The Molecular Basis of Organic Chemiluminescence
Abstract
1. Fundamental Aspects of Organic Chemiluminescence
2. General Chemiexcitation Mechanisms
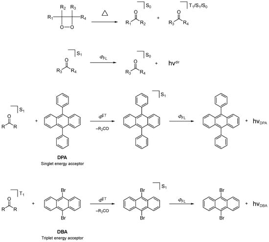
2.1. Unimolecular Decomposition of 1,2-Dioxetane, 1,2-Dioxetanone, and 1,2-Dioxetanedione
2.2. Intermolecularly Catalyzed 1,2-Dioxetanone and 1,2-Dioxetanedione Decomposition (Intermolecular CIEEL)
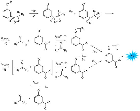
2.3. Intramolecularly Catalyzed 1,2-Dioxetane Decomposition (Intramolecular CIEEL)
2.4. Chemiluminescence Transformations Applied to Analytical Assays
3. Applications of CL Transformations in Bioassays
4. Conclusions
Author Contributions
Funding
Institutional Review Board Statement
Informed Consent Statement
Data Availability Statement
Conflicts of Interest
References
- Vacher, M.; Fdez Galván, I.; Ding, B.W.; Schramm, S.; Berraud-Pache, R.; Naumov, P.; Ferré, N.; Liu, Y.J.; Navizet, I.; Roca-Sanjuán, D.; et al. Chemi- and Bioluminescence of Cyclic Peroxides. Chem. Rev. 2018, 118, 6927–6974. [Google Scholar] [CrossRef] [PubMed]
- El Seoud, O.A.; Baader, W.J.; Bastos, E.L. Encyclopedia of Physical Organic Chemistry, 5 Volume Set; Wang, Z., Ed.; John Wiley & Sons, Inc.: Hoboken, NJ, USA, 2016. [Google Scholar]
- Stevani, C.V.; Silva, S.M.; Baader, W.J. Studies on the Mechanism of the Excitation Step in Peroxyoxalate Chemiluminescence. Eur. J. Org. Chem. 2000, 2000, 4037–4046. [Google Scholar] [CrossRef]
- Augusto, F.A.; De Souza, G.A.; De Souza, S.P.; Khalid, M.; Baader, W.J. Efficiency of Electron Transfer Initiated Chemiluminescence. Photochem. Photobiol. 2013, 89, 1299–1317. [Google Scholar] [CrossRef] [PubMed]
- Baader, W.J.; Stevani, C.V.; Bastos, E.L. Chemiluminescence of Organic Peroxides. In The Chemistry of Peroxides; Rappoport, Z., Ed.; Wiley-VCH: Chichester, UK, 2006; pp. 1211–1278. [Google Scholar]
- Ando, Y.; Niwa, K.; Yamada, N.; Enomoto, T.; Irie, T.; Kubota, H.; Ohmiya, Y.; Akiyama, H. Firefly Bioluminescence Quantum Yield and Colour Change by PH-Sensitive Green Emission. Nat. Photonics 2008, 2, 44–47. [Google Scholar] [CrossRef]
- Adam, W.; Cilento, G. Chemical and Biological Generation of Excited States; Academic Press: New York, NY, USA, 1982. [Google Scholar]
- Kopecky, K.R.; Mumford, C. Luminescence in the Thermal Decomposition of 3,3,4-Trimethyl-1,2-Dioxetane. Can. J. Chem. 1969, 47, 709–711. [Google Scholar] [CrossRef]
- Adam, W.; Liu, J.-C. Cyclic Peroxides. XVI. Alpha-Peroxy Lactone. Synthesis and Chemiluminescence. J. Am. Chem. Soc. 1972, 94, 2894–2895. [Google Scholar] [CrossRef]
- Adam, W.; Baader, W.J. 1,2-Dioxetane: Synthesis, Characterization, Stability, and Chemiluminescence. Angew. Chem. Int. Ed. Engl. 1984, 23, 166–167. [Google Scholar] [CrossRef]
- Rauhut, M.M. Chemiluminescence from Concerted Peroxide Decomposition Reactions. Acc. Chem. Res. 1969, 2, 80–87. [Google Scholar] [CrossRef]
- Stevani, C.V.; Campos, I.P.D.A.; Baader, W.J. Synthesis and Characterisation of an Intermediate in the Peroxyoxalate Chemiluminescence: 4-Chlorophenyl O,O-Hydrogen Monoperoxy-Oxalate. J. Chem. Soc. Perkin Trans. 1996, 2, 1645–1648. [Google Scholar] [CrossRef]
- Stevani, C.V.; Baader, W.J. Kinetic Studies on the Chemiluminescent Decomposition of an Isolated Intermediate in the Peroxyoxalate Reaction. J. Phys. Org. Chem. 1997, 10, 593–599. [Google Scholar] [CrossRef]
- Tonkin, S.A.; Bos, R.; Dyson, G.A.; Lim, K.F.; Russell, R.A.; Watson, S.P.; Hindson, C.M.; Barnett, N.W. Studies on the Mechanism of the Peroxyoxalate Chemiluminescence Reaction. Part 2. Further Identification of Intermediates Using 2D EXSY13C Nuclear Magnetic Resonance Spectroscopy. Anal. Chim. Acta. 2008, 614, 173–181. [Google Scholar] [CrossRef] [PubMed]
- da Silva, S.M.; Lang, A.P.; dos Santos, A.P.F.; Cabello, M.C.; Ciscato, L.F.M.L.; Bartoloni, F.H.; Bastos, E.L.; Baader, W.J. Cyclic Peroxidic Carbon Dioxide Dimer Fuels Peroxyoxalate Chemiluminescence. J. Org. Chem. 2021, 86, 11434–11441. [Google Scholar] [CrossRef] [PubMed]
- Bastos, E.L.; Farahani, P.; Bechara, E.J.H.; Baader, W.J. Four-Membered Cyclic Peroxides: Carriers of Chemical Energy. J. Phys. Org. Chem. 2017, 30, e3725. [Google Scholar] [CrossRef]
- Schuster, G.B. Chemiluminescence of Organic Peroxides. Conversion of Ground-State Reactants to Excited-State Products by the Chemically Initiated Electron-Exchange Luminescence Mechanism. Acc. Chem. Res. 1979, 12, 366–373. [Google Scholar] [CrossRef]
