Comparison of Six Phenotypic Assays with Reference Methods for Assessing Colistin Resistance in Clinical Isolates of Carbapenemase-Producing Enterobacterales: Challenges and Opportunities
Abstract
:1. Introduction
2. Results
2.1. Variety of Carbapenemases
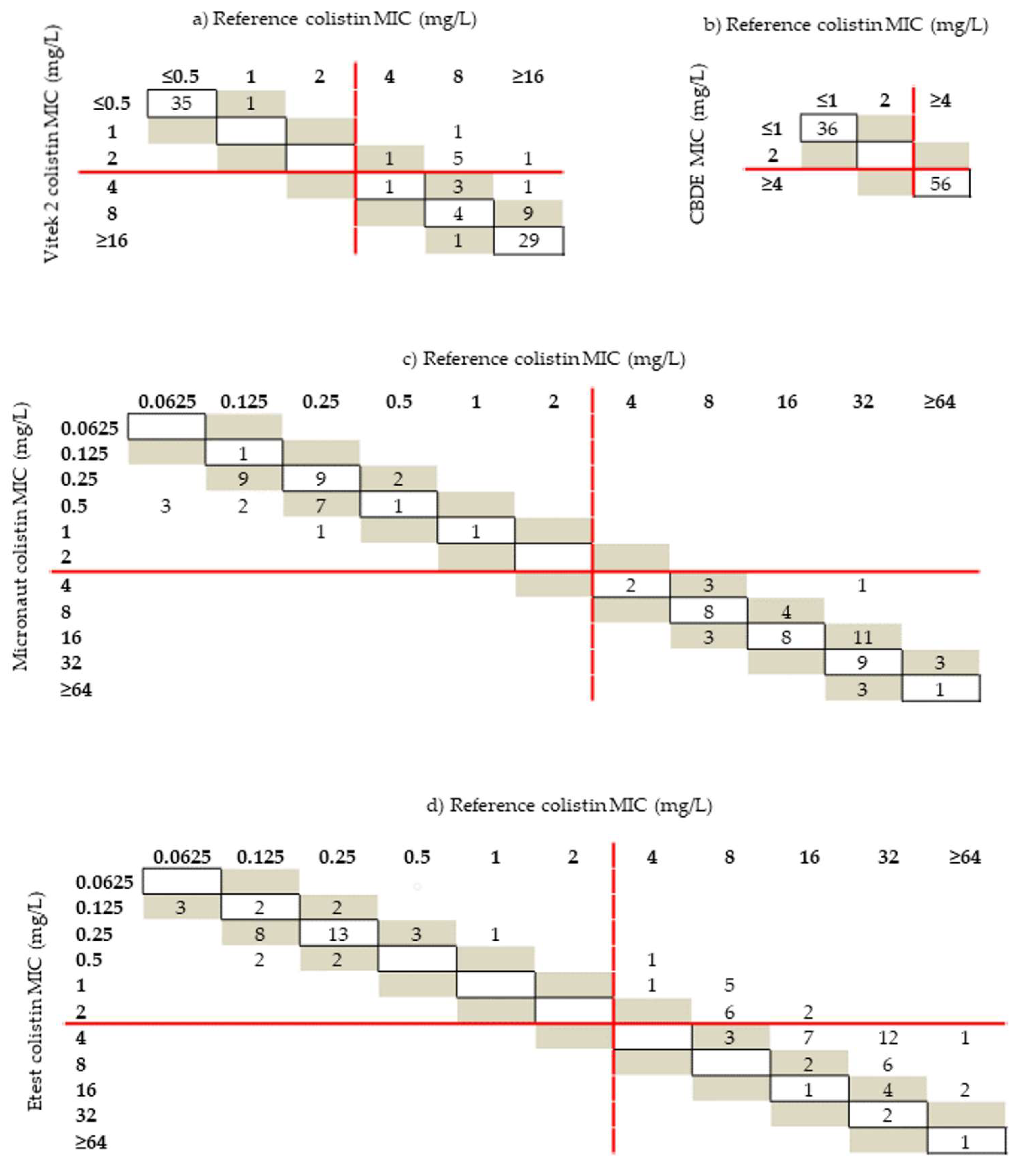
2.2. Colistin Testing Results versus BMD
2.3. Performance of Commercial Methods in Relation to the BMD
2.4. Colistin Testing Results versus PAP
2.5. Reproducibility
3. Discussion
Future Challenges and Perspective
4. Materials and Methods
4.1. Bacterial Strains
4.2. Data Collection
4.3. Identification of CPE Strains
4.4. Detection of Colistin Resistance
4.4.1. Colistin MIC Determination
4.4.2. Qualitative Phenotypic Assays
4.5. Interpretative Criteria
4.6. Quality Controls
4.7. Analysis of the Results
4.8. Statistical Analysis
4.9. Ethical Approval
5. Conclusions
Author Contributions
Funding
Institutional Review Board Statement
Informed Consent Statement
Data Availability Statement
Conflicts of Interest
References
- Nordmann, P.; Poirel, L. The difficult-to-control spread of carbapenemase producers among Enterobacteriaceae worldwide. Clin. Microbiol. Infect. 2014, 20, 821–830. [Google Scholar] [CrossRef] [Green Version]
- Albiger, B.; Glasner, C.; Struelens, M.J.; Grundmann, H.; Monnet, D.L. European Survey of Carbapenemase-Producing Enterobacteriaceae (EuSCAPE) working group. Carbapenemase-producing Enterobacteriaceae in Europe: Assessment by national experts from 38 countries, May 2015. Eurosurveillance 2015, 20, 30062. [Google Scholar] [CrossRef] [Green Version]
- Van Duin, D.; Doi, Y. The global epidemiology of carbapenemase-producing Enterobacteriaceae. Virulence 2017, 8, 460–469. [Google Scholar] [CrossRef]
- European Centre for Disease Prevention and Control. Rapid Risk Assessment. In Carbapenem-Resistant Enterobacteriaceae, Second Update, 26 September 2019; ECDC: Stockholm, Sweden, 2019; Available online: https://www.ecdc.europa.eu/sites/default/files/documents/carbapenem-resistant-enterobacteriaceae-risk-assessment-rev-2.pdf (accessed on 29 January 2022).
