Plasma Protein Binding Rate and Pharmacokinetics of Lekethromycin in Rats
Abstract
:1. Introduction
2. Results
2.1. Analytical Method
2.2. Plasma Protein Binding Rate of LKMS
2.3. LKMS Pharmacokinetics Study
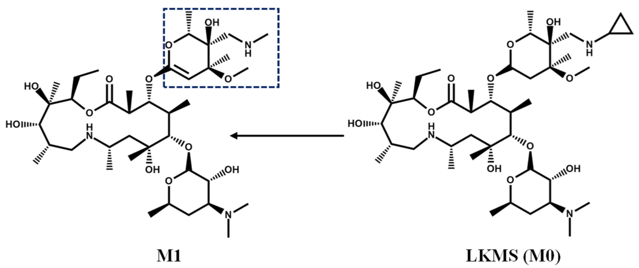
2.4. LKMS In Vitro Metabolism
3. Discussion
4. Materials and Methods
4.1. Chemicals and Reagents
4.2. Determination of LKMS Plasma Concentration
4.3. Determination of LKMS Plasma Protein Binding Rate
4.4. Animal Study Design
4.5. In Vitro Metabolism
4.6. Statistical Analysis Method
Author Contributions
Funding
Institutional Review Board Statement
Acknowledgments
Conflicts of Interest
References
- Bryskier, A.; Bergogne-Bérézin, E. Macrolides. In Antimicrobial Agents; ASM Press: Washington, DC, USA, 2014; pp. 475–526. [Google Scholar] [CrossRef]
- Toomula, N.; Kumar, S.D.; Kumar, P.M. Role of Pharmacokinetic Studies in Drug Discovery. J. Bioequivalence Bioavailab. 2011, 3, 263–267. [Google Scholar] [CrossRef]
- Garver, E.; Hugger, E.D.; Shearn, S.P.; Rao, A.; Dawson, P.A.; Davis, C.B.; Han, C. Involvement of Intestinal Uptake Transporters in the Absorption of Azithromycin and Clarithromycin in the Rat. Drug Metab. Dispos. 2008, 36, 2492–2498. [Google Scholar] [CrossRef]
- He, X.-J.; Zhao, L.-M.; Qiu, F.; Sun, Y.-X.; Li-Ling, J. Influence of ABCB1 gene polymorphisms on the pharmacokinetics of azithromycin among healthy Chinese Han ethnic subjects. Pharmacol. Rep. 2009, 61, 843–850. [Google Scholar] [CrossRef]
- Sugie, M.; Asakura, E.; Zhao, Y.L.; Torita, S.; Nadai, M.; Baba, K.; Kitaichi, K.; Takagi, K.; Takagi, K.; Hasegawa, T. Possible Involvement of the Drug Transporters P Glycoprotein and Multidrug Resistance-Associated Protein Mrp2 in Disposition of Azithromycin. Antimicrob. Agents Chemother. 2004, 48, 809–814. [Google Scholar] [CrossRef]
- Huang, X.; Zhao, Y.; He, L.; Liang, Z.; Guo, L.; Zeng, Z.; Chen, Z.; Zhang, M.; Fang, B. Development of High Performance Liquid Chromatography-Tandem Mass Spectrometry Method for the Detection of Tulathromycin in Swine Plasma. J. Integr. Agric. 2012, 11, 465–473. [Google Scholar] [CrossRef]
- Benchaoui, H.A.; Nowakowski, M.; Sherington, J.; Rowan, T.G.; Sunderland, S.J. Pharmacokinetics and lung tissue concentrations of tulathromycin in swine. J. Vet. Pharmacol. Ther. 2004, 27, 203–210. [Google Scholar] [CrossRef]
- Gáler, D.; Hessong, S.; Beato, B.; Risk, J.; Inskeep, P.; Weerasinghe, C.; Schneider, R.P.; Langer, C.; LaPerle, J.; Renouf, D.; et al. An Analytical Method for the Analysis of Tulathromycin, an Equilibrating Triamilide, in Bovine and Porcine Plasma and Lung. J. Agric. Food Chem. 2004, 52, 2179–2191. [Google Scholar] [CrossRef]
- Nowakowski, M.A.; Inskeep, P.B.; Risk, J.E.; Skogerboe, T.L.; Benchaoui, H.A.; Meinert, T.R.; Sherington, J.; Sunderland, S.J. Pharmacokinetics and lung tissue concentrations of tulathromycin, a new triamilide antibiotic, in cattle. Vet. Ther. 2004, 5, 60–74. [Google Scholar]
- Evans, N.A. Tulathromycin: An overview of a new triamilide antibiotic for livestock respiratory disease. Vet. Ther. 2005, 6, 83–95. [Google Scholar]
- Turner, N. Freedom of Information Summary Original New Animal Drug Application; FDA: Silver Spring, MD, USA, 2005.