- Wilson, T. Comments on the Mechanisms of Chemi- and Bioluminescence. Photochem. Photobiol. 1995, 62, 601–606. [Google Scholar] [CrossRef]
- Schuster, G.B.; Schmidt, S.P. Chemiluminescence of Organic Compounds. Adv. Phys. Org. Chem. 1982, 18, 187–238. [Google Scholar] [CrossRef]
- Ciscato, L.F.M.L.; Bartoloni, F.H.; Bastos, E.L.; Baader, W.J. Direct Kinetic Observation of the Chemiexcitation Step in Peroxyoxalate Chemiluminescence. J. Org. Chem. 2009, 74, 8974–8979. [Google Scholar] [CrossRef]
- Silva, S.M.; Wagner, K.; Weiss, D.; Beckert, R.; Stevani, C.V.; Baader, W.J. Studies on the Chemiexcitation Step in Peroxyoxalate Chemiluminescence Using Steroid-Substituted Activators. Luminescence 2002, 17, 362–369. [Google Scholar] [CrossRef]
- Schaap, A.P.; Gagnon, S.D. Chemiluminescence from a Phenoxide-Substituted 1,2-Dioxetane: A Model for Firefly Bioluminescence. J. Am. Chem. Soc. 1982, 104, 3504–3506. [Google Scholar] [CrossRef]
- Adam, W.; Reinhardt, D.; Saha-Möller, C.R. From the Firefly Bioluminescence to the Dioxetane-Based (AMPPD) Chemiluminescence Immunoassay: A Retroanalysis. Analyst 1996, 121, 1527–1531. [Google Scholar] [CrossRef]
- Nery, A.L.P.; Röpke, S.; Catalani, L.H.; Baader, W.J. Fluoride-Triggered Decomposition of m-Sililoxyphenyl-Substituted Dioxetanes by an Intramolecular Electron Transfer (CIEEL) Mechanism. Tetrahedron Lett. 1999, 40, 2443–2446. [Google Scholar] [CrossRef]
- Nery, A.L.P.; Weiss, D.; Catalani, L.H.; Baader, W.J. Studies on the Intramolecular Electron Transfer Catalyzed Thermolysis of 1,2-Dioxetanes. Tetrahedron 2000, 56, 5317–5327. [Google Scholar] [CrossRef]
- Matsumoto, M. Advanced Chemistry of Dioxetane-Based Chemiluminescent Substrates Originating from Bioluminescence. J. Photochem. Photobiol. C Photochem. Rev. 2004, 5, 27–53. [Google Scholar] [CrossRef]
- Nery, A.L.P.; Baader, W.J. Quimiluminescência de Peróxidos Orgânicos: Geração de Estados Eletronicamente Excitados Na Decomposição de 1,2-Dioxetanos. Quim. Nova 2001, 24, 626–636. [Google Scholar] [CrossRef]
- Adam, W.; Trofimov, A.V. The Chemistry of Peroxides; Rappoport, Z., Ed.; Wiley: New York, NY, USA, 2006; Volume 2, pp. 1171–1209. [Google Scholar]
- Bastos, E.L.; Baader, W.J. Theoretical Studies on Thermal Stability of Alkyl-Substituted 1,2-Dioxetanes. Arkivoc 2007, 2007, 257–272. [Google Scholar] [CrossRef]
- Richardson, W.H.; O’Neal, H.E. The Unimolecular Decomposition and Isomerization of Oxygenated Organic Compounds (Other than Aldehydes and Ketones). Compr. Chem. Kinet. 1972, 5, 381–565. [Google Scholar] [CrossRef]
- Richardson, W.H.; Lovett, M.B.; Price, M.E.; Anderegg, J.H. Excited-State Energy Distribution Between Dissimilar Carbonyl Molecules Produced from 1, 2-Dioxetanes. J. Am. Chem. Soc. 1979, 101, 4683–4687. [Google Scholar] [CrossRef]
- Richardson, W.H.; Batinica, G.; Janota-Perret, K.; Miller, T.; Shen, D. Excited State Selectivity in the Thermolysis of a 3,4-Diaryl-3,4-Dimethyl-l,2-Dioxetane. J. Org. Chem. 1991, 56, 6140–6144. [Google Scholar] [CrossRef]
- McCapra, F. An Application of the Theory of Electrocyclic Reactions to Bioluminescence. Chem. Commun. 1968, 155–156. [Google Scholar] [CrossRef]
- Adam, W. Thermal Generation of Electronic Excitation with Hyperenergetic Molecules. Pure Appl. Chem. 1980, 52, 2591–2608. [Google Scholar] [CrossRef]
- Adam, W.; Baader, W.J. Effects of Methylation on the Thermal Stability and Chemiluminescence Properties of 1,2-Dioxetanes. J. Am. Chem. Soc. 1985, 107, 410–416. [Google Scholar] [CrossRef]
- de Vico, L.; Liu, Y.J.; Krogh, J.W.; Lindh, R. Chemiluminescence of 1,2-Dioxetane. Reaction Mechanism Uncovered. J. Phys. Chem. A 2007, 111, 8013–8019. [Google Scholar] [CrossRef] [PubMed]
- Farahani, P.; Roca-Sanjuán, D.; Zapata, F.; Lindh, R. Revisiting the Nonadiabatic Process in 1,2-Dioxetane. J. Chem. Theory Comput. 2013, 9, 5404–5411. [Google Scholar] [CrossRef]
- Fdez. Galván, I.; Brakestad, A.; Vacher, M. Role of Conical Intersection Seam Topography in the Chemiexcitation of 1,2-Dioxetanes. Phys. Chem. Chem. Phys. 2022, 24, 1638–1653. [Google Scholar] [CrossRef] [PubMed]
- Yue, L.; Liu, Y.-J. Conical Intersection in Chemiluminescence of Cyclic Peroxides. J. Phys. Chem. Lett. 2022, 13, 10671–10687. [Google Scholar] [CrossRef] [PubMed]