- Lutgring, J.D.; Limbago, B.M. The problem of carbapenemase-producing-carbapenem-resistant Enterobacteriaceae detection. J. Clin. Microbiol. 2016, 54, 529–534. [Google Scholar] [CrossRef] [Green Version]
- Lan, P.; Jiang, Y.; Zhou, J.; Yu, Y. A global perspective on the convergence of hypervirulence and carbapenem resistance in Klebsiella pneumoniae. J. Glob. Antimicrob. Resist. 2021, 25, 26–34. [Google Scholar] [CrossRef]
- Rodriguez-Bano, J.; Gutierrez-Gutierrez, B.; Machuca, I.; Pascuala, A. Treatment of infections caused by extended-spectrum-beta-lactamase-, AmpC-, and carbapenemase-producing Enterobacteriaceae. Clin. Microbiol. Rev. 2018, 31, e00079-17. [Google Scholar] [CrossRef] [Green Version]
- The United States Centers for Disease Control and Prevention. Antibiotic Resistance Threats in the United States 2019 (2019 AR Threats Report); CDC: Atlanta, GA, USA, 2019. Available online: https://www.cdc.gov/drugresistance/pdf/threats-report/2019-ar-threats-report-508.pdf (accessed on 29 January 2022).
- Clancy, C.J.; Buehrle, D.J.; Nguyen, M.H. PRO: The COVID-19 pandemic will result in increased antimicrobial resistance rates. JAC Antimicrob. Resist. 2020, 2, dlaa049. [Google Scholar] [CrossRef]
- Rusic, D.; Vilovic, M.; Bukic, J.; Leskur, D.; Perisin, A.S.; Kumric, M.; Martinovic, D.; Petric, A.; Modun, D.; Bozic, J. Implications of COVID-19 pandemic on the emergence of antimicrobial resistance: Adjusting the response to future outbreaks. Life 2021, 11, 220. [Google Scholar] [CrossRef]
- Belvisi, V.; Del Borgo, C.; Vita, S.; Redaelli, P.; Dolce, P.; Pacella, D.; Kertusha, B.; Carraro, A.; Marocco, R.; De Masi, M.; et al. Impact of SARS-CoV-2 pandemic on carbapenemase-producing Klebsiella pneumoniae prevention and control programme: Convergent or divergent action? J. Hosp. Infect. 2021, 109, 29–31. [Google Scholar] [CrossRef]
- Magiorakos, A.P.; Srinivasan, A.; Carey, R.B.; Carmeli, Y.; Falagas, M.E.; Giske, C.G.; Harbarth, S.; Hindler, J.F.; Kahlmeter, G.; Olsson-Liljequist, B.; et al. Multidrug-resistant, extensively drug-resistant and pandrug-resistant bacteria: An international expert proposal for interim standard definitions for acquired resistance. Clin. Microbiol. Infect. 2012, 18, 268–281. [Google Scholar] [CrossRef] [Green Version]
- Li, J.; Nation, R.L.; Turnidge, J.D.; Milne, R.W.; Coulthard, K.; Rayner, C.R.; Paterson, D.L. Colistin: The re-emerging antibiotic for multidrug-resistant Gram-negative bacterial infections. Lancet Infect. Dis. 2006, 6, 589–601. [Google Scholar] [CrossRef]
- Poirel, L.; Jayol, A.; Nordmann, P. Polymyxins: Antibacterial activity, susceptibility testing, and resistance mechanisms encoded by plasmids or chromosomes. Clin. Microbiol. Rev. 2017, 30, 557–596. [Google Scholar] [CrossRef] [PubMed] [Green Version]
- European Centre for Disease Prevention and Control. Expert Consensus Protocol on Colistin Resistance Detection and Characterisation for the Survey of Carbapenem- and/or Colistin-Resistant Enterobacteriaceae-Version 1.0; ECDC: Stockholm, Sweden, 2019; Available online: https://www.ecdc.europa.eu/sites/default/files/documents/expert-consensus-protocol-colistin-resistance.pdf (accessed on 29 January 2022).
