Photocatalytic Bi2O3/TiO2:N Thin Films with Enhanced Surface Area and Visible Light Activity
Abstract
1. Introduction
2. Experimental Details
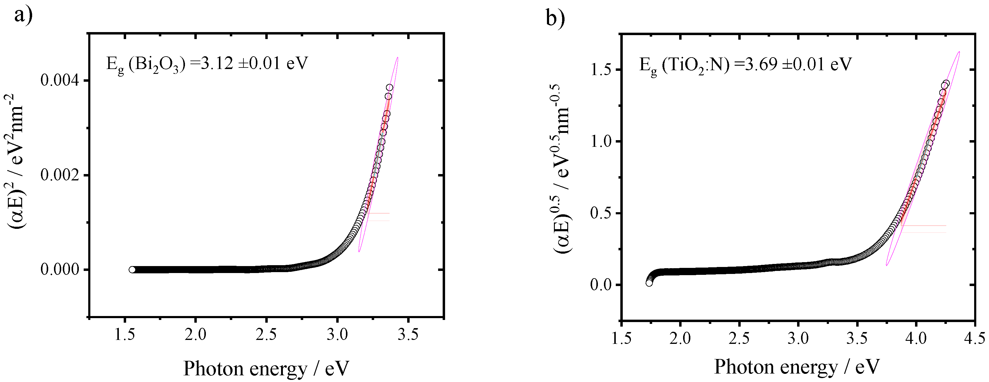
3. Results and Discussion
4. Conclusions
Author Contributions
Funding
Conflicts of Interest
References
- Zaleska-Medynska, A. Doped-TiO2: A Review. Recent Patents Eng. 2008, 2, 157–164. [Google Scholar] [CrossRef]
- Nakata, K.; Fujishima, A. TiO2 photocatalysis: Design and applications. J. Photochem. Photobiol. C Photochem. Rev. 2012, 13, 169–189. [Google Scholar] [CrossRef]
- Fujishima, A.; Rao, T.N.; Tryk, D.A. Titanium dioxide photocatalysis. J. Photochem. Photobiol. C Photochem. Rev. 2000, 1, 1–21. [Google Scholar] [CrossRef]
- Mills, A.; Wang, J. Photobleaching of methylene blue sensitised by TiO2: An ambiguous system? J. Photochem. Photobiol. A Chem. 1999, 127, 123–134. [Google Scholar] [CrossRef]
- Mills, A.; Lee, S.-K. A web-based overview of semiconductor photochemistry-based current commercial applications. J. Photochem. Photobiol. A Chem. 2002, 152, 233–247. [Google Scholar] [CrossRef]
- Tavares, C.J.; Marques, S.M.; Viseu, T.M.; Teixeira, V.; Carneiro, J.; Alves, E.; Barradas, N.P.; Munnik, F.; Girardeau, T.; Rivière, J.-P. Enhancement in the photocatalytic nature of nitrogen-doped PVD-grown titanium dioxide thin films. J. Appl. Phys. 2009, 106, 113535. [Google Scholar] [CrossRef]
- Gupta, S.M.; Tripathi, M. A review on the synthesis of TiO2 nanoparticles by solution route. Open Chem. 2012, 10, 279–294. [Google Scholar] [CrossRef]
- Fei, J.; Li, J. Controlled Preparation of Porous TiO2-Ag Nanostructures through Supramolecular Assembly for Plasmon-Enhanced Photocatalysis. Adv. Mater. 2014, 27, 314–319. [Google Scholar] [CrossRef]
- Bakos, L.P.; Justh, N.; Costa, U.M.D.S.B.D.; László, K.; Lábár, J.L.; Igricz, T.; Varga-Josepovits, K.; Pasierb, P.; Färm, E.; Ritala, M.; et al. Photocatalytic and Gas Sensitive Multiwalled Carbon Nanotube/TiO2-ZnO and ZnO-TiO2 Composites Prepared by Atomic Layer Deposition. Nanomaterials 2020, 10, 252. [Google Scholar] [CrossRef]
- Martins, P.; Gomez, V.; Lopes, A.C.; Tavares, C.J.; Botelho, G.; Irusta, S.; Lanceros-Mendez, S. Improving Photocatalytic Performance and Recyclability by Development of Er-Doped and Er/Pr-Codoped TiO2/Poly(vinylidene difluoride)–Trifluoroethylene Composite Membranes. J. Phys. Chem. C 2014, 118, 27944–27953. [Google Scholar] [CrossRef]
- Rao, K.S.; Subrahmanyam, M.; Boule, P. Immobilized TiO2 photocatalyst during long-term use: Decrease of its activity. Appl. Catal. B Environ. 2004, 49, 239–249. [Google Scholar] [CrossRef]
- Alekhin, A.P.; Boleiko, G.M.; Gudkova, S.; Markeev, A.M.; Sigarev, A.A.; Toknova, V.F.; Kirilenko, A.G.; Lapshin, R.; Kozlov, E.N.; Tetyukhin, D.V. Synthesis of biocompatible surfaces by nanotechnology methods. Nanotechnol. Russ. 2010, 5, 696–708. [Google Scholar] [CrossRef]
- Linsebigler, A.L.; Lu, G.; Yates, J.T. Photocatalysis on TiO2 Surfaces: Principles, Mechanisms, and Selected Results. Chem. Rev. 1995, 95, 735–758. [Google Scholar] [CrossRef]
- Asahi, R.; Morikawa, T.; Ohwaki, T.; Aoki, K.; Taga, Y. Visible-Light Photocatalysis in Nitrogen-Doped Titanium Oxides. Science 2001, 293, 269–271. [Google Scholar] [CrossRef]
- Sinhamahapatra, A.; Jeon, J.-P.; Yu, J.-S. A new approach to prepare highly active and stable black titania for visible light-assisted hydrogen production. Energy Environ. Sci. 2015, 8, 3539–3544. [Google Scholar] [CrossRef]