- Adam, W.; Blancafort, L. Reaction of α-Peroxy Lactones with C, N, P, and S Nucleophiles: Adduct Formation and Nucleophile Oxidation by Nucleophilic Attack at and Biphilic Insertion into the Peroxide Bond. J. Org. Chem. 1997, 62, 1623–1629. [Google Scholar] [CrossRef]
- Bartoloni, F.H.; de Oliveira, M.A.; Augusto, F.A.; Ciscato, L.F.M.L.; Bastos, E.L.; Baader, W.J. Synthesis of Unstable Cyclic Peroxides for Chemiluminescence Studies. J. Braz. Chem. Soc. 2012, 23, 2093–2103. [Google Scholar] [CrossRef]
- Farahani, P.; Oliveira, M.A.; Fdez GalvánGalv, I.; Bc, G.; Baader, W.J. A Combined Theoretical and Experimental Study on the Mechanism of Spiro-Adamantyl-1,2-Dioxetanone Decomposition. RSC Adv. 2017, 7, 17462–17472. [Google Scholar] [CrossRef]
- Steinmetzer, H.C.; Yekta, A.; Turro, N.J. Chemiluminescence of Tetramethyl-1,2-Dioxetane. Measurement of Activation Parameters and Rates of Exceedingly Slow Reactions by a Simple and “Nondestructive” Method. Demonstration of Indistinguishable Activation Energies for Generation of Acetone Singlets and Triplets. J. Am. Chem. Soc. 1974, 96, 282–284. [Google Scholar]
- Schmidt, S.P.; Schuster, G.B. Kinetics of Unimolecular Dioxetanone Chemiluminescence. Competitive Parallel Reaction Paths. J. Am. Chem. Soc. 1978, 100, 5559–5561. [Google Scholar] [CrossRef]
- Turro, N.J.; Chow, M.F. Chemiluminescent Thermolysis of α-Peroxylactones. J. Am. Chem. Soc. 1980, 102, 5058–5064. [Google Scholar] [CrossRef]
- Liu, F.; Liu, Y.; de Vico, L.; Lindh, R. Theoretical Study of the Chemiluminescent Decomposition of Dioxetanone. J. Am. Chem. Soc. 2009, 131, 6181–6188. [Google Scholar] [CrossRef] [PubMed]
- Farahani, P.; Baader, W.J. Unimolecular Decomposition Mechanism of 1,2-Dioxetanedione: Concerted or Biradical? That Is the Question! J. Phys. Chem. A. 2017, 121, 1189–1194. [Google Scholar] [CrossRef] [PubMed]
- Adam, W.; Simpson, G.A.; Yany, F. Mechanism of Direct and Rubrene Enhanced Chemiluminescence during α-Peroxylactone Decarboxylation. J. Phys. Chem. 1974, 78, 2559–2569. [Google Scholar] [CrossRef]
- Adam, W.; Cueto, O. Fluorescer-Enhanced Chemiluminescence of α-Peroxylactones via Electron Exchange. J. Am. Chem. Soc. 1979, 101, 6511–6515. [Google Scholar] [CrossRef]
- Schmidt, S.P.; Schuster, G.B. Chemiluminescence of Dimethyldioxetanone. Unimolecular Generation of Excited Singlet and Triplet Acetone. Chemically Initiated Electron-Exchange Luminescence, the Primary Light Generating Reaction. J. Am. Chem. Soc. 1980, 102, 306–314. [Google Scholar] [CrossRef]
- Koo, J.A.; Schmidt, S.P.; Schuster, G.B. Bioluminescence of the Firefly: Key Steps in the Formation of the Electronically Excited State for Model Systems. Proc. Natl. Acad. Sci. USA 1978, 75, 30–33. [Google Scholar] [CrossRef]
- Almeida De Oliveira, M.; Bartoloni, F.H.; Augusto, F.A.; Ciscato, L.F.M.L.; Bastos, E.L.; Baader, W.J. Revision of Singlet Quantum Yields in the Catalyzed Decomposition of Cyclic Peroxides. J. Org. Chem. 2012, 77, 10537–10544. [Google Scholar] [CrossRef]
- Bartoloni, F.H.; De Oliveira, M.A.; Ciscato, L.F.M.L.; Augusto, F.A.; Bastos, E.L.; Baader, W.J. Chemiluminescence Efficiency of Catalyzed 1,2-Dioxetanone Decomposition Determined by Steric Effects. J. Org. Chem. 2015, 80, 3745–3751. [Google Scholar] [CrossRef]
- Augusto, F.A.; Francés-Monerris, A.; Fdez Galván, I.; Roca-Sanjuán, D.; Bastos, E.L.; Baader, W.J.; Lindh, R. Mechanism of Activated Chemiluminescence of Cyclic Peroxides: 1,2-Dioxetanes and 1,2-Dioxetanones. Phys. Chem. Chem. Phys. 2017, 19, 3955–3962. [Google Scholar] [CrossRef]
- Khalid, M.; de Souza, S.P.; Bartoloni, F.H.; Augusto, F.A.; Baader, W.J. Chemiexcitation Efficiency of Intermolecular Electron-Transfer Catalyzed Peroxide Decomposition Shows Low Sensitivity to Solvent-Cavity Effects. Photochem. Photobiol. 2016, 92, 537–545. [Google Scholar] [CrossRef] [PubMed]
- Khalid, M.; Oliveira, M.A.; Souza, S.P.; Ciscato, L.F.M.L.; Bartoloni, F.H.; Baader, W.J. Efficiency of Intermolecular Chemiluminescence Systems Lacks Significant Solvent Cavity Effect in Binary Toluene/Diphenylmethane Mixtures. J. Photochem. Photobiol. A Chem. 2015, 312, 81–87. [Google Scholar] [CrossRef]
