Surface Plasmon Resonance-Based Gold-Coated Hollow-Core Negative Curvature Optical Fiber Sensor
Abstract
1. Introduction
2. Materials and Methods
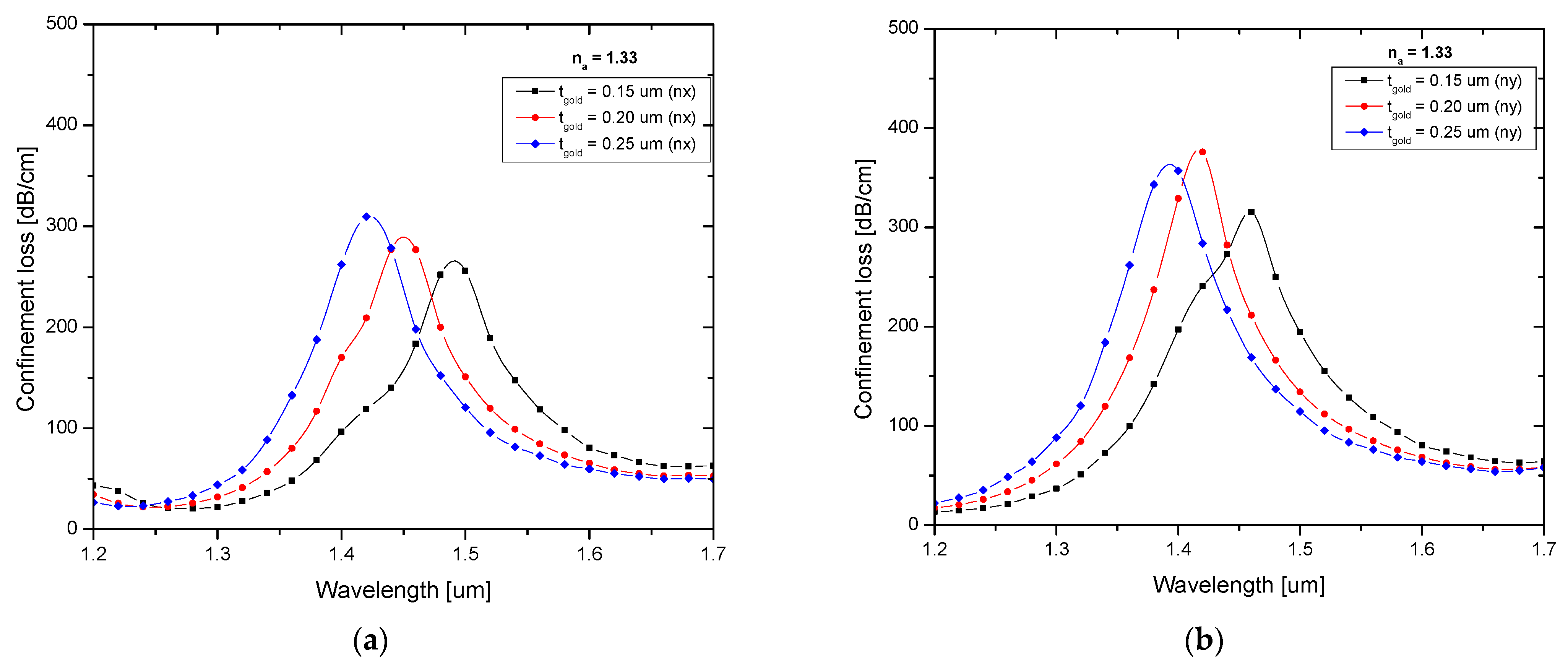
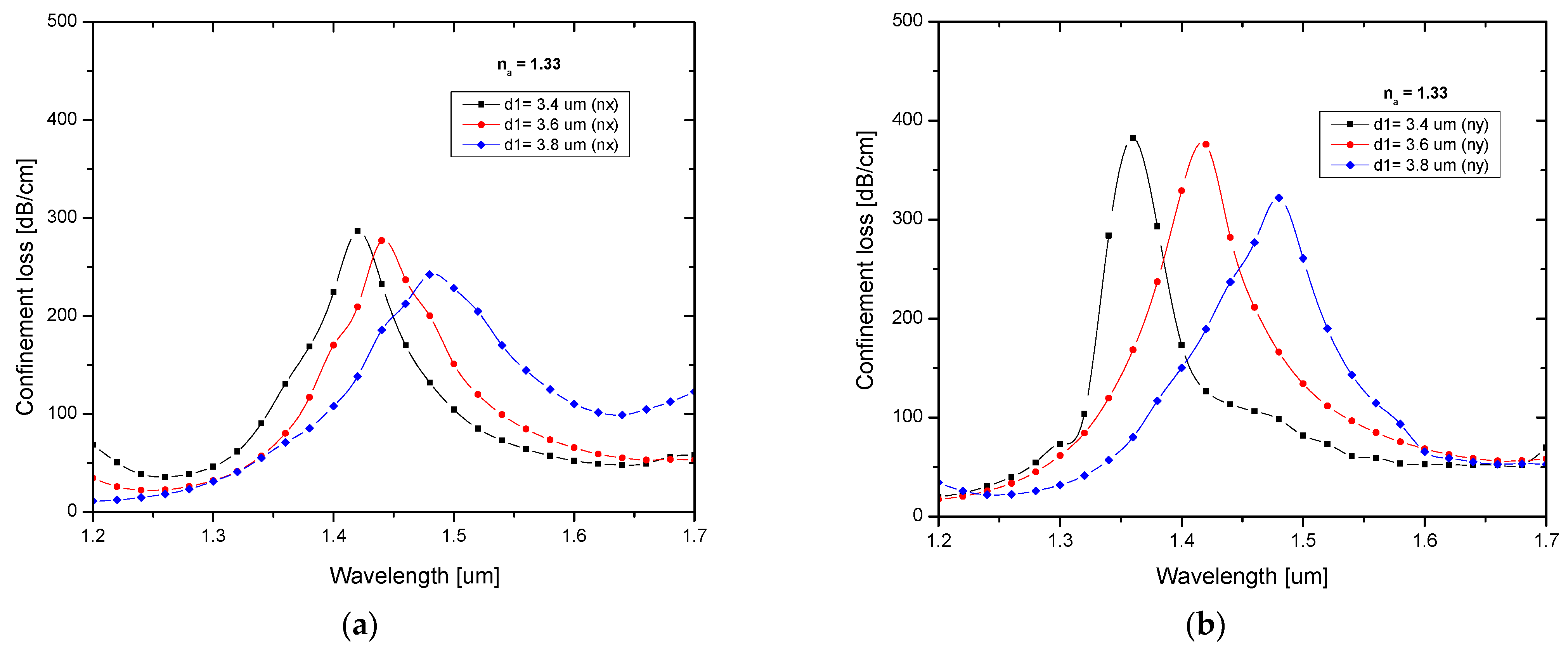
3. Results
4. Conclusions
Author Contributions
Funding
Institutional Review Board Statement
Informed Consent Statement
Data Availability Statement
Acknowledgments
Conflicts of Interest
References
- Luo, W.; Liu, B.; Liu, J.; Wu, T.; Liu, Q.; Wang, M.Y.; Wu, Q. Tapered side-polished micro fibre sensor for high sensitivity hCG detection. IEEE Sens. J. 2022, 22, 7727–7733. [Google Scholar] [CrossRef]
- Mohammed, H.A.; Rashid, S.A.; Abu Bakar, M.H.; Ahmad Anas, S.B.; Mahdi, M.A.; Yaacob, M.H. Fabrication and characterizations of a novel etched-tapered single mode optical fiber ammonia sensors integrating PANI/GNF nanocomposite. Sens. Actuators B Chem. 2019, 287, 71–77. [Google Scholar] [CrossRef]
- Huong, V.T.; Phuong, N.T.T.; Tai, N.T.; An, N.T.; Lam, V.D.; Manh, D.H.; Tran, N.H.T. Gold nanoparticles modified a multimode clad-free fiber for ultrasensitive detection of bovine serum albumin. J. Nanomater. 2021, 2021, 5530709. [Google Scholar] [CrossRef]
- Kim, D.M.; Park, J.S.; Jung, S.W.; Yeom, J.; Yoo, S.M. Biosensing applications using nanostructure-based localized surface plasmon resonance sensors. Sensors 2021, 21, 3191. [Google Scholar] [CrossRef] [PubMed]
- Elsherif, M.; Salih, A.E.; Muñoz, M.G.; Alam, F.; AlQattan, B.; Antonysamy, D.S.; Butt, H. Optical fiