma, N.H.; Zhang, Y.J.; Li, X.F.; Wang, H.W. Effective elastic moduli of Al-Si composites reinforced in situ with TiB2 particles. Scripta Mater. 2006, 54, 1093–1097. [Google Scholar] [CrossRef]
- Kumar, N.; Gautam, G.; Gautam, R.K.; Mohan, A.; Mohan, S. Synthesis and characterization of TiB2 reinforced aluminium matrix composites: A review. J. Inst. Eng. India Series D 2016, 97, 233–253. [Google Scholar] [CrossRef]
- Chen, Z.; Sun, G.A.; Wu, Y.; Mathon, M.H.; Borbely, A.; Chen, D.; Ji, G.; Wang, M.L.; Zhong, S.Y.; Wang, H.W. Multi-scale study of microstructure evolution in hot extruded nano-sized TiB2 particle reinforced aluminum composites. Mater. Des. 2017, 116, 577–590. [Google Scholar] [CrossRef]
- Koli, D.K.; Agnihotri, G.; Purohit, R. Advanced aluminium matrix composites: The critical need of automotive and aerospace engineering fields. Mater. Today Proc. 2015, 2, 3032–3041. [Google Scholar] [CrossRef]
- Arunnellaiappan, T.; Krishna, L.R.; Anoop, S.; Rani, R.U.; Rameshbabu, N. Fabrication of multifunctional black PEO coatings on AA7075 for spacecraft applications. Surf. Coat. Technol. 2016, 307, 735–746. [Google Scholar]
- Hu, C.J.; Hsieh, M.H. Preparation of ceramic coatings on an Al–Si alloy by the incorporation of ZrO2 particles in micro-arc oxidation. Surf. Coat. Technol. 2014, 258, 275–283. [Google Scholar] [CrossRef]
- Yang, W.; Wang, J.L.; Xu, D.P.; Li, J.H.; Chen, T. Characterization and formation mechanism of grey micro-arc oxidation coatings on magnesium alloy. Surf. Coat. Technol. 2015, 283, 281–285. [Google Scholar] [CrossRef]
- Hwang, M.J.; Choi, H.R.; Song, H.J.; Park, Y.J. Characterization and colorization of micro arc-oxidized layers of binary titanium alloys. J. Alloy. Compd. 2018, 732, 95–106. [Google Scholar] [CrossRef]
- Li, J.; Cai, H.; Jiang, B. Growth mechanism of black ceramic layers formed by micro-arc oxidation. Surf. Coat. Technol. 2007, 201, 8702–8708. [Google Scholar] [CrossRef]
- Hwang, I.J.; Shin, K.R.; Lee, J.S.; Ko, Y.G.; Shin, D.H. Formation of black ceramic layer on aluminum alloy by plasma electrolytic oxidation in electrolyte containing Na2WO4. Mater. Trans. 2012, 53, 559–564. [Google Scholar] [CrossRef]
- Wang, Z.J.; Nie, X.Y.; Hu, H.; Hussein, R. In-situ fabrication of blue ceramic coatings on wrought Al alloy 2024 by plasma electrolytic oxidation. J. Vac. Sci. Technol. A 2012, 30, 021302. [Google Scholar] [CrossRef]
- Yang, W.; Xu, D.P.; Yao, X.F.; Wang, J.L.; Chen, J. Stable preparation and characterization of yellow micro arc oxidation coating on magnesium alloy. J. Alloy. Compd. 2018, 745, 609–616. [Google Scholar] [CrossRef]
- Wang, L.; Zhou, J.; Liang, J.; Chen, J. Thermal control coatings on magnesium alloys prepared by plasma electrolytic oxidation. Appl. Surf. Sci. 2013, 280, 151–155. [Google Scholar] [CrossRef]