- Khalid, M.; Souza, S.P.; Ciscato, L.F.M.L.; Bartoloni, F.H.; Baader, W.J. Solvent Viscosity Influence on the Chemiexcitation Efficiency of Inter and Intramolecular Chemiluminescence Systems. Photochem. Photobiol. Sci. 2015, 14, 1296–1305. [Google Scholar] [CrossRef] [PubMed]
- Souza, S.P.; Khalid, M.; Augusto, F.A.; Baader, W.J. Peroxyoxalate Chemiluminescence Efficiency in Polar Medium Is Moderately Enhanced by Solvent Viscosity. J. Photochem. Photobiol. A Chem. 2016, 321, 143–150. [Google Scholar] [CrossRef]
- Khalid, M.; Souza, S.P.; Cabello, M.C.; Bartoloni, F.H.; Ciscato, L.F.M.L.; Bastos, E.L.; Seoud, O.A.A.E.; Baader, W.J. Solvent Polarity Influence on Chemiexcitation Efficiency of Inter and Intramolecular Electron-Transfer Catalyzed Chemiluminescence. J. Photochem. Photobiol. A Chem. 2022, 433, 114161. [Google Scholar] [CrossRef]
- Catherallt, C.L.R.; Palmer, T.F. Determination of Absolute Chemiluminescence Quantum Yields for Reactions of Bis-(Pentachlorophenyl) Oxalate, Hydrogen Peroxide and Fluorescent Compounds. J. Biolumin. Chemilumin. 1989, 3, 147–154. [Google Scholar] [CrossRef]
- Isobe, H.; Takano, Y.; Okumura, M.; Kuramitsu, S.; Yamaguchi, K. Mechanistic Insights in Charge-Transfer-Induced Luminescence of 1,2-Dioxetanones with a Substituent of Low Oxidation Potential. J. Am. Chem. Soc. 2005, 127, 8667–8679. [Google Scholar] [CrossRef]
- Yue, L.; Liu, Y.-J. Three S0/S1 Conical Intersections Control Electron-Transfer-Catalyzed Chemiluminescence of 1,2-Dioxetanedione. J. Chem. Theory Comput. 2021, 17, 3483–3494. [Google Scholar] [CrossRef]
- Schaap, A.P.; Chen, T.; Handley, R.S.; DeSilva, R.; Giri, B.P. Chemical and Enzymatic Triggering of 1,2-Dioxetanes. 2: Fluoride-Induced Chemiluminescence from Tert-Butyldimethylsilyloxy-Substituted Dioxetanes. Tetrahedron Lett. 1987, 28, 1155–1158. [Google Scholar] [CrossRef]
- Schaap, A.P.; Handley, R.S.; Giri, B.P. Chemical and Enzymatic Triggering of 1,2-Dioxetanes. 1: Aryl Esterase-Catalyzed Chemiluminescence from a Naphthyl Acetate-Substituted Dioxetane. Tetrahedron Lett. 1987, 28, 935–938. [Google Scholar] [CrossRef]
- Lim, T.; Komoda, Y.; Nakamura, N.; Matsunaga, T. Automated Detection of Anti-Double-Stranded DNA Antibody in Systemic Lupus Erythematosus Serum by Flow Immunoassay. Anal. Chem. 1999, 71, 1298–1302. [Google Scholar] [CrossRef] [PubMed]
- Beck, S. Nonradioactive Detection of DNA Using Dioxetane Chemiluminescence. Meth. Enzymol. 1992, 216, 143–153. [Google Scholar] [CrossRef]
- Beck, S.; Köster, H. Applications of Dioxetane Chemiluminescent Probes to Molecular Biology. Anal. Chem. 1990, 62, 2258–2270. [Google Scholar] [CrossRef] [PubMed]
- Bronstein, I.; Voyta, J.C.; Murphy, O.J.; Bresnick, L.; Kricka, L.J. Improved Chemiluminescent Western Blotting Procedure. Biotechniques 1992, 12, 748–753. [Google Scholar]
- Baader, J.W.; Bastos, E.L. Product Subclass 2: Four-Membered Cyclic Peroxides (1,2-Dioxetanes and 1,2-Dioxetanones). In inSci-ence of Synthesis: Houben-Weyl Methods of MolecularTransformations; Berkessel, A., Ed.; Georg Thieme Verlag KG: Stuttgart, Germany, 2008; pp. 323–328. [Google Scholar]
- Bastos, E.L.; Leite Ciscato, L.F.M.; Weiss, D.; Beckert, R.; Baader, W.J. Comparison of Convenient Alternative Synthetic Approaches to 4-[(3-Tert-Butyldimethylsilyloxy)Phenyl]-4-Methoxyspiro [1,2-Dioxetane-3, 2′-Adamantane]. Synthesis 2006, 2006, 1781–1786. [Google Scholar] [CrossRef]
- Matsumoto, M.; Suganuma, H.; Katao, Y.; Mutoh, H. Thermal Stability and Chemiluminescence of 3-Alkoxy-3-Aryl-4,4- Diisopropyl-l,2-Dioxetanes. J. Chem. Soc. Chem. Commun. 1995, 431–432. [Google Scholar] [CrossRef]
- Matsumoto, M.; Watanabe, N.; Kobayashi, H.; Azami, M.; Ikawa, H. Synthesis and Chemiluminescence of 3,3-Diisopropyl-4-Methoxy-4-(2-Naphthyl)-1,2-Dioxetanes. Tetrahedron Lett. 1997, 38, 411–414. [Google Scholar] [CrossRef]
- Ciscato, L.F.M.L.; Weiss, D.; Beckert, R.; Baader, W.J. Fenchyl Substituted 1,2-Dioxetanes as an Alternative to Adamantyl Derivatives for Bioanalytical Applications. J. Photochem. Photobiol. A Chem. 2011, 218, 41–47. [Google Scholar] [CrossRef]
- Watanabe, N.; Kikuchi, M.; Maniwa, Y.; Ijuin, H.K.; Matsumoto, M. Synthesis of Sulfanyl-, Sulfinyl-, and Sulfonyl-Substituted Bicyclic Dioxetanes and Their Base-Induced Chemiluminescence. J. Org. Chem. 2010, 75, 879–884. [Google Scholar] [CrossRef]
- Matsumoto, M.; Suzuki, H.; Sano, Y.; Watanabe, N.; Ijuin, H.K. Rotamer-Dependent Chemiluminescence in the Intramolecular Charge-Transfer-Induced Decomposition of Bicyclic Dioxetanes Bearing a Hydroxyaryl Group. Tetrahedron Lett. 2008, 49, 5372–5375. [Google Scholar] [CrossRef]
- Watanabe, N.; Sano, Y.; Suzuki, H.; Tanimura, M.; Ijuin, H.K.; Matsumoto, M. Synthesis of Thermally Stable Acylamino-Substituted Bicyclic Dioxetanes and Their Base-Induced Chemiluminescent Decomposition. J. Org. Chem. 2010, 75, 5920–5926. [Google Scholar] [CrossRef] [PubMed]
- Matsumoto, M.; Suzuki, H.; Watanabe, N.; Ijuin, H.K.; Tanaka, J.; Tanaka, C. Crucial Dependence of Chemiluminescence Efficiency on the Syn/Anti Conformation for Intramolecular Charge-Transfer-Induced Decomposition of Bicyclic Dioxetanes Bearing an Oxidoaryl Group. J. Org. Chem. 2011, 76, 5006–5017. [Google Scholar] [CrossRef] [PubMed]
- Haris, U.; Kagalwala, H.N.; Kim, Y.L.; Lippert, A.R. Seeking Illumination: The Path to Chemiluminescent 1,2-Dioxetanes for Quantitative Measurements and in Vivo Imaging. Acc. Chem. Res. 2021, 54, 2844–2857. [Google Scholar] [CrossRef] [PubMed]
- Kagalwala, H.N.; Reeves, R.T.; Lippert, A.R. Chemiluminescent Spiroadamantane-1,2-Dioxetanes: Recent Advances in Molecular Imaging and Biomarker Detection. Curr. Opin. Chem. Biol. 2022, 68, 102134. [Google Scholar] [CrossRef]
- Ciscato, L.F.M.L.; Bartoloni, F.H.; Weiss, D.; Beckert, R.; Baader, W.J. Experimental Evidence of the Occurrence of Intramolecular Electron Transfer in Catalyzed 1,2-Dioxetane Decomposition. J. Org. Chem. 2010, 75, 6574–6580. [Google Scholar] [CrossRef]
- Ciscato, L.F.M.L.; Weiss, D.; Beckert, R.; Bastos, E.L.; Bartoloni, F.H.; Baader, W.J. Chemiluminescence-Based Uphill Energy Conversion. New J. Chem. 2011, 35, 773. [Google Scholar] [CrossRef]
- Takano, Y.; Tsunesada, T.; Isobe, H.; Yoshioka, Y.; Yamaguchi, K.; Saito, I. Theoretical Studies of Decomposition Reactions of Dioxetane, Dioxetanone, and Related Species. CT Induced Luminescence Mechanism Revisited. Bull. Chem. Soc. Jpn. 1999, 72, 213–225. [Google Scholar] [CrossRef]
- Adam, W.; Bronstein, I.; Trofimov, A.V.; Vasil’ev, R.F. Solvent-Cage Effect (Viscosity Dependence) as a Diagnostic Probe for the Mechanism of the Intramolecular Chemically Initiated Electron-Exchange Luminescence (CIEEL) Triggered from a Spiroadamantyl-Substituted Dioxetane. J. Am. Chem. Soc. 1999, 121, 958–961. [Google Scholar] [CrossRef]
- Adam, W.; Matsumoto, M.; Trofimov, A.V. Viscosity Dependence of the Chemically Induced Electron-Exchange Chemiluminescence Triggered from a Bicyclic Dioxetane. J. Am. Chem. Soc. 2000, 122, 8631–8634. [Google Scholar] [CrossRef]
- Adam, W.; Trofimov, A.V. The Effect of Meta versus Para Substitution on the Efficiency of Chemiexcitation in the Chemically Triggered Electron-Transfer-Initiated Decomposition of Spiroadamantyl Dioxetanes. J. Org. Chem. 2000, 65, 6474–6478. [Google Scholar] [CrossRef]
- Bastos, E.L.; da Silva, S.M.; Baader, W.J. Solvent Cage Effects: Basis of a General Mechanism for Efficient Chemiluminescence. J. Org. Chem. 2013, 78, 4432–4439. [Google Scholar] [CrossRef] [PubMed]
- Edwards, B.; Sparks, A.; Voyta, J.C.; Bronstein, I. Unusual Luminescent Properties of Odd- and Even-Substituted Naphthyl-Derivatized Dioxetanes. J. Biolumin. Chemilumin. 1990, 5, 1–4. [Google Scholar] [CrossRef]
- Kagalwala, H.N.; Lippert, A.R. Energy Transfer Chemiluminescent Spiroadamantane 1,2-Dioxetane Probes for Bioanalyte Detection and Imaging. Angew. Chem. Int. Ed. 2022, 61, 1–11. [Google Scholar] [CrossRef] [PubMed]
- David, M.; Jaber, Q.; Fridman, M.; Shabat, D. Dual Chemiexcitation by a Unique Dioxetane Scaffold Gated by an OR Logic Set of Triggers. Chem. Eur. J. 2023, 1–8. [Google Scholar] [CrossRef] [PubMed]
- Wei, X.; Huang, J.; Zhang, C.; Xu, C.; Pu, K.; Zhang, Y. Highly Bright Near-Infrared Chemiluminescent Probes for Cancer Imaging and Laparotomy. Angew. Chem. Int. Ed. 2023, 62, e202213791. [Google Scholar] [CrossRef]
- Albrecht, H.O. Über Die Chemiluminescenz des Aminophthalsäurehydrazids. Phys. Chem. 1928, 136, 321–330. [Google Scholar] [CrossRef]
- Huang, Y.; Yue, N.; Li, Y.; Han, L.; Fan, A. One-Step Synthesis of Cationic Gold Nanoclusters with High Catalytic Activity on Luminol Chemiluminescence Reaction. Luminescence 2021, 36, 85–93. [Google Scholar] [CrossRef]