- El-Sayed, M.A.E.G.; Zhong, L.L.; Shen, C.; Yang, Y.; Doi, Y.; Tian, G.B. Colistin and its role in the era of antibiotic resistance: An extended review (2000–2019). Emerg. Microbes Infect. 2020, 9, 868–885. [Google Scholar] [CrossRef] [PubMed] [Green Version]
- Tsuji, B.T.; Pogue, J.M.; Zavascki, A.P.; Paul, M.; Daikos, G.L.; Forrest, A.; Giacobbe, D.R.; Viscoli, C.; Giamarellou, H.; Karaiskos, I.; et al. International Consensus Guidelines for the optimal use of the polymyxins: Endorsed by the American College of Clinical Pharmacy (ACCP), European Society of Clinical Microbiology and Infectious Diseases (ESCMID), Infectious Diseases Society of America (IDSA), International Society for Anti-infective Pharmacology (ISAP), Society of Critical Care Medicine (SCCM), and Society of Infectious Diseases Pharmacists (SIDP). Pharmacotherapy 2019, 39, 10–39. [Google Scholar] [CrossRef] [PubMed]
- Vasoo, S. Susceptibility Testing for the Polymyxins: Two Steps Back, Three Steps Forward? J. Clin. Microbiol. 2017, 55, 2573–2582. [Google Scholar] [CrossRef] [Green Version]
- World Health Organization. The Detection and Reporting of Colistin Resistance; World Health Organization: Geneva, Switzerland, 2018; Available online: https://apps.who.int/iris/rest/bitstreams/1167165/retrieve (accessed on 29 January 2022).
- Deris, Z.Z.; Akter, J.; Sivanesan, S.; Roberts, K.D.; Thompson, P.E.; Nation, R.L.; Li, J.; Velkov, T. A secondary mode of action of polymyxins against Gram-negative bacteria involves the inhibition of NADH-quinone oxidoreductase activity. J. Antibiot. 2014, 67, 147–151. [Google Scholar] [CrossRef] [Green Version]
- European Centre for Disease Prevention and Control. Outbreak of Carbapenemase-Producing (NDM-1 and OXA-48) and Colistin-Resistant Klebsiella Pneumoniae ST307, North-East Germany, 2019; ECDC: Stockholm, Sweden, 2019; Available online: https://www.ecdc.europa.eu/sites/default/files/documents/Klebsiella-pneumoniae-resistance-Germany-risk-assessment.pdf (accessed on 29 September 2021).
- Bogdanovich, T.; Adams-Haduch, J.M.; Tian, G.B.; Nguyen, M.H.; Kwak, E.J.; Muto, C.A.; Doi, Y. Colistin-resistant, Klebsiella pneumoniae carbapenemase (KPC)-producing Klebsiella pneumoniae belonging to the international epidemic clone ST258. Clin. Infect. Dis. 2011, 53, 373–376. [Google Scholar] [CrossRef] [Green Version]
- Weterings, V.; Zhou, K.; Rossen, J.W.; van Stenis, D.; Thewessen, E.; Kluytmans, J.; Veenemans, J. An outbreak of colistin-resistant Klebsiella pneumoniae carbapenemase-producing Klebsiella pneumoniae in the Netherlands (July to December 2013), with inter-institutional spread. Eur. J. Clin. Microbiol. Infect. Dis. 2015, 34, 1647–1655. [Google Scholar] [CrossRef]
- Mezzatesta, M.L.; Gona, F.; Caio, C.; Petrolito, V.; Sciortino, D.; Sciacca, A.; Santangelo, C.; Stefani, S. Outbreak of KPC-3-producing, and colistin-resistant, Klebsiella pneumoniae infections in two Sicilian hospitals. Clin. Microbiol. Infect. 2011, 17, 1444–1447. [Google Scholar] [CrossRef] [Green Version]
- Olaitan, A.O.; Diene, S.M.; Kempf, M.; Berrazeg, M.; Bakour, S.; Gupta, S.K.; Thongmalayvong, B.; Akkhavong, K.; Somphavong, S.; Paboriboune, P.; et al. Worldwide emergence of colistin resistance in Klebsiella pneumoniae from healthy humans and patients in Lao PDR, Thailand, Israel, Nigeria and France owing to inactivation of the PhoP/PhoQ regulator mgrB: An epidemiological and molecular study. Int. J. Antimicrob. Agents 2014, 44, 500–507. [Google Scholar] [CrossRef] [Green Version]
- Chen, S.; Hu, F.; Zhang, X.; Xu, X.; Liu, Y.; Zhu, D.; Wang, H. Independent emergence of colistin-resistant Enterobacteriaceae clinical isolates without colistin treatment. J. Clin. Microbiol. 2011, 49, 4022–4023. [Google Scholar] [CrossRef] [PubMed] [Green Version]
- Li, Z.; Cao, Y.; Yi, L.; Liu, J.H.; Yang, Q. Emergent Polymyxin resistance: End of an era? Open Forum Infect. Dis. 2019, 6, ofz368. [Google Scholar] [CrossRef] [PubMed]
- Gharaibeh, M.H.; Shatnawi, S.Q. An overview of colistin resistance, mobilized colistin resistance genes dissemination, global responses, and the alternatives to colistin: A review. Vet. World 2019, 12, 1735–1746. [Google Scholar] [CrossRef] [PubMed] [Green Version]
- Wang, C.; Feng, Y.; Liu, L.; Wei, L.; Kang, M.; Zong, Z. Identification of novel mobile colistin resistance gene mcr-10. Emerg. Microbes Infect. 2020, 9, 508–516. [Google Scholar] [CrossRef] [Green Version]
- Bardet, L.; Rolain, J.M. Development of new tools to detect colistin-resistance among Enterobacteriaceae strains. Can. J. Infect. Dis. Med. Microbiol. 2018, 1–25. [Google Scholar] [CrossRef]
- European Centre for Disease Prevention and Control. Antimicrobial Resistance in the EU/EEA (EARS-Net)-Annual Epidemiological Report 2019; ECDC: Stockholm, Sweden, 2020; Available online: https://www.ecdc.europa.eu/sites/default/files/documents/surveillance-antimicrobial-resistance-Europe-2019.pdf (accessed on 28 January 2022).
- European Committee on Antimicrobial Susceptibility Testing. Recommendations for MIC Determination of Colistin (Polymyxin E) as Recommended by the Joint CLSI-EUCAST Polymyxin Breakpoints Working Group, EUCAST. 2016. Available online: http://www.bioconnections.co.uk/files/merlin/Recommendations_for_MIC_determination_of_colistin_March_2016.pdf (accessed on 28 January 2022).
- El-Halfawy, O.M.; Valvano, M.A. Antimicrobial heteroresistance: An emerging field in need of clarity. Clin. Microbiol. Rev. 2015, 28, 191–207. [Google Scholar] [CrossRef] [Green Version]
- Charretier, Y.; Diene, S.M.; Baud, D.; Chatellier, S.; Santiago-Allexant, E.; van Belkum, A.; Guigon, G.; Schrenzela, J. Colistin heteroresistance and involvement of the PmrAB regulatory system in Acinetobacter baumannii. Antimicrob. Agents Chemother. 2018, 62, e00788-18. [Google Scholar] [CrossRef] [Green Version]
- Band, V.I.; Satola, S.W.; Smith, R.D.; Hufnagel, D.A.; Bower, C.; Conley, A.B.; Rishishwar, L.; Dale, S.E.; Hardy, D.J.; Vargas, R.L.; et al. Colistin heteroresistance is largely undetected among Carbapenem-Resistant Enterobacterales in the United States. mBio 2021, 12, e02881-20. [Google Scholar] [CrossRef]
- Ezadi, F.; Ardebili, A.; Mirnejadc, R. Antimicrobial susceptibility testing for polymyxins: Challenges, issues, and recommendations. J. Clin. Microbiol. 2019, 57, e01390-18. [Google Scholar] [CrossRef] [Green Version]
- Satlin, M.J. The Search for a practical method for colistin susceptibility testing: Have we found it by going back to the future? J. Clin. Microbiol. 2019, 57, e01608-18. [Google Scholar] [CrossRef] [Green Version]
- Humphries, R.M.; Ambler, J.; Mitchell, S.L.; Castanheira, M.; Dingle, T.; Hindler, J.A.; Koeth, L.; Sei, K. CLSI methods development and standardization Working Group best practices for evaluation of antimicrobial susceptibility tests. J. Clin. Microbiol. 2018, 56, e01934-17. [Google Scholar] [CrossRef] [PubMed] [Green Version]
- M100-S30; Performance Standards for Antimicrobial Susceptibility Testing, 30th ed. CLSI—Clinical and Laboratory Standards Institute: Wayne, PA, USA, 2020.
- Simner, P.J.; Bergman, Y.; Trejo, M.; Roberts, A.A.; Marayan, R.; Tekle, T.; Campeau, S.; Kazmi, A.Q.; Bell, D.T.; Lewis, S.; et al. Two-site evaluation of the colistin broth disk elution test to determine colistin in vitro activity against Gram-negative bacilli. J. Clin. Microbiol. 2019, 57, e01163-18. [Google Scholar] [CrossRef] [PubMed] [Green Version]
- Humphries, R.M.; Green, D.A.; Schuetz, A.N.; Bergman, Y.; Lewis, S.; Yee, R.; Stump, S.; Lopez, M.; Macesic, N.; Uhlemann, A.C.; et al. Multicenter evaluation of colistin broth disk elution and colistin agar test: A report from the Clinical and Laboratory Standards Institute. J. Clin. Microbiol. 2019, 57, e01269-19. [Google Scholar] [CrossRef] [PubMed] [Green Version]
- Lellouche, J.; Schwartz, D.; Elmalech, N.; Ben Dalak, M.A.; Temkin, E.; Paul, M.; Geffen, Y.; Yahav, D.; Eliakim-Raz, N.; Durante-Mangoni, E.; et al. Combining VITEK 2 with colistin agar dilution screening assist timely reporting of colistin susceptibility. Clin. Microbiol. Infect. 2019, 25, 711–716. [Google Scholar] [CrossRef]
- Khurana, S.; Malhotra, R.; Mathur, P. Evaluation of Vitek 2 performance for colistin susceptibility testing for Gram-negative isolates. JAC Antimicrob. Resist. 2020, 2, dlaa101. [Google Scholar] [CrossRef]
- Chew, K.L.; La, M.V.; Lin, R.T.P.; Teo, J.W.P. Colistin and polymyxin B susceptibility testing for carbapenem-resistant and mcr-positive Enterobacteriaceae: Comparison of Sensititre, MicroScan, Vitek 2, and Etest with broth microdilution. J. Clin. Microbiol. 2017, 55, 2609–2616. [Google Scholar] [CrossRef] [Green Version]
- Pfennigwerth, N.; Kaminski, A.; Korte-Berwanger, M.; Pfeifer, Y.; Simon, M.; Werner, G.; Jantsch, J.; Marlinghaus, L.; Gatermann, S.G. Evaluation of six commercial products for colistin susceptibility testing in Enterobacterales. Clin. Microbiol. Infect. 2019, 25, 1385–1389. [Google Scholar] [CrossRef]
