Improvement of Plasma Resistance of Anodic Aluminum-Oxide Film in Sulfuric Acid Containing Cerium(IV) Ion
Abstract
1. Introduction
2. Materials and Methods
3. Results
3.1. Coating Characterization
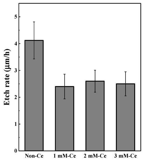
3.2. Investigation of Plasma-Resistance Characteristics
4. Discussion
Author Contributions
Funding
Conflicts of Interest
References
- Song, J.-B.; Choi, E.; Oh, S.-G.; Kim, J.-T.; Yun, J.-Y. Contamination Particle Behavior of Aerosol Deposited Y2O3 and YF3 Coatings under NF3 Plasma. Coatings 2019, 9, 310. [Google Scholar] [CrossRef]
- Kim, D.-M.; Kim, K.-B.; Yoon, S.-Y.; Oh, Y.-S.; Kim, H.-T.; Lee, S.-M. Effects of artificial pores and purity on the erosion behaviors of polycrystalline Al2O3 ceramics under fluorine plasma. J. Ceram. Soc. Jpn. 2009, 117, 863–867. [Google Scholar]
- Mun, S.Y.; Shin, K.C.; Lee, S.S.; Kwak, J.S.; Jeong, J.Y.; Jeong, Y.H. Etch defect reduction using SF6/O2 plasma cleaning and optimizing etching recipe in photo resist masked gate poly silicon etch process. Jpn. J. Appl. Phys. 2005, 44, 4891. [Google Scholar] [CrossRef]
- Ito, N.; Moriya, T.; Uesugi, F.; Matsumoto, M.; Liu, S.; Kitayama, Y. Reduction of particle contamination in plasma-etching equipment by dehydration of chamber wall. Jpn. J. Appl. Phys. 2008, 47, 3630. [Google Scholar] [CrossRef]
- Song, J.-B.; Kim, J.-T.; Oh, S.-G.; Shin, J.-S.; Chun, J.-R.; Yun, J.-Y. Effect of sealing time of anodic aluminum oxide (AAO) film for preventing plasma damage. Sci. Adv. Mater. 2015, 7, 127–132. [Google Scholar]
- Huang, Y.; Shih, H.; Daugherty, J.; Mansfeld, F. Evaluation of the properties of anodized aluminum 6061 subjected to thermal cycling treatment using electrochemical impedance spectroscopy (EIS). Corros. Sci. 2009, 51, 2493–2501. [Google Scholar] [CrossRef]
- Huang, Y.; Shih, H.; Huang, H.; Daugherty, J.; Wu, S.; Ramanathan, S.; Chang, C.; Mansfeld, F. Evaluation of the corrosion resistance of anodized aluminum 6061 using electrochemical impedance spectroscopy (EIS). Corros. Sci. 2008, 50, 3569–3575. [Google Scholar] [CrossRef]
- Cao, Y.-C.; Zhao, L.; Luo, J.; Wang, K.; Zhang, B.-P.; Yokota, H.; Ito, Y.; Li, J.-F. Plasma etching behavior of Y2O3 ceramics: Comparative study with Al2O3. Appl. Surf. Sci. 2016, 366, 304–309. [Google Scholar] [CrossRef]
- Lin, T.-K.; Wang, W.-K.; Huang, S.-Y.; Tasi, C.-T.; Wuu, D.-S. Comparison of Erosion Behavior and Particle Contamination in Mass-Production CF4/O2 Plasma Chambers Using Y2O3 and YF3 Protective Coatings. Nanomaterials 2017, 7, 183. [Google Scholar] [CrossRef]
- Thompson, G.; Wood, G. Porous anodic film formation on aluminium. Nature 1981, 290, 230. [Google Scholar] [CrossRef]
- Chou, S.M.; Leidheiser, H., Jr. Wear of anodized aluminum under three-body conditions. Ind. Eng. Chem. Prod. Res. Dev. 1986, 25, 473–478. [Google Scholar] [CrossRef]
- Kobayashi, K.; Shimizu, K. Influence of γ-Alumina on the Structure of Barrier Anodic Oxide Films on Aluminum. J. Electrochem. Soc. 1988, 135, 908–910. [Google Scholar] [CrossRef]
- Patermarakis, G.; Moussoutzanis, K. Mathematical Models for the Anodization Conditions and Structural Features of Porous Anodic Al2O3 Films on Aluminum. J. Electrochem. Soc. 1995, 142, 737–743. [Google Scholar] [CrossRef]
- Wu, Y.; Zhao, W.; Yu, J.; Xue, Q. Influence of the Self-Sealing Layer on the Corrosion of Anodic Aluminum Oxide Films. Acs Appl. Nano Mater. 2018, 1, 5142–5147. [Google Scholar] [CrossRef]
- Wang, Y.; Liu, J.-J.; Yu, Z.-H. Effect of rare earth elements on microstructure and wear resistance of laser remelted iron alloy coatings containing metalloids. Surf. Eng. 1993, 9, 151–155. [Google Scholar] [CrossRef]