- Ma, C.X.; Lu, Y.; Sun, P.P.; Yuan, Y.; Jing, X.Y.; Zhang, M.L. Characterization of plasma electrolytic oxidation coatings formed on Mg–Li alloy in an alkaline polyphosphate electrolyte. Surf. Coat. Technol. 2011, 206, 287–294. [Google Scholar] [CrossRef]
- Han, J.X.; Cheng, Y.L.; Tu, W.B.; Zhan, T.Y.; Cheng, Y.L. The black and white coatings on Ti-6Al-4V alloy or pure titanium by plasma electrolytic oxidation in concentrated silicate electrolyte. Appl. Surf. Sci. 2018, 428, 684–697. [Google Scholar] [CrossRef]
- Jiang, Y.L.; Wang, J.K.; Hu, B.; Yao, Z.P.; Xia, Q.X.; Jiang, Z.H. Preparation of a novel yellow ceramic coating on Ti alloys by plasma electrolytic oxidation. Surf. Coat. Technol. 2016, 307, 1297–1302. [Google Scholar] [CrossRef]
- Ma, Y.; Chen, Z.; Wang, M.L.; Chen, D.; Ma, N.H.; Wang, H.W. High cycle fatigue behavior of the in-situ TiB2/7050 composite. Mater. Sci. Eng. A 2015, 640, 350–356. [Google Scholar] [CrossRef]
- Dehnavi, V.; Luan, B.L.; Liu, X.Y.; Shoesmith, D.W.; Rohani, S. Correlation between plasma electrolytic oxidation treatment stages and coating microstructure on aluminum under unipolar pulsed DC mode. Surf. Coat. Technol. 2015, 269, 91–99. [Google Scholar] [CrossRef]
- Zhang, H.B.; Geng, J.W.; Li, X.F.; Chen, Z.; Wang, M.L.; Ma, N.H.; Wang, H.W. The micro-arc oxidation (MAO) behaviors of in-situ TiB2/A201 composite. Appl. Surf. Sci. 2017, 422, 359–371. [Google Scholar] [CrossRef]
- Cheng, Y.L.; Xue, Z.G.; Wang, Q.; Wu, X.Q.; Matykina, E.; Skeldon, P.; Thompson, G.E. New findings on properties of plasma electrolytic oxidation coatings from study of an Al–Cu–Li alloy. Electrochim. Acta 2013, 107, 358–378. [Google Scholar] [CrossRef]
- Fadaee, H.; Javidi, M. Investigation on the corrosion behaviour and microstructure of 2024-T3 Al alloy treated via plasma electrolytic oxidation. J. Alloy. Compd. 2014, 604, 36–42. [Google Scholar] [CrossRef]
- Lou, H.R.; Tsai, S.D.; Chou, C.C. Correlation between defect density and corrosion parameter of electrochemically oxidized aluminum. Coatings 2020, 10, 20. [Google Scholar] [CrossRef]
- Huang, H.J.; Qiu, J.H.; Sun, M.X.; Liu, W.D.; Wei, X.W.; Sakai, E.; Ito, K. A hard coating with MAO/AAO double layers prepared on aluminum in etidronic acid by DC oxidation. Surf. Coat. Technol. 2019, 360, 307–317. [Google Scholar] [CrossRef]
- Sun, X.T.; Jiang, Z.H.; Yao, Z.P.; Zhang, X.L. The effects of anodic and cathodic processes on the characteristics of ceramic coatings formed on titanium alloy through the MAO coating technology. Appl. Surf. Sci. 2005, 252, 441–447. [Google Scholar] [CrossRef]
- Hakimizad, A.; Raeissi, K.; Golozar, M.A.; Lu, X.; Blawert, C.; Zheludkevich, M.L. The effect of pulse waveforms on surface morphology, composition and corrosion behavior of Al2O3 and Al2O3/TiO2 nano-composite PEO coatings on 7075 aluminum alloy. Surf. Coat. Technol. 2017, 324, 208–221. [Google Scholar] [CrossRef]