- Jayol, A.; Nordmann, P.; Lehours, P.; Poirel, L.; Dubois, V. Comparison of methods for detection of plasmid-mediated and chromosomally encoded colistin resistance in Enterobacteriaceae. Clin. Microbiol. Infect. 2018, 24, 175–179. [Google Scholar] [CrossRef] [Green Version]
- Lo-Ten-Foe, J.R.; de Smet, A.M.G.A.; Diederen, B.M.W.; Kluytmans, J.A.J.W.; van Keulen, P.H.J. Comparative evaluation of the Vitek 2, disk diffusion, Etest, broth microdilution, and agar dilution susceptibility testing methods for colistin in clinical isolates, including heteroresistant Enterobacter cloacae and Acinetobacter baumannii strains. Antimicrob. Agents Chemother. 2007, 51, 3726–3730. [Google Scholar] [CrossRef] [Green Version]
- Matuschek, E.; Ahman, J.; Webster, C.; Kahlmeter, G. Antimicrobial susceptibility testing of colistin-evaluation of seven commercial MIC products against standard broth microdilution for Escherichia coli, Klebsiella pneumoniae, Pseudomonas aeruginosa, and Acinetobacter spp. Clin. Microbiol. Infect. 2018, 24, 865–870. [Google Scholar] [CrossRef] [Green Version]
- Girlich, D.; Naas, T.; Dortet, L. Comparison of the Superpolymyxin and ChromID Colistin R screening media for the detection of colistin-resistant Enterobacteriaceae from spiked rectal swabs. Antimicrob. Agents Chemother. 2019, 63, e01618-18. [Google Scholar] [CrossRef] [PubMed] [Green Version]
- Garcia-Fernandez, S.; García-Castillo, M.; Ruiz-Garbajosa, P.; Morosini, M.I.; Bala, Y.; Zambardi, G.; Canton, R. Performance of CHROMID® Colistin R agar, a new chromogenic medium for screening of colistin-resistant Enterobacterales. Diagn. Microbiol. Infect. Dis. 2019, 93, 1–4. [Google Scholar] [CrossRef] [PubMed]
- Bala, Y.; Fabre, P.; Senot, F.; Loubet, M.; Brossault, L.; Vrignaud, M.; Roche, J.M.; Ghirardi, S.; Zambardi, G. Can CHROMID(R) Colistin R agar (COLR) be used to test colistin susceptibility in Enterobacteriaceae? In Proceedings of the ESCMID Final Programme, 28th ECCMID, Madrid, Spain, 21–24 April 2018; Abstract Number: O0957. Available online: https://www.escmid.org/escmid_publications/escmid_elibrary/material/?mid=63537 (accessed on 24 January 2022).
- Nordmann, P.; Jayol, A.; Poirel, L. Rapid detection of polymyxin resistance in Enterobacteriaceae. Emerg. Infect. Dis. 2016, 22, 1038–1043. [Google Scholar] [CrossRef] [PubMed] [Green Version]
- Yainoy, S.; Hiranphan, M.; Phuadraksa, T.; Eiamphungporn, W.; Tiengrim, S.; Thamlikitkul, V. Evaluation of the Rapid Polymyxin NP test for detection of colistin susceptibility in Enterobacteriaceae isolated from Thai patients. Diagn. Microbiol. Infect. Dis. 2018, 92, 102–106. [Google Scholar] [CrossRef] [PubMed]
- Poirel, L.; Larpin, Y.; Dobias, J.; Stephan, R.; Decousser, J.W.; Madec, J.Y.; Nordman, P. Rapid Polymyxin NP test for the detection of polymyxin resistance mediated by the mcr-1/mcr-2 genes. Diagn. Microbiol. Infect. Dis. 2018, 90, 7–10. [Google Scholar] [CrossRef] [PubMed] [Green Version]
- Kon, H.; Abramov, S.; Dalak, M.A.B.; Elmaliach, N.; Schwartz, D.; Carmeli, Y.; Lellouche, J. Performance of Rapid PolymyxinTM NP and Rapid PolymyxinTM Acinetobacter for the detection of polymyxin resistance in carbapenem-resistant Acinetobacter baumannii and Enterobacterales. J. Antimicrob. Chemother. 2020, 75, 1484–1490. [Google Scholar] [CrossRef]
- Jayol, A.; Kieffer, N.; Poirel, L.; Guerin, F.; Guneser, D.; Cattoir, V.; Nordmann, P. Evaluation of the Rapid Polymyxin NP test and its industrial version for the detection of polymyxin-resistant Enterobacteriaceae. Diagn. Microbiol. Infect. Dis. 2018, 92, 90–94. [Google Scholar] [CrossRef]
- Halaby, T.; Al Naiemi, N.; Kluytmans, J.; van der Palen, J.; Vandenbroucke-Graulsb, C.M.J.E. Emergence of colistin resistance in Enterobacteriaceae after the introduction of selective digestive tract decontamination in an intensive care unit. Antimicrob. Agents Chemother. 2013, 57, 3224–3229. [Google Scholar] [CrossRef] [Green Version]
- Dafopoulou, K.; Zarkotou, O.; Dimitroulia, E.; Hadjichristodoulou, C.; Gennimata, V.; Pournaras, S.; Tsakris, A. Comparative valuation of colistin susceptibility testing methods among carbapenem-nonsusceptible Klebsiella pneumoniae and Acinetobacter baumannii clinical isolates. Antimicrob. Agents Chemother. 2015, 59, 4625–4630. [Google Scholar] [CrossRef] [Green Version]
- Giske, C.G.; Kahlmeter, G. Colistin antimicrobial susceptibility testing-can the slow and challenging be replaced by the rapid and convenient? Clin. Microbiol. Infect. 2018, 24, 93–94. [Google Scholar] [CrossRef] [Green Version]
- Liao, W.; Lin, J.; Jia, H.; Zhou, C.; Zhang, Y.; Lin, Y.; Ye, J.; Cao, J.; Zhou, T. Resistance and heteroresistance to colistin in Escherichia coli isolates from Wenzhou, China. Infect. Drug Resist. 2020, 13, 3551–3561. [Google Scholar] [CrossRef] [PubMed]
- Cheong, H.S.; Kim, S.Y.; Wi, Y.M.; Peck, K.R.; Ko, K.S. Colistin heteroresistance in Klebsiella Pneumoniae isolates and diverse mutations of PmrAB and PhoPQ in resistant subpopulations. J. Clin. Med. 2019, 8, 1444. [Google Scholar] [CrossRef] [PubMed] [Green Version]
- European Committee on Antimicrobial Susceptibility Testing (EUCAST). Breakpoint Tables for Interpretation of MICs and Zone Diameters, Version 7.1. 2017. Available online: https://www.eucast.org/ast_of_bacteria/previous_versions_of_documents/ (accessed on 24 January 2022).
- European Committee on Antimicrobial Susceptibility Testing (EUCAST). Breakpoint Tables for Interpretation of MICs and Zone Diameters, Version 8.0. 2018. Available online: https://www.eucast.org/ast_of_bacteria/previous_versions_of_documents/ (accessed on 24 January 2022).
- European Committee on Antimicrobial Susceptibility Testing (EUCAST). Breakpoint Tables for Interpretation of MICs and Zone Diameters, Version 8.1. 2018. Available online: https://www.eucast.org/ast_of_bacteria/previous_versions_of_documents/ (accessed on 24 January 2022).
- European Committee on Antimicrobial Susceptibility Testing (EUCAST). Breakpoint Tables for Interpretation of MICs and Zone Diameters, Version 9.0. 2019. Available online: https://www.eucast.org/ast_of_bacteria/previous_versions_of_documents/ (accessed on 24 January 2022).
- European Committee on Antimicrobial Susceptibility Testing (EUCAST). Breakpoint Tables for Interpretation of MICs and Zone Diameters, Version 10.0. 2020. Available online: https://www.eucast.org/ast_of_bacteria/previous_versions_of_documents/ (accessed on 24 January 2022).
- European Committee on Antimicrobial Susceptibility Testing (EUCAST). Breakpoint Tables for Interpretation of MICs and Zone Diameters, Version 11.0. 2021. Available online: https://www.eucast.org/fileadmin/src/media/PDFs/EUCAST_files/Breakpoint_tables/v_11.0_Breakpoint_Tables.pdf (accessed on 24 January 2022).
- M100-S27; Performance Standards for Antimicrobial Susceptibility Testing, 27th ed. CLSI—Clinical and Laboratory Standards Institute: Wayne, PA, USA, 2017.
- Van der Zwaluw, K.; de Haan, A.; Pluister, G.N.; Bootsma, H.J.; de Neeling, A.J.; Schouls, L.M. The carbapenem inactivation method (CIM), a simple and low-cost alternative for the Carba NP Test to assess phenotypic carbapenemase activity in Gram-negative rods. PLoS ONE 2015, 10, e0123690. [Google Scholar] [CrossRef] [PubMed] [Green Version]
- Foldes, A.; Molnar, S.; Bilca, D.V.; Voidazan, S.T.; Szekely, E. Molecular epidemiology and the clinical impact of carbapenemase-producing Enterobacterales isolates among adult patients: Aspects from a Romanian non-teaching hospital. Rev. Rom. Med. Lab. 2020, 28, 427–439. [Google Scholar] [CrossRef]
- Foldes, A.; Bilca, D.V.; Szekely, E. Phenotypic and molecular identification of carbapenemase-producing Enterobacteriaceae-challenges in diagnosis and treatment. Rev. Rom. Med. Lab. 2018, 26, 221–230. [Google Scholar] [CrossRef] [Green Version]
- Szekely, E.; Damjanova, I.; Janvari, L.; Vas, K.E.; Molnar, S.; Bilca, D.V.; Lorinczi, L.K.; Toth, A. First description of blaNDM-1, blaOXA-48, blaOXA-181 producing Enterobacteriaceae strains in Romania. Int. J. Med. Microbiol. 2013, 303, 697–700. [Google Scholar] [CrossRef]
- M07; Methods for Dilution Antimicrobial Susceptibility Tests for Bacteria That Grow Aerobically, 11th ed. CLSI—Clinical and Laboratory Standards Institute: Wayne, PA, USA, 2018.
- Bergen, P.J.; Forrest, A.; Bulitta, J.B.; Tsuji, B.T.; Sidjabat, H.E.; Paterson, D.L.; Li, J.; Nation, R.L. Clinically relevant plasma concentrations of colistin in combination with imipenem enhance pharmacodynamic activity against multidrug-resistant Pseudomonas aeruginosa at multiple inocula. Antimicrob. Agents Chemother. 2011, 55, 5134–5142. [Google Scholar] [CrossRef] [Green Version]
- Hermes, D.M.; Pormann Pitt, C.; Lutz, L.; Teixeira, A.B.; Ribeiro, V.B.; Netto, B.; Martins, A.F.; Zavascki, A.P.; Barth, A.L. Evaluation of heteroresistance to polymyxin B among carbapenem-susceptible and -resistant Pseudomonas aeruginosa. J. Med. Microbiol. 2013, 62, 1184–1189. [Google Scholar] [CrossRef]
- ISO 20776-2:2007; Clinical Laboratory Testing and In Vitro Diagnostic Test Systems–Susceptibility Testing of Infectious Agents and Evaluation of Performance of Antimicrobial Susceptibility Test Devices–Part 2: Evaluation of Performance of Antimicrobial Susceptibility Test Devices. International Organization for Standardization: Geneva, Switzerland, 2007. Available online: https://www.iso.org/standard/41631.html (accessed on 24 January 2022).


| Species | Carbapenemase Type | Colistin Reference MIC (mg/L) | ||||||||||
|---|---|---|---|---|---|---|---|---|---|---|---|---|
| 0.0625 | 0.125 | 0.25 | 0.5 | 1 | 2 | 4 | 8 | 16 | 32 | ≥64 | ||
| Klebsiella pneumoniae | KPC (n = 41) | 0 | 3 | 4 | 1 | 0 | 0 | 2 | 12 | 6 | 10 | 3 |
| OXA-48-like (n = 29) | 0 | 4 | 5 | 1 | 0 | 0 | 0 | 2 | 5 | 11 | 1 | |
| MBL (n = 8) | 0 | 0 | 5 | 0 | 0 | 0 | 0 | 0 | 1 | 2 | 0 | |
| Citrobacter freundii | MBL (n = 6) | 0 | 3 | 1 | 1 | 1 | 0 | 0 | 0 | 0 | 0 | 0 |
| Enterobacter cloacae complex | MBL (n = 4) | 2 | 0 | 1 | 0 | 0 | 0 | 0 | 0 | 0 | 1 | 0 |
| Escherichia coli | OXA-48-like (n = 3) | 1 | 1 | 1 | 0 | 0 | 0 | 0 | 0 | 0 | 0 | 0 |
| MBL (n = 1) | 0 | 1 | 0 | 0 | 0 | 0 | 0 | 0 | 0 | 0 | 0 | |
| Total | n = 92 | 3 | 12 | 17 | 3 | 1 | 0 | 2 | 14 | 12 | 24 | 4 |
| Parameter | Vitek 2 Compact | Micronaut MIC-Strip | Etest, MHE | COLR Medium | Rapid Polymyxin NP Test | CBDE |
|---|---|---|---|---|---|---|
| True positive (n) | 48 | 56 | 41 | 55 | 56 | 56 |
| False positive (n) | 0 | 0 | 0 | 0 | 3 | 0 |
| False negative (n) | 8 | 0 | 15 | 0 | 0 | 0 |
| True negative (n) | 36 | 36 | 36 | 27 | 33 | 36 |
| Total (n) | 92 | 92 | 92 | 82 | 92 | 92 |
| Sensitivity (%) | 85.71 | 100 | 73.21 | 100 | 100 | 100 |
| Specificity (%) | 100 | 100 | 100 | 100 | 91.67 | 100 |
| PPV (%) | 100 | 100 | 100 | 100 | 94.92 | 100 |
| NPV (%) | 81.82 | 100 | 70.59 | 100 | 100 | 100 |
| EA (%) | 91.30 | 92.39 | 50 | NA | NA | NA |
| CA (%) | 91.30 | 100 | 83.69 | 100 | 96.73 | 100 |
| VMD (%) | 14.28 | 0 | 26.78 | 0 | 0 | 0 |
| MD (%) | 0 | 0 | 0 | 0 | 8.33 | 0 |
| Strain | Carbapenemase Type | Vitek 2 Compact (MIC mg/L) | Micronaut MIC-Strip (MIC mg/L) | Etest, MHE (MIC mg/L) | COLR Medium | Rapid Polymyxin NP Test | CBDE (MIC mg/L) | BMD (MIC mg/L) |
|---|---|---|---|---|---|---|---|---|
| Enterobacter cloacae complex (n = 1) A | MBL | ≤0.5 | 0.25 | 0.25 | Negative | Positive 1 | ≤1 | 0.25 |
| Klebsiella pneumoniae (n = 1) B | KPC | ≤0.5 | 0.5 | 0.25 | Negative | Positive | ≤1 | 0.25 |
| K. pneumoniae (n = 1) C | KPC | ≤0.5 | 0.25 | 0.25 | Negative | Positive | ≤1 | 0.5 |
| K. pneumoniae (n = 1) D | OXA-48-like | 1 | 16 | 2 | Positive | Positive | ≥4 | 8 |