- Mansfeld, F.; Lin, S.; Kim, K.; Shih, H. Pitting and surface modification of SIC/Al. Corros. Sci. 1987, 27, 997–1000. [Google Scholar] [CrossRef]
- Xu, A.-W.; Gao, Y.; Liu, H.-Q. The preparation, characterization, and their photocatalytic activities of rare-earth-doped TiO2 nanoparticles. J. Catal. 2002, 207, 151–157. [Google Scholar] [CrossRef]
- Wang, H.; Wang, H.-W. Synergistic effect of rare earth salt and organic acid in the anodization of aluminum in phosphoric acid. J. Mater. Sci. 2006, 41, 4759–4763. [Google Scholar] [CrossRef]
- Saeedikhani, M.; Javidi, M.; Vafakhah, S. Anodising of 2024-T3 aluminium alloy in electrolyte of sulphuric–boric–phosphoric mixed acid containing cerium salt as corrosion inhibitor. Trans. Nonferrous Met. Soc. China 2017, 27, 711–721. [Google Scholar] [CrossRef]
- Moutarlier, V.; Gigandet, M.; Pagetti, J.; Normand, B. An electrochemical approach to the anodic oxidation of Al 2024 alloy in sulfuric acid containing inhibitors. Surf. Coat. Technol. 2002, 161, 267–274. [Google Scholar] [CrossRef]
- Curioni, M.; Skeldon, P.; Thompson, G. Anodized anti-corrosion coatings for aluminium using rare earth metals. In Rare Earth-Based Corrosion Inhibitors; Elsevier: Amsterdam, The Netherlands, 2014; pp. 143–162. [Google Scholar]
- Kendig, M.; Addison, R.; Jeanjaquet, S. Adsorption of Ce (III) on anodized aluminum. Electrochem. Solid-State Lett. 2000, 3, 266–267. [Google Scholar] [CrossRef]
- Andreeva, R.; Stoyanova, E.; Tsanev, A.; Stoychev, D. Effect of cerium ions on the protective ability of Al2O3 films formed anodically during their sealing in aqueous solutions. Bulg. Chem. Commun. 2017, 49, 5–14. [Google Scholar]
- Terada, M.; Queiroz, F.; Costenaro, H.; Olivier, M.; Costa, I.; De Melo, H. Effect of cerium (III) on the corrosion protection properties of the film formed on the AA2524-T3 alloy by hydrothermal treatments. Eurocorr 2016, 2016. [Google Scholar]
- Miyashita, H.; Kikuchi, T.; Kawasaki, Y.; Katakura, Y.; Ohsako, N. Particle measurements in vacuum tools by in situ particle monitor. J. Vac. Sci. Technol. A Vac. Surf. Film. 1999, 17, 1066–1070. [Google Scholar] [CrossRef]
- Lee, W.; Ji, R.; Gösele, U.; Nielsch, K. Fast fabrication of long-range ordered porous alumina membranes by hard anodization. Nat. Mater. 2006, 5, 741. [Google Scholar] [CrossRef] [PubMed]
- Gordovskaya, I.; Hashimoto, T.; Walton, J.; Curioni, M.; Thompson, G.; Skeldon, P. Development of cerium-rich layers on anodic films formed on pure aluminium and AA7075 T6 alloy. J. Electrochem. Soc. 2014, 161, C601–C606. [Google Scholar] [CrossRef]
- Chung, I.; Chung, C.; Su, Y. Effect of current density and concentration on microstructure and corrosion behavior of 6061 al alloy in sulfuric acid. Surf. Coat. Technol. 2017, 313, 299–306. [Google Scholar] [CrossRef]
- Colonetti, E.; Kammer, E.H.; Junior, A.D.N. Chemically-bonded phosphate ceramics obtained from aluminum anodizing waste for use as coatings. Ceram. Int. 2014, 40, 14431–14438. [Google Scholar] [CrossRef]
- Conde, A.; Arenas, M.; De Frutos, A.; De Damborenea, J. Effective corrosion protection of 8090 alloy by cerium conversion coatings. Electrochim. Acta 2008, 53, 7760–7768. [Google Scholar] [CrossRef]
- Ozawa, M.; Kimura, M.; Isogai, A. Thermal stability and characterization of γ-Al2O3 modified with rare earths. J. Less Common Met. 1990, 162, 297–308. [Google Scholar] [CrossRef]
- Oh, J.; Thompson, C.V. The role of electric field in pore formation during aluminum anodization. Electrochim. Acta 2011, 56, 4044–4051. [Google Scholar] [CrossRef]