- Scheuch, E.; Spieker, J.; Venner, M.; Siegmund, W. Quantitative determination of the macrolide antibiotic tulathromycin in plasma and broncho-alveolar cells of foals using tandem mass spectrometry. J. Chromatogr. B 2007, 850, 464–470. [Google Scholar] [CrossRef]
- Apvma. Public Release Summary—Draxxin Injectable Solution. 2007. Available online: http://www.apvma.gov.au (accessed on 31 December 2007).
- European Medicine Agency. Committee for Veterinary Medical Products Tulathromycin Summary Report (2). 2004. Available online: http://www.emea.eu.int (accessed on 31 December 2004).
- Wang, X.; Tao, Y.F.; Huang, L.L.; Chen, D.M.; Yin, S.Z.; Ihsan, A.; Zhou, W.; Su, S.J.; Liu, Z.L.; Pan, Y.H.; et al. Pharmacokinetics of tulathromycin and its metabolite in swine administered with an intravenous bolus injection and a single gavage. J. Vet. Pharmacol. Ther. 2012, 35, 282–289. [Google Scholar] [CrossRef] [PubMed]
- Xiao, H.; Sun, P.; Qiu, J.; Wang, J.; Yan, L.; Zhang, S.; Cao, X. Determination of lekethromycin, a novel macrolide lactone, in rat plasma by UPLC-MS/MS and its application to a pharmacokinetic study. Molecules 2020, 25, 4676. [Google Scholar] [CrossRef] [PubMed]
- Yun, Y.E.; Tornero-Velez, R.; Purucker, S.T.; Chang, D.T.; Edginton, A.N. Evaluation of quantitative structure property relationship algorithms for predicting plasma protein binding in humans. Comput. Toxicol. 2021, 17, 100142. [Google Scholar] [CrossRef]
- Seyfinejad, B.; Ozkan, S.A.; Jouyban, A. Recent advances in the determination of unbound concentration and plasma protein binding of drugs: Analytical methods. Talanta 2021, 225, 122052. [Google Scholar] [CrossRef]
- Wang, C.; Williams, N.S. A mass balance approach for calculation of recovery and binding enables the use of ultrafiltration as a rapid method for measurement of plasma protein binding for even highly lipophilic compounds. J. Pharm. Biomed. Anal. 2013, 75, 112–117. [Google Scholar] [CrossRef]
- Taylor, S.; Harker, A. Modification of the ultrafiltration technique to overcome solubility and non-specific binding challenges associated with the measurement of plasma protein binding of corticosteroids. J. Pharm. Biomed. Anal. 2006, 41, 299–303. [Google Scholar] [CrossRef]
- Tang, D.Q.; Li, Y.J.; Li, Z.; Bian, T.T.; Chen, K.; Zheng, X.X.; Yu, Y.; Jiang, S.S. Study on the interaction of plasma protein binding rate between edaravone and taurine in human plasma based on HPLC analysis coupled with ultrafiltration technique. Biomed. Chromatogr. 2015, 29, 1137–1145. [Google Scholar] [CrossRef] [PubMed]
- Villarino, N.; Brown, S.A.; Martín-Jiménez, T. Understanding the pharmacokinetics of tulathromycin: A pulmonary perspective. J. Vet. Pharmacol. Ther. 2014, 37, 211–221. [Google Scholar] [CrossRef]
- Lombardo, F.; Obach, R.S.; Shalaeva, M.Y.; Gao, F. Prediction of Volume of Distribution Values in Humans for Neutral and Basic Drugs Using Physicochemical Measurements and Plasma Protein Binding Data. J. Med. Chem. 2002, 45, 2867–2876. [Google Scholar] [CrossRef]
- Yin, Y.; Chen, C. Optimizing first-time-in-human trial design for studying dose proportionality. Drug Inf. J. 2001, 35, 1065–1107. [Google Scholar] [CrossRef]
- Hummel, J.; McKendrick, S.; Brindley, C.; French, R. Exploratory assessment of dose proportionality: Review of current approaches and proposal for a practical criterion. Pharm. Stat. 2009, 8, 38–49. [Google Scholar] [CrossRef]
- Smith, B.P.; Vandenhende, F.R.; DeSante, K.A.; Farid, N.A.; Welch, P.A.; Callaghan, J.T.; Forgue, S.T. Confidence Interval Criteria for Assessment of Dose Proportionality. Pharm. Res. 2000, 17, 1278–1283. [Google Scholar] [CrossRef]






| LKMS Concentration (ng/mL) | Intra-Day (n = 6) | Inter-Day (n = 18) | ||
|---|---|---|---|---|
| Accuracy (%) | Precision (%) | Accuracy (%) | Precision (%) | |
| 10 | 94.60 ± 1.02 | 7.47 | 94.17 ± 1.06 | 5.46 |
| 200 | 112.55 ± 1.05 | 4.75 | 111.09 ± 2.06 | 3.29 |
| 800 | 95.52 ± 1.01 | 4.32 | 93.93 ± 1.05 | 3.36 |
| LKMS Solution Concentration (ng/mL) | LKMS Concentration (ng/mL) (n = 5) | Relative Standard Deviation (%) | |||
|---|---|---|---|---|---|
| 0 h | 0.5 h | 1 h | 2 h | ||
| 10 | 8.44 ± 0.04 | 8.76 ± 0.05 | 9.44 ± 0.3 | 9.66 ± 0.5 | 6.02 |
| 200 | 196.21 ± 9.15 | 195.81 ± 8.21 | 197.69 ± 7.64 | 198.59 ± 16.39 | 1.57 |
| 800 | 714.92 ± 40.17 | 800.23 ± 45.24 | 802.56 ± 50.17 | 805.61 ± 62.17 | 6.78 |
| LKMS Solution Concentration (ng/mL) | LKMS Concentration (ng/mL) (n = 5) | Relative Standard Deviation (%) | ||
|---|---|---|---|---|
| 0.5 h | 1 h | 2 h | ||
| 10 | 17.70 ± 0.78 | 17.70 ± 0.61 | 15.75 ± 1.30 | 7.90 |
| 200 | 373.51 ± 44.70 | 372.59 ± 9.45 | 357.75 ± 10.64 | 7.80 |
| 800 | 871.00 ± 66.13 | 913.00 ± 23.04 | 941.11 ± 40.59 | 6.99 |
| LKMS Concentration (ng/mL) | Protein Binding Rates (%) |
|---|---|
| 10 | 91 ± 4 |
| 200 | 87 ± 6 |
| 800 | 78 ± 9 |
| PK Parameters | iv (5 mg/kg) | im | sc | ||||
|---|---|---|---|---|---|---|---|
| 2.5 mg/kg | 5 mg/kg | 10 mg/kg | 2.5 mg/kg | 5 mg/kg | 10 mg/kg | ||
| T1/2λZ (h) | 32.33 ± 14.63 | 48.37 ± 2.76b | 57.54 ± 10.07a | 56.76 ± 11.83a | 136.70 ± 15.23b | 131.93 ± 14.44b | 64.02 ± 12.68a |
| Tmax | - | 1.80 ± 0.45a | 2.00 ± 0.00a | 2.20 ± 0.45a | 2.20 ± 0.45b | 2.00 ± 0.55b | 3.00 ± 0.00a |
| Cmax (μg/mL) | 5.73 ± 1.39 | 0.74 ± 0.19b | 0.83 ± 0.11b | 4.30 ± 1.11a | 0.48 ± 0.04b | 0.91 ± 0.13a | 1.03 ± 0.18a |
| AUClast (h·μg/mL) | 8.91 ± 2.31 | 3.99 ± 0.17c | 7.53 ± 1.56b | 24.89 ± 5.00a | 3.47 ± 0.27c | 6.61 ± 1.11b | 9.33 ± 1.48a |