- Morikawa, T.; Asahi, R.; Ohwaki, T.; Aoki, K.; Taga, Y. Band-Gap Narrowing of Titanium Dioxide by Nitrogen Doping. Jpn. J. Appl. Phys. 2001, 40, L561–L563. [Google Scholar] [CrossRef]
- Rehman, S.; Ullah, R.; Butt, A.; Gohar, N. Strategies of making TiO2 and ZnO visible light active. J. Hazard. Mater. 2009, 170, 560–569. [Google Scholar] [CrossRef]
- Saritha, D.; Markandeya, Y.; Salagram, M.; Vithal, M.; Singh, A.; Bhikshamaiah, G. Effect of Bi2O3 on physical, optical and structural studies of ZnO–Bi2O3–B2O3 glasses. J. Non-Crystalline Solids 2008, 354, 5573–5579. [Google Scholar] [CrossRef]
- Yang, J.; Wang, X.; Dai, J.; Li, J. Efficient Visible-Light-Driven Photocatalytic Degradation with Bi2O3 Coupling Silica Doped TiO2. Ind. Eng. Chem. Res. 2014, 53, 12575–12586. [Google Scholar] [CrossRef]
- Medina, J.; Bizarro, M.; Gomez, C.; Depablos-Rivera, O.; Mirabal-Rojas, R.; Monroy, B.; Fonseca-Garcia, A.; Alvarez, J.C.M.; Rodil, S.E. Sputtered bismuth oxide thin films as a potential photocatalytic material. Catal. Today 2016, 266, 144–152. [Google Scholar] [CrossRef]
- Brezesinski, K.; Ostermann, R.; Hartmann, P.; Perlich, J.; Brezesinski, T. Exceptional Photocatalytic Activity of Ordered Mesoporous β-Bi2O3Thin Films and Electrospun Nanofiber Mats. Chem. Mater. 2010, 22, 3079–3085. [Google Scholar] [CrossRef]
- Meng, L.; Xu, W.; Zhang, Q.; Yang, T.; Shi, S. Study of nanostructural bismuth oxide films prepared by radio frequency reactive magnetron sputtering. Appl. Surf. Sci. 2019, 472, 165–171. [Google Scholar] [CrossRef]
- Gomez, C.L.; Depablos-Rivera, O.; Silva-Bermudez, P.; Muhl, S.; Zeinert, A.; Lejeune, M.; Charvet, S.; Barroy, P.; Camps, E.; Rodil, S.E. Opto-electronic properties of bismuth oxide films presenting different crystallographic phases. Thin Solid Films 2015, 578, 103–112. [Google Scholar] [CrossRef]
- Sirota, B.; Reyes-Cuellar, J.; Kohli, P.; Wang, L.; McCarroll, M.; Aouadi, S. Bismuth oxide photocatalytic nanostructures produced by magnetron sputtering deposition. Thin Solid Films 2012, 520, 6118–6123. [Google Scholar] [CrossRef]
- Tien, L.-C.; Liou, Y.-H. Synthesis of Bi2O3 nanocones over large areas by magnetron sputtering. Surf. Coat. Technol. 2015, 265, 1–6. [Google Scholar] [CrossRef]
- Ratova, M.; Kelly, P.; West, G.T.; Xia, X.; Gao, Y. Deposition of Visible Light Active Photocatalytic Bismuth Molybdate Thin Films by Reactive Magnetron Sputtering. Materials 2016, 9, 67. [Google Scholar] [CrossRef] [PubMed]
- Wagner, R.S.; Ellis, W.C. Vapor-liquid-solid mechanism of single crystal growth. Appl. Phys. Lett. 1964, 4, 89. [Google Scholar] [CrossRef]
- Correia, F.; Calheiros, M.; Marques, J.; Ribeiro, J.; Tavares, C.J. Synthesis of Bi2O3/TiO2 nanostructured films for photocatalytic applications. Ceram. Int. 2018, 44, 22638–22644. [Google Scholar] [CrossRef]
- Wang, L.; Zhang, J.; Li, C.; Zhu, H.; Wang, W.; Wang, T. Synthesis, Characterization and Photocatalytic Activity of TiO2 Film/Bi2O3 Microgrid Heterojunction. J. Mater. Sci. Technol. 2011, 27, 59–63. [Google Scholar] [CrossRef]
- Thornton, J.A. Influence of apparatus geometry and deposition conditions on the structure and topography of thick sputtered coatings. J. Vac. Sci. Technol. 1974, 11, 666–670. [Google Scholar] [CrossRef]
- Nečas, D.; Klapetek, P. Gwyddion: An open-source software for SPM data analysis. Open Phys. 2012, 10, 181–188. [Google Scholar] [CrossRef]
- Lunca-Popa, P.; So̸nderby, S.; Kerdsongpanya, S.; Lu, J.; Bonanos, N.; Eklund, P. Highly oriented δ-Bi2O3 thin films stable at room temperature synthesized by reactive magnetron sputtering. J. Appl. Phys. 2013, 113, 46101. [Google Scholar] [CrossRef]
- Zatsepin, D.A.; Boukhvalov, D.; Gavrilov, N.; Kurmaev, E.; Zhidkov, I.S. XPS and DFT study of pulsed Bi-implantation of bulk and thin-films of ZnO—The role of oxygen imperfections. Appl. Surf. Sci. 2016, 387, 1093–1099. [Google Scholar] [CrossRef]
- Biesinger, M.C.; Lau, L.W.; Gerson, A.R.; Smart, R.S. Resolving surface chemical states in XPS analysis of first row transition metals, oxides and hydroxides: Sc, Ti, V, Cu and Zn. Appl. Surf. Sci. 2010, 257, 887–898. [Google Scholar] [CrossRef]
- Tauc, J.; Grigorovici, R.; Vancu, A. Optical Properties and Electronic Structure of Amorphous Germanium. Phys. Status Solidi B 1966, 15, 627–637. [Google Scholar] [CrossRef]
- Tryk, D.; Fujishima, A.; Honda, K. Recent topics in photoelectrochemistry: Achievements and future prospects. Electrochim. Acta 2000, 45, 2363–2376. [Google Scholar] [CrossRef]
- Morasch, J.; Li, S.; Broetz, J.; Jaegermann, W.; Klein, A. Reactively magnetron sputtered Bi2O3thin films: Analysis of structure, optoelectronic, interface, and photovoltaic properties. Phys. Status Solidi A 2013, 211, 93–100. [Google Scholar] [CrossRef]
- Cheng, H.; Huang, B.; Lu, J.; Wang, Z.; Xu, B.; Qin, X.; Zhang, X.; Dai, Y. Synergistic effect of crystal and electronic structures on the visible-light-driven photocatalytic performances of Bi2O3 polymorphs. Phys. Chem. Chem. Phys. 2010, 12, 15468. [Google Scholar] [CrossRef]








| Layer | Bi Seed | Bi2O3 | TiO2 | TiO2:N |
|---|---|---|---|---|
| Thickness (nm) | 400 | 400–800 | 6 | 6 |
| Cathode DC current density (mA/cm2) | 4.0 | 4.0 | 12.5 | 12.5 |
| Substrate bias voltage (V) | −60 | −60 | −60 | −60 |
| Ar partial pressure (Pa) | 0.4 | 0.4 | 0.4 | 0.4 |
| O2 partial pressure (Pa) | - | 0.14 | 0.07 | 0.07 |
| N2 partial pressure (Pa) | - | - | - | 0–0.034 |
© 2020 by the authors. Licensee MDPI, Basel, Switzerland. This article is an open access article distributed under the terms and conditions of the Creative Commons Attribution (CC BY) license (http://creativecommons.org/licenses/by/4.0/).
Share and Cite
Dias, L.P.; Correia, F.C.; Ribeiro, J.M.; Tavares, C.J. Photocatalytic Bi2O3/TiO2:N Thin Films with Enhanced Surface Area and Visible Light Activity. Coatings 2020, 10, 445. https://doi.org/10.3390/coatings10050445
Dias LP, Correia FC, Ribeiro JM, Tavares CJ. Photocatalytic Bi2O3/TiO2:N Thin Films with Enhanced Surface Area and Visible Light Activity. Coatings. 2020; 10(5):445. https://doi.org/10.3390/coatings10050445
Chicago/Turabian StyleDias, Luís P., Filipe C. Correia, Joana M. Ribeiro, and Carlos J. Tavares. 2020. "Photocatalytic Bi2O3/TiO2:N Thin Films with Enhanced Surface Area and Visible Light Activity" Coatings 10, no. 5: 445. https://doi.org/10.3390/coatings10050445
APA StyleDias, L. P., Correia, F. C., Ribeiro, J. M., & Tavares, C. J. (2020). Photocatalytic Bi2O3/TiO2:N Thin Films with Enhanced Surface Area and Visible Light Activity. Coatings, 10(5), 445. https://doi.org/10.3390/coatings10050445