- Li, H.; Wang, J.; Du, J. A Novel Luminol Chemiluminescence System Induced by Black Phosphorus Quantum Dots for Cobalt (II) Detection. Talanta 2021, 223, 121712. [Google Scholar] [CrossRef]
- Chen, F.; Zhang, Y.; Li, T.; Peng, D.; Qi, Z.; Song, J.; Deng, T.; Liu, F. Discovering Ester and Ether Derivatives of Luminol as Advanced Chemiluminescence Probes. Chin. J. Chem. 2023, 34, 107496. [Google Scholar] [CrossRef]
- Khan, P.; Idrees, D.; Moxley, M.A.; Corbett, J.A.; Ahmad, F.; von Figura, G.; Sly, W.S.; Waheed, A.; Hassan, M.I. Luminol-Based Chemiluminescent Signals: Clinical and Non-Clinical Application and Future Uses. Appl. Biochem. Biotechnol. 2014, 173, 333–355. [Google Scholar] [CrossRef]
- Radziszewski, B.R. Untersuchungen Über Hydrobenzamid, Amarin Und Lophin. Ber. Der Dtsch. Chem. Ges. 1877, 10, 70–75. [Google Scholar] [CrossRef]
- Pavlova, E.; Kaloyanova, S.; Deligeorgiev, T.; Lesev, N. Synthesis and Physicochemical Properties of Novel Lophine Derivatives as Chemiluminescent in Vitro Activators for Detection of Free Radicals. Eur. Biophys. J. 2015, 44, 623–634. [Google Scholar] [CrossRef] [PubMed]
- Lopes, J.P.B.; Câmara, V.S.; Russowsky, D.; da Silveira Santos, F.; Beal, R.; Nogara, P.A.; da Rocha, J.B.T.; Gonçalves, P.F.B.; Rodembusch, F.S.; Ceschi, M.A. Lophine and Pyrimidine Based Photoactive Molecular Hybrids. Synthesis, Photophysics, BSA Interaction and DFT Study. New J. Chem. 2018, 42, 17126–17137. [Google Scholar] [CrossRef]
- Melo, U.; Boaro, A.; Reis, R.A.; Silva, C.S.; Pinto, C.; Bartoloni, F.H. Evidence for the Formation of 1,2-Dioxetane as a High-Energy Intermediate and Possible Chemiexcitation Pathways in the Chemiluminescence of Lophine Peroxides. J. Org. Chem. 2021, 89, 6633–6647. [Google Scholar] [CrossRef]
- Montano, L.A.; Ingle, J.D. Investigation of the Lucigenin Chemiluminescence Reaction. Anal. Chem. 1979, 51, 919. [Google Scholar] [CrossRef]
- Abdussalam, A.; Chen, Y.; Yuan, F.; Ma, X.; Lou, B.; Xu, G. Dithiothreitol–Lucigenin Chemiluminescent System for Ultrasensitive Dithiothreitol and Superoxide Dismutase Detection. Anal. Chem. 2022, 94, 11023–11029. [Google Scholar] [CrossRef]
- Shim, S.; Jeong, D.U.; Kim, H.; Kim, C.Y.; Park, H.; Jin, Y.; Kim, K.M.; Lee, H.J.; Kim, D.H.; Bae, Y.S.; et al. Discovery of a NADPH Oxidase Inhibitor, (E)-3-Cyclohexyl-5-(4-((2-Hydroxyethyl)(Methyl)Amino)Benzylidene)-1-Methyl-2-Thioxoimidazolidin-4-Oneone, as a Novel Therapeutic for Parkinson’s Disease. Eur. J. Med. Chem. 2022, 244, 114854. [Google Scholar] [CrossRef]
- Chi, Q.; Chen, W.; He, Z. Mechanism of Alcohol-Enhanced Lucigenin Chemiluminescence in Alkaline Solution. Luminescence 2015, 30, 990–995. [Google Scholar] [CrossRef]
- Smith, K.; Ahmed, Z.; Woodhead, J.S.; El-Hiti, G.A. Syntheses of Hindered-Polymethylacridinium Esters with Potential for Biological Probe Nanoarchitectonics. J. Oleo Sci. 2023, 72, 447–460. [Google Scholar] [CrossRef]
- Smith, K.; Mu, X.; Li, Z.; Holland, A.M.; Woodhead, J.S.; El-Hiti, G.A. Synthesis, Structure Elucidation, and Chemiluminescent Activity of New 9-substituted 10-(Ω-(Succinimidyloxycarbonyl)Alkyl)Acridinium Esters. Luminescence 2023, 1–10. [Google Scholar] [CrossRef]
- Ievtukhov, V.; Zadykowicz, B.; Blazheyevskiy, M.Y.; Krzymiński, K. New Luminometric Method for Quantification of Biological Sulfur Nucleophiles with the Participation of 9-cyano-10-methylacridinium Salt. Luminescence 2022, 37, 208–219. [Google Scholar] [CrossRef] [PubMed]
- Roda, A.; Mirasoli, M.; Michelini, E.; Di Fusco, M.; Zangheri, M.; Cevenini, L.; Roda, B.; Simoni, P. Progress in Chemical Luminescence-Based Biosensors: A Critical Review. Biosens. Bioelectron. 2016, 76, 164–179. [Google Scholar] [CrossRef] [PubMed]
- Zhang, C.; Jin, J.; Liu, K.; Ma, X.; Zhang, X. Carbon Dots-Peroxyoxalate Micelle as a Highly Luminous Chemiluminescence System under Physiological Conditions. Chin. Chem. Lett. 2021, 32, 3931–3935. [Google Scholar] [CrossRef]
- Yahya Kazemi, S.; Mohammad Abedirad, S. A New Peroxyoxalate Chemiluminescence of Bis (2, 4-Dinitrophenyl) Oxalate (DNPO) Using Pyronin Y as the Fluorophore and Its Application to the Flow-Based Determination of Cysteamine. Spectrochim. Acta A Mol. Biomol. Spectrosc. 2023, 292, 122367. [Google Scholar] [CrossRef] [PubMed]