- Dehnavi, V.; Shoesmith, D.W.; Luan, B.L.; Yari, M.; Liu, X.Y.; Rohani, M.S. Corrosion properties of plasma electrolytic oxidation coatings on an aluminium alloy – the effect of the PEO process stage. Chem. Phys. 2015, 161, 49–58. [Google Scholar] [CrossRef]
- Arunnellaiappan, T.; Arun, S.; Hariprasad, S.; Gowtham, S.; Ravisankar, B.; Rama Krishna, L.; Rameshbabu, N. Fabrication of corrosion resistant hydrophobic ceramic nanocomposite coatings on PEO treated AA7075. Ceram. Int. 2018, 44, 874–884. [Google Scholar]
- Masoud, G.; Keyvan, R.; Monica, S.; Amin, H. The corrosion and tribocorrosion resistance of PEO composite coatings containing α-Al2O3 particles on 7075 Al alloy. Surf. Coat. Technol. 2018, 349, 470–479. [Google Scholar]
- Liu, S.M.; Li, B.E.; Liang, C.Y.; Wang, H.S.; Qiao, Z.X. Formation mechanism and adhesive strength of a hydroxyapatite/TiO2 composite coating on a titanium surface prepared by micro-arc oxidation. Appl. Surf. Sci. 2016, 362, 109–114. [Google Scholar] [CrossRef]
- Tang, H.; Yu, D.Z.; Luo, Y.; Wang, F.P. Preparation and characterization of HA microflowers coating on AZ31 magnesium alloy by micro-arc oxidation and a solution treatment. Appl. Surf. Sci. 2013, 264, 816–822. [Google Scholar] [CrossRef]
- Hussein, R.O.; Nie, X.; Northwood, D.O.; Yerokhin, A.; Matthews, A. Spectroscopic study of electrolytic plasma and discharging behavior during the plasma electrolytic oxidation (PEO) process. J. Phys. D. Appl. Phys. 2010, 43, 105203. [Google Scholar] [CrossRef]
- Du, C.Y.; Zhao, H.; Dai, Z.Y.; Tian, Z.Y.; Wang, J.C.; Wang, Z. The preparation and properties of black coating by micro arc oxidation on 2A12 aluminum alloy. Mater. Lett. 2019, 236, 723–726. [Google Scholar] [CrossRef]
- Wang, R.Q.; Wu, Y.K.; Wu, G.R.; Chen, D.; He, D.L.; Li, D.L.; Guo, C.H.; Zhou, Y.F.; Shen, D.J.; Nash, P. An investigation about the evolution of microstructure and composition difference between two interfaces of plasma electrolytic oxidation coatings on Al. J. Alloy. Compd. 2018, 753, 272–281. [Google Scholar] [CrossRef]
- Guan, Y.J.; Xia, Y.; Li, G. Growth mechanism and corrosion behavior of ceramic coatings on aluminum produced by autocontrol AC pulse PEO. Surf. Coat. Technol. 2008, 202, 4602–4612. [Google Scholar] [CrossRef]
- Li, Q.B.; Liang, J.; Liu, B.X.; Peng, Z.J.; Wang, Q. Effects of cathodic voltages on structure and wear resistance of plasma electrolytic oxidation coatings formed on aluminium alloy. Appl. Surf. Sci. 2014, 297, 176–181. [Google Scholar] [CrossRef]
- Sobolev, A.; Kossenko, A.; Zinigrad, M.; Borodianskiy, K. Comparison of plasma electrolytic oxidation coatings on Al alloy created in aqueous solution and molten salt electrolytes. Surf. Coat. Technol. 2018, 344, 590–595. [Google Scholar] [CrossRef]
- Ding, P.; Xu, Y.L.; Sun, X.F. Synthesis and performance of nano MnO as anode material for lithium-lon batteries. Chin. J. Chem. Phys. 2013, 29, 293–297. [Google Scholar]