- Garcia-Vergara, S.; Iglesias-Rubianes, L.; Blanco-Pinzon, C.; Skeldon, P.; Thompson, G.; Campestrini, P. Mechanical instability and pore generation in anodic alumina. Proc. R. Soc. A Math. Phys. Eng. Sci. 2006, 462, 2345–2358. [Google Scholar] [CrossRef]
- Kumar, K.-N.P.; Tranto, J.; Nair, B.N.; Kumar, J.; Høj, J.W.; Engell, J.E. Effect of sintering atmosphere on the pore-structure stability of cerium-doped nanostructured alumina. Mater. Res. Bull. 1994, 29, 551–558. [Google Scholar] [CrossRef]
- Kim, D.M.; Lee, S.H.; Alexander, W.B.; Kim, K.B.; Oh, Y.S.; Lee, S.M. X-Ray Photoelectron Spectroscopy Study on the Interaction of Yttrium–Aluminum Oxide with Fluorine-Based Plasma. J. Am. Ceram. Soc. 2011, 94, 3455–3459. [Google Scholar] [CrossRef]
- Miwa, K.; Takada, N.; Sasaki, K. Fluorination mechanisms of Al2O3 and Y2O3 surfaces irradiated by high-density CF4∕O2 and SF6∕O2 plasmas. J. Vac. Sci. Technol. A Vac. Surf. Film. 2009, 27, 831–835. [Google Scholar] [CrossRef]
- Shirai, T.; Watanabe, H.; Fuji, M.; Takahashi, M. Structural properties and surface characteristics on aluminum oxide powders. Ceramics Res. Lab 2010, 9, 23–31. [Google Scholar]
- Shin, J.-S.; Kim, M.; Song, J.-B.; Jeong, N.-G.; Kim, J.-T.; Yun, J.-Y. Fluorine Plasma Corrosion Resistance of Anodic Oxide Film Depending on Electrolyte Temperature. Appl. Sci. Converg. Technol. 2018, 27, 9–13. [Google Scholar] [CrossRef]
- Lhymn, C.; Kosel, P.; Vaughan, R. Thickness dependence of dielectric breakdown voltage. Thin Solid Film. 1986, 145, 69–74. [Google Scholar] [CrossRef]
- Cheng, T.-C.; Chou, C.-C. The electrical and mechanical properties of porous anodic 6061-T6 aluminum alloy oxide film. J. Nanomater. 2015, 16, 141. [Google Scholar] [CrossRef]
- Zuo, Y.; Zhao, P.-H.; Zhao, J.-M. The influences of sealing methods on corrosion behavior of anodized aluminum alloys in NaCl solutions. Surf. Coat. Technol. 2003, 166, 237–242. [Google Scholar] [CrossRef]









| Element | wt % |
|---|---|
| Al Cu | Balance |
| 0.278 | |
| Cr | 0.130 |
| Fe | 0.143 |
| Mg | 0.962 |
| Mn | 0.015 |
| Si | 0.465 |
| Ti | 0.013 |
| Zn | 0.058 |
| Etching Conditions | ||
|---|---|---|
| Source power | 800 | W |
| Bias power | 400 | W |
| Gas flow (CF4:Ar:O2) | 40:30:10 | sccm |
| Process pressure | 20 | mTorr |
| Exposure time | 60 | min |
| Electrolyte | α-Al2O3/γ-Al2O3 |
|---|---|
| Non-Ce | 4.14 |
| 1 mM-Ce | 4.54 |
| 2 mM-Ce | 6.04 |
| 3 mM-Ce | 6.64 |
© 2020 by the authors. Licensee MDPI, Basel, Switzerland. This article is an open access article distributed under the terms and conditions of the Creative Commons Attribution (CC BY) license (http://creativecommons.org/licenses/by/4.0/).
Share and Cite
So, J.; Choi, E.; Kim, J.-T.; Shin, J.-S.; Song, J.-B.; Kim, M.; Chung, C.-W.; Yun, J.-Y. Improvement of Plasma Resistance of Anodic Aluminum-Oxide Film in Sulfuric Acid Containing Cerium(IV) Ion. Coatings 2020, 10, 103. https://doi.org/10.3390/coatings10020103
So J, Choi E, Kim J-T, Shin J-S, Song J-B, Kim M, Chung C-W, Yun J-Y. Improvement of Plasma Resistance of Anodic Aluminum-Oxide Film in Sulfuric Acid Containing Cerium(IV) Ion. Coatings. 2020; 10(2):103. https://doi.org/10.3390/coatings10020103
Chicago/Turabian StyleSo, Jongho, Eunmi Choi, Jin-Tae Kim, Jae-Soo Shin, Je-Boem Song, Minjoong Kim, Chin-Wook Chung, and Ju-Young Yun. 2020. "Improvement of Plasma Resistance of Anodic Aluminum-Oxide Film in Sulfuric Acid Containing Cerium(IV) Ion" Coatings 10, no. 2: 103. https://doi.org/10.3390/coatings10020103
APA StyleSo, J., Choi, E., Kim, J.-T., Shin, J.-S., Song, J.-B., Kim, M., Chung, C.-W., & Yun, J.-Y. (2020). Improvement of Plasma Resistance of Anodic Aluminum-Oxide Film in Sulfuric Acid Containing Cerium(IV) Ion. Coatings, 10(2), 103. https://doi.org/10.3390/coatings10020103