- Ding, Y.; Liu, W.; Wu, J.; Zheng, X.; Ge, J.; Ren, H.; Zhang, W.; Lee, C.S.; Wang, P. Ultrasound-Enhanced Self-Exciting Photodynamic Therapy Based on Hypocrellin B. Chem. Asian J. 2021, 16, 1221–1224. [Google Scholar] [CrossRef]
- Yang, Y.; Zhang, F. Activatable Chemiluminescent Molecular Probes for Bioimaging and Biosensing. Anal. Sens. 2021, 1, 75–89. [Google Scholar] [CrossRef]
- Yang, Y.; Wang, S.; Lu, L.; Zhang, Q.; Yu, P.; Fan, Y.; Zhang, F. NIR-II Chemiluminescence Molecular Sensor for In Vivo High-Contrast Inflammation Imaging. Angew. Chem. Int. Ed. 2020, 59, 18380–18385. [Google Scholar] [CrossRef]
- Digby, E.M.; Tung, M.T.; Kagalwala, H.N.; Ryan, L.S.; Lippert, A.R.; Beharry, A.A. Dark Dynamic Therapy: Photosensitization without Light Excitation Using Chemiluminescence Resonance Energy Transfer in a Dioxetane–Erythrosin B Conjugate. ACS Chem. Biol. 2022, 17, 1082–1091. [Google Scholar] [CrossRef]
- Ryan, L.S.; Gerberich, J.; Haris, U.; Nguyen, D.; Mason, R.P.; Lippert, A.R. Ratiometric PH Imaging Using a 1,2-Dioxetane Chemiluminescence Resonance Energy Transfer Sensor in Live Animals. ACS Sens. 2020, 5, 2925–2932. [Google Scholar] [CrossRef]
- Hananya, N.; Press, O.; Das, A.; Scomparin, A.; Satchi-Fainaro, R.; Sagi, I.; Shabat, D. Persistent Chemiluminescent Glow of Phenoxy-dioxetane Luminophore Enables Unique CRET-Based Detection of Proteases. Chem. Eur. J. 2019, 25, 14679–14687. [Google Scholar] [CrossRef]
- Park, S.Y.; Kim, M.W.; Kang, J.-H.; Jung, H.J.; Hwang, J.H.; Yang, S.J.; Woo, J.K.; Jeon, Y.; Lee, H.; Yoon, Y.S.; et al. Novel NF-ΚB Reporter Mouse for the Non-Invasive Monitoring of Inflammatory Diseases. Sci. Rep. 2023, 13, 3556. [Google Scholar] [CrossRef] [PubMed]
- Yan, H.; Forward, S.; Kim, K.-H.; Wu, Y.; Hui, J.; Kashiparekh, A.; Yun, S.-H. All-Natural-Molecule, Bioluminescent Photodynamic Therapy Results in Complete Tumor Regression and Prevents Metastasis. Biomaterials 2023, 296, 122079. [Google Scholar] [CrossRef] [PubMed]
- Jiang, Y.; Shi, X.; Tang, C.; Wang, F. Beyond Luciferase-Luciferin System: Modification, Improved Imaging and Biomedical Application. Coord. Chem. Rev. 2023, 481, 215045. [Google Scholar] [CrossRef]
- Yuan, M.; Fang, X.; Liu, J.; Yang, K.; Xiao, S.; Yang, S.; Du, W.; Song, J. NIR-II Self-Luminous Molecular Probe for In Vivo Inflammation Tracking and Cancer PDT Effect Self-Evaluating. Small 2023, 19, 2206666. [Google Scholar] [CrossRef]
- Nishihara, R.; Paulmurugan, R.; Nakajima, T.; Yamamoto, E.; Natarajan, A.; Afjei, R.; Hiruta, Y.; Iwasawa, N.; Nishiyama, S.; Citterio, D.; et al. Highly Bright and Stable NIR-BRET with Blue-Shifted Coelenterazine Derivatives for Deep-Tissue Imaging of Molecular Events in Vivo. Theranostics 2019, 9, 2646–2661. [Google Scholar] [CrossRef]
- Kim, S.-B.; Furuta, T.; Ohmuro-Matsuyama, Y.; Kitada, N.; Nishihara, R.; Maki, S.A. Bioluminescent Imaging Systems Boosting Near-Infrared Signals in Mammalian Cells. Photochem. Photobiol. Sci. 2023. [CrossRef] [PubMed]
- Kamiya, G.; Kitada, N.; Furuta, T.; Hirano, T.; Maki, S.A.; Kim, S.-B. S-Series Coelenterazine-Driven Combinatorial Bioluminescence Imaging Systems for Mammalian Cells. Int. J. Mol. Sci. 2023, 24, 1420. [Google Scholar] [CrossRef] [PubMed]
- Gomollón-Bel, F. IUPAC Top Ten Emerging Technologies in Chemistry 2021. Chem. Int. 2021, 43, 13–20. [Google Scholar] [CrossRef]
- Cao, J.; Lopez, R.; Thacker, J.M.; Moon, J.Y.; Jiang, C.; Morris, S.N.S.; Bauer, J.H.; Tao, P.; Mason, R.P.; Lippert, A.R. Chemiluminescent Probes for Imaging H2S in Living Animals. Chem. Sci. 2015, 6, 1979–1985. [Google Scholar] [CrossRef]
- Cao, J.; Campbell, J.; Liu, L.; Mason, R.P.; Lippert, A.R. In Vivo Chemiluminescent Imaging Agents for Nitroreductase and Tissue Oxygenation. Anal. Chem. 2016, 88, 4995–5002. [Google Scholar] [CrossRef]
- Green, O.; Eilon, T.; Hananya, N.; Gutkin, S.; Bauer, C.R.; Shabat, D. Opening a Gateway for Chemiluminescence Cell Imaging: Distinctive Methodology for Design of Bright Chemiluminescent Dioxetane Probes. ACS Cent. Sci. 2017, 3, 349–358. [Google Scholar] [CrossRef] [PubMed]
- Roth-Konforti, M.E.; Bauer, C.R.; Shabat, D. Unprecedented Sensitivity in a Probe for Monitoring Cathepsin B: Chemiluminescence Microscopy Cell-Imaging of a Natively Expressed Enzyme. Angew. Chem. Int. Ed. 2017, 56, 15633–15638. [Google Scholar] [CrossRef] [PubMed]