| K. pneumoniae (n = 1) E | KPC | 2 | 4 | 2 | Positive | Positive | ≥4 | 8 |
| K. pneumoniae (n = 1) F | KPC | ≥16 | 8 | 2 | Positive | Positive | ≥4 | 16 |
| K. pneumoniae (n = 1) G | KPC | ≥8 | 16 | 2 | Positive | Positive | ≥4 | 8 |
| K. pneumoniae (n = 1) H | KPC | 4 | 4 | 0.5 | Positive | Positive | ≥4 | 4 |
| K. pneumoniae (n = 1) I | KPC | 4 | 8 | 1 | Positive | Positive | ≥4 | 8 |
| K, pneumoniae (n = 1) J | KPC | 2 | 8 | 2 | Positive | Positive | ≥4 | 16 |
| K. pneumoniae (n = 1) K | KPC | 2 | 4 | 1 | Positive | Positive | ≥4 | 4 |
| K. pneumoniae (n = 2) L, M | KPC | 2 | 8 | 1 | Positive | Positive | ≥4 | 8 |
| K. pneumoniae (n = 1) N | KPC | 4 | 8 | 1 | Positive | Positive | ≥4 | 8 |
| K. pneumoniae (n = 1) O | KPC | 2 | 8 | 2 | Positive | Positive | ≥4 | 8 |
| K. pneumoniae (n = 1) P | KPC | 2 | 8 | 1 | Positive | Positive | ≥4 | 8 |
| K. pneumoniae (n = 1) Q | KPC | ≥8 | 4 | 2 | Positive | Positive | ≥4 | 8 |
| K. pneumoniae (n = 1) R | KPC | 8 | 8 | 2 | Positive | Positive | ≥4 | 8 |
| Strain | Previous Colistin Therapy | Highest Colistin Concentration of Growth in PAP (mg/L) | Inhibitory Colistin Concentration in PAP (mg/L) | Frequency at Highest Colistin Concentration of Growth | MIC by BMD of Colonies before 7 Days Passages (mg/L) | MIC by BMD of Colonies after 7 Days Passages (mg/L) | Strain Classification by PAP |
|---|---|---|---|---|---|---|---|
| E. cloacae complex A | No | 0.5 | 1 | 6.6 × 10−4 | 0.25 | 0.25 | hO-S |
| K. pneumoniae B | No | 16 | ≥32 | 4.0 × 10−7 | >64 | >64 | hR |
| K. pneumoniae C | Yes 1 | 4 | 8 | 8.0 × 10−7 | >64 | >64 | hR |
Publisher’s Note: MDPI stays neutral with regard to jurisdictional claims in published maps and institutional affiliations. |
© 2022 by the authors. Licensee MDPI, Basel, Switzerland. This article is an open access article distributed under the terms and conditions of the Creative Commons Attribution (CC BY) license (https://creativecommons.org/licenses/by/4.0/).
Share and Cite
Főldes, A.; Székely, E.; Voidăzan, S.T.; Dobreanu, M. Comparison of Six Phenotypic Assays with Reference Methods for Assessing Colistin Resistance in Clinical Isolates of Carbapenemase-Producing Enterobacterales: Challenges and Opportunities. Antibiotics 2022, 11, 377. https://doi.org/10.3390/antibiotics11030377
Főldes A, Székely E, Voidăzan ST, Dobreanu M. Comparison of Six Phenotypic Assays with Reference Methods for Assessing Colistin Resistance in Clinical Isolates of Carbapenemase-Producing Enterobacterales: Challenges and Opportunities. Antibiotics. 2022; 11(3):377. https://doi.org/10.3390/antibiotics11030377
Chicago/Turabian StyleFőldes, Annamária, Edit Székely, Septimiu Toader Voidăzan, and Minodora Dobreanu. 2022. "Comparison of Six Phenotypic Assays with Reference Methods for Assessing Colistin Resistance in Clinical Isolates of Carbapenemase-Producing Enterobacterales: Challenges and Opportunities" Antibiotics 11, no. 3: 377. https://doi.org/10.3390/antibiotics11030377
APA StyleFőldes, A., Székely, E., Voidăzan, S. T., & Dobreanu, M. (2022). Comparison of Six Phenotypic Assays with Reference Methods for Assessing Colistin Resistance in Clinical Isolates of Carbapenemase-Producing Enterobacterales: Challenges and Opportunities. Antibiotics, 11(3), 377. https://doi.org/10.3390/antibiotics11030377