| AUCINF_obs (h·μg/mL) | 9.13 ± 2.37 | 4.74 ± 1.17b | 8.44 ± 1.64b | 26.81 ± 5.43a | 4.52 ± 0.29c | 7.93 ± 1.25b | 9.99 ± 1.61a |
| Vz_obs (L/kg) | 25.56 ± 7.93 | - | - | - | - | - | - |
| Vz_F_obs (L/kg) | - | 32.56 ± 14.37b | 49.60 ± 7.37a | 43.82 ± 18.81a | 94.25 ± 16.89a | 83.92 ± 7.31b | 99.26 ± 12.07a |
| Vss (L/kg) | 11.60 ± 0.57 | - | - | - | - | - | - |
| Cl_obs (L/h/kg) | 0.58 ± 0.17 | - | - | - | - | - | - |
| Cl_F_obs (L/h/kg) | - | 0.55 ± 0.13a | 0.61 ± 0.11a | 0.39 ± 0.09b | 0.52 ± 0.08b | 0.64 ± 0.09b | 1.11 ± 0.25a |
| MRTlast (h) | 17.38 ± 7.71 | 21.46 ± 9.40b | 43.38 ± 10.50a | 27.67 ± 7.77b | 28.19 ± 1.89a | 31.09 ± 8.20a | 38.07 ± 3.52a |
| F (%) | - | 89 | 84 | 139 | 77 | 74 | 52 |
| Linear Pharmacokinetics Criteria | Intramuscular Administration | Subcutaneous Administrations | ||
|---|---|---|---|---|
| Cmax | AUClast | Cmax | AUClast | |
| Linear regression formula | y = 1.303x + 6.9704 | y = 1.2833x + 5.646 | y = 0.6031x + 7.7227 | y = 7.46x + 0.72 |
| Confidence interval | [0.81, 1.80] | [0.69, 1.68] | [0.11, 1.10] | [0.05, 1.04] |
| Judgement interval | [0.84, 1.16] | [0.74, 1.26] | [0.84, 1.16] | [0.74, 1.26] |
| Group | Animal Number Code | Administration Route | Dose of LKMS (mg/kg) |
|---|---|---|---|
| 1 | 1–6 | Intravenous | 5 |
| 2 | 7–12 | 2.5 | |
| 3 | 13–18 | Intramuscular | 5 |
| 4 | 19–24 | 10 | |
| 5 | 25–30 | 2.5 | |
| 6 | 31–36 | Subcutaneous | 5 |
| 7 | 37–42 | 10 | |
| 8 | 43–48 | 2.5 | |
| 9 | 49–54 | Oral | 5 |
| 10 | 55–60 | 10 |
Publisher’s Note: MDPI stays neutral with regard to jurisdictional claims in published maps and institutional affiliations. |
© 2022 by the authors. Licensee MDPI, Basel, Switzerland. This article is an open access article distributed under the terms and conditions of the Creative Commons Attribution (CC BY) license (https://creativecommons.org/licenses/by/4.0/).
Share and Cite
Sun, P.; Xiao, H.; Qiu, J.; Cao, Y.; Kong, J.; Zhang, S.; Cao, X. Plasma Protein Binding Rate and Pharmacokinetics of Lekethromycin in Rats. Antibiotics 2022, 11, 1241. https://doi.org/10.3390/antibiotics11091241
Sun P, Xiao H, Qiu J, Cao Y, Kong J, Zhang S, Cao X. Plasma Protein Binding Rate and Pharmacokinetics of Lekethromycin in Rats. Antibiotics. 2022; 11(9):1241. https://doi.org/10.3390/antibiotics11091241
Chicago/Turabian StyleSun, Pan, Hongzhi Xiao, Jicheng Qiu, Yuying Cao, Jingyuan Kong, Suxia Zhang, and Xingyuan Cao. 2022. "Plasma Protein Binding Rate and Pharmacokinetics of Lekethromycin in Rats" Antibiotics 11, no. 9: 1241. https://doi.org/10.3390/antibiotics11091241
APA StyleSun, P., Xiao, H., Qiu, J., Cao, Y., Kong, J., Zhang, S., & Cao, X. (2022). Plasma Protein Binding Rate and Pharmacokinetics of Lekethromycin in Rats. Antibiotics, 11(9), 1241. https://doi.org/10.3390/antibiotics11091241