- Shelef, O.; Sedgwick, A.C.; Pozzi, S.; Green, O.; Satchi-Fainaro, R.; Shabat, D.; Sessler, J.L. Turn on Chemiluminescence-Based Probes for Monitoring Tyrosinase Activity in Conjunction with Biological Thiols. Chem. Commun. 2021, 57, 11386–11389. [Google Scholar] [CrossRef] [PubMed]
- Bruemmer, K.J.; Green, O.; Su, T.A.; Shabat, D.; Chang, C.J. Chemiluminescent Probes for Activity-Based Sensing of Formaldehyde Released from Folate Degradation in Living Mice Kevin. Angew. Chem. Int. Ed. 2018, 57, 7508–7512. [Google Scholar] [CrossRef]
- Ye, S.; Yang, B.; Wu, M.; Chen, Z.; Shen, J.; Shabat, D.; Yang, D. Recurring Real-Time Monitoring of Inflammations in Living Mice with a Chemiluminescent Probe for Hypochlorous Acid. CCS Chem. 2022, 4, 1871–1878. [Google Scholar] [CrossRef]
- Hananya, N.; Eldar Boock, A.; Bauer, C.R.; Satchi-Fainaro, R.; Shabat, D. Remarkable Enhancement of Chemiluminescent Signal by Dioxetane-Fluorophore Conjugates: Turn-ON Chemiluminescence Probes with Color Modulation for Sensing and Imaging. J. Am. Chem. Soc. 2016, 138, 13438–13446. [Google Scholar] [CrossRef]
- Kagalwala, H.N.; Gerberich, J.; Smith, C.J.; Mason, R.P.; Lippert, A.R. Chemiluminescent 1,2-Dioxetane Iridium Complexes for Near-Infrared Oxygen Sensing. Angew. Chem. Int. Ed. 2022, 61, e202115704. [Google Scholar] [CrossRef]
- Reeves, A.G.; Subbarao, M.; Lippert, A.R. Imaging Acetaldehyde Formation during Ethanol Metabolism in Living Cells Using a Hydrazinyl Naphthalimide Fluorescent Probe. Anal. Methods 2017, 9, 3418–3421. [Google Scholar] [CrossRef]
- Cao, J.; An, W.; Reeves, A.G.; Lippert, A.R. A Chemiluminescent Probe for Cellular Peroxynitrite Using a Self-Immolative Oxidative Decarbonylation Reaction. Chem. Sci. 2018, 9, 2552–2558. [Google Scholar] [CrossRef]
- An, W.; Ryan, L.S.; Reeves, A.G.; Bruemmer, K.J.; Mouhaffel, L.; Gerberich, J.L.; Winters, A.; Mason, R.P.; Lippert, A.R. A Chemiluminescent Probe for HNO Quantification and Real-Time Monitoring in Living Cells. Angew. Chem. Int. Ed. 2019, 58, 1361–1365. [Google Scholar] [CrossRef]
- Ryan, L.S.; Gerberich, J.; Cao, J.; An, W.; Jenkins, B.A.; Mason, R.P.; Lippert, A.R. Kinetics-Based Measurement of Hypoxia in Living Cells and Animals Using an Acetoxymethyl Ester Chemiluminescent Probe. ACS Sens. 2019, 4, 1391–1398. [Google Scholar] [CrossRef] [PubMed]
- Quimbar, M.E.; Davis, S.Q.; Al-Farra, S.T.; Hayes, A.; Jovic, V.; Masuda, M.; Lippert, A.R. Chemiluminescent Measurement of Hydrogen Peroxide in the Exhaled Breath Condensate of Healthy and Asthmatic Adults. Anal. Chem. 2020, 92, 14594–14600. [Google Scholar] [CrossRef] [PubMed]
- Calabria, D.; Guardigli, M.; Mirasoli, M.; Punzo, A.; Porru, E.; Zangheri, M.; Simoni, P.; Pagnotta, E.; Ugolini, L.; Lazzeri, L.; et al. Selective Chemiluminescent TURN-ON Quantitative Bioassay and Imaging of Intracellular Hydrogen Peroxide in Human Living Cells. Anal. Biochem. 2020, 600, 113760. [Google Scholar] [CrossRef] [PubMed]















| Disclaimer/Publisher’s Note: The statements, opinions and data contained in all publications are solely those of the individual author(s) and contributor(s) and not of MDPI and/or the editor(s). MDPI and/or the editor(s) disclaim responsibility for any injury to people or property resulting from any ideas, methods, instructions or products referred to in the content. | 
© 2023 by the authors. Licensee MDPI, Basel, Switzerland. This article is an open access article distributed under the terms and conditions of the Creative Commons Attribution (CC BY) license (https://creativecommons.org/licenses/by/4.0/).
Share and Cite
Cabello, M.C.; Bartoloni, F.H.; Bastos, E.L.; Baader, W.J. The Molecular Basis of Organic Chemiluminescence. Biosensors 2023, 13, 452. https://doi.org/10.3390/bios13040452
Cabello MC, Bartoloni FH, Bastos EL, Baader WJ. The Molecular Basis of Organic Chemiluminescence. Biosensors. 2023; 13(4):452. https://doi.org/10.3390/bios13040452
Chicago/Turabian StyleCabello, Maidileyvis C., Fernando H. Bartoloni, Erick L. Bastos, and Wilhelm J. Baader. 2023. "The Molecular Basis of Organic Chemiluminescence" Biosensors 13, no. 4: 452. https://doi.org/10.3390/bios13040452
APA StyleCabello, M. C., Bartoloni, F. H., Bastos, E. L., & Baader, W. J. (2023). The Molecular Basis of Organic Chemiluminescence. Biosensors, 13(4), 452. https://doi.org/10.3390/bios13040452
 
        



 
                        