- Yu, Y.; Ji, J.; Li, K.; Huang, H.B.; Shrestha, R.P.; Oanh, N.T.K.; Winijkul, E.; Deng, J.G. Activated carbon supported MnO nanoparticles for efficient ozone decomposition at room temperature. Catal Today 2019, in press. [Google Scholar] [CrossRef]
- Duan, H.P.; Du, K.Q.; Yan, C.W.; Wang, F.H. Electrochemical corrosion behavior of composite coatings of sealed MAO film on magnesium alloy AZ91D. Electrochim. Acta 2006, 51, 2898–2908. [Google Scholar] [CrossRef]
- Chung, I.C.; Chung, C.K.; Su, Y.K. Effect of current density and concentration on microstructure and corrosion behavior of 6061 Al alloy in sulfuric acid. Surf. Coat. Technol. 2017, 313, 299–306. [Google Scholar] [CrossRef]
- Cui, X.J.; Yang, R.S.; Liu, C.H.; Xiao, Y.Z.; Lin, X.Z. Structure and corrosion resistance of modified micro-arc oxidation coating on AZ31B magnesium alloy. Trans. Nonferrous Met. Soc. 2016, 26, 814–821. [Google Scholar] [CrossRef]
- Ezhilselvi, V.; Nithin, J.; Balaraju, J.N.; Subramanian, S. The influence of current density on the morphology and corrosion properties of MAO coatings on AZ31B magnesium alloy. Surf. Coat. Technol. 2016, 288, 221–229. [Google Scholar] [CrossRef]
- Liang, C.H.; Wang, S.S.; Huang, N.B.; Zhang, Z.H.; Zhang, S.C.; Ren, J. Effects of lanthanum and cerium mixed rare earth metal on abrasion and corrosion resistance of AM60 magnesium alloy. Rare Metal Mater. Eng. 2015, 44, 521–526. [Google Scholar]
- Gao, Y.; Yerokhin, A.; Matthews, A. DC plasma electrolytic oxidation of biodegradable cp-Mg: In-vitro corrosion studies. Surf. Coat. Technol. 2013, 234, 132–142. [Google Scholar] [CrossRef]
- Pezzato, L.; Brunelli, K.; Dabalà, M. Corrosion properties of plasma electrolytic oxidation coated AA7075 treated using an electrolyte containing lanthanum-salts. Surf Interface Anal. 2016, 48, 729–738. [Google Scholar] [CrossRef]
- Wen, L.; Wang, Y.M.; Liu, Y.; Zhou, Y.; Guo, L.X.; Ouyang, J.H.; Jia, D.C. EIS study of a self-repairing microarc oxidation coating. Corros. Sci. 2011, 53, 618–623. [Google Scholar] [CrossRef]
- Huang, Y.; Shih, H.; Daugherty, J.; Mansfeld, F. Evaluation of the properties of anodized aluminum 6061 subjected to thermal cycling treatment using electrochemical impedance spectroscopy (EIS). Corros. Sci. 2009, 51, 2493–2501. [Google Scholar] [CrossRef]
- Zeng, D.P.; Liu, Z.Y.; Bai, S.; Wang, J. Influence of sealing treatment on the corrosion resistance of PEO coated Al–Zn–Mg–Cu Alloy in various environments. Coatings 2019, 9, 867. [Google Scholar] [CrossRef]
- López Damián, A.; Simison, S.N.; de Sánchez, S.R. The influence of steel microstructure on CO2 corrosion. EIS studies on the inhibition efficiency of benzimidazole. Electrochim. Acta 2003, 48, 845–854. [Google Scholar] [CrossRef]
- Hwang, I.J.; Hwang, D.Y.; Kim, Y.M.; Yoo, B.Y.; Dong, H.S. Formation of uniform passive oxide layers on high Si content Al alloy by plasma electrolytic oxidation. J. Alloy. Compd. 2010, 504, 527–530. [Google Scholar] [CrossRef]
- Li, K.; Li, W.F.; Zhang, G.G.; Guo, P. Preparation of black PEO layers on Al–Si alloy and the colorizing analysis. Vacuum 2015, 111, 131–136. [Google Scholar] [CrossRef]












| Film Color | Average Thickness (μm) | Average Pore Size (μm) | Porosity |
|---|---|---|---|
| Grayish-white film | 9.51 ± 0.34 | 1.11 ± 0.36 | 4.23% |
| Brown film | 10.95 ± 0.56 | 3.23 ± 1.74 | 1.79% |
| Film Color | Region | Al | O | Si | Mg | Ti | Mn |
|---|---|---|---|---|---|---|---|
| Grayish-white | A | 35.9 | 57.6 | 3.9 | 0.7 | 1.9 | 0.0 |
| Brown | B | 29.0 | 47.9 | 12.1 | 0.8 | 0.5 | 9.7 |
| Films | Ecorr (V) | icorr (A·cm−2) | Rp (kΩ·cm2) | Corrosion Rate (mm/y) |
|---|---|---|---|---|
| Al composite | −0.729 | 1.119 × 10−4 | 0.476 | 2.581 |
| 0 g/L KMnO4 | −0.677 | 6.162 × 10−6 | 6.937 | 0.142 |
| 5 g/L KMnO4 | −0.698 | 2.452 × 10−6 | 10.93 | 0.057 |
| Circuit Diagram | Al Composite | Parameter | Grayish-White Film | Brown Film |
|---|---|---|---|---|
| (a) | (b) | (b) | ||
| RS (Ω·cm2) | 24.11 | RS | 23.62 | 17.53 |
| CPEc (S·cm−2·sn) | 2.21 × 10−5 | CPEO | 2.901 × 10−4 | 1.094 × 10−5 |
| nc | 0.9114 | nO | 0.7119 | 1 |
| Rc (Ω·cm2) | 3.091 × 103 | RO | 2.926 × 103 | 4.497 × 103 |
| CPEI (S·cm−2·sn) | – | – | 5.76 × 10−6 | 4.785 × 10−6 |
| nI | – | – | 0.8661 | 0.7018 |
| RI (Ω·cm2) | – | – | 4.355 × 103 | 1.627 × 104 |
| Films | Region | Al | O | Si | Mg | Ti | Mn | Cl |
|---|---|---|---|---|---|---|---|---|
| Al matrix | A | 56.8 | 37.9 | 0.1 | 1.0 | 3.4 | 0.1 | 0.7 |
| 0 g/L KMnO4 | C | 35.3 | 57.7 | 3.7 | 1.0 | 2.1 | 0.0 | 0.2 |
| 5 g/L KMnO4 | D | 31.4 | 42.0 | 11.7 | 1.0 | 0.6 | 13.3 | 0.0 |
© 2020 by the authors. Licensee MDPI, Basel, Switzerland. This article is an open access article distributed under the terms and conditions of the Creative Commons Attribution (CC BY) license (http://creativecommons.org/licenses/by/4.0/).
Share and Cite
Xia, C.; Huang, J.; Tao, J.; Wang, S.; Cai, L.; Wang, M.; Chen, D.; Wang, H. The Preparation and Properties of the Brown Film by Micro-arc Oxidized on In-Situ TiB2/7050Al Matrix Composites. Coatings 2020, 10, 615. https://doi.org/10.3390/coatings10070615
Xia C, Huang J, Tao J, Wang S, Cai L, Wang M, Chen D, Wang H. The Preparation and Properties of the Brown Film by Micro-arc Oxidized on In-Situ TiB2/7050Al Matrix Composites. Coatings. 2020; 10(7):615. https://doi.org/10.3390/coatings10070615
Chicago/Turabian StyleXia, Cunjuan, Jie Huang, Jiongming Tao, Shuyang Wang, Ling Cai, Mingliang Wang, Dong Chen, and Haowei Wang. 2020. "The Preparation and Properties of the Brown Film by Micro-arc Oxidized on In-Situ TiB2/7050Al Matrix Composites" Coatings 10, no. 7: 615. https://doi.org/10.3390/coatings10070615
APA StyleXia, C., Huang, J., Tao, J., Wang, S., Cai, L., Wang, M., Chen, D., & Wang, H. (2020). The Preparation and Properties of the Brown Film by Micro-arc Oxidized on In-Situ TiB2/7050Al Matrix Composites. Coatings, 10(7), 615. https://doi.org/10.3390/coatings10070615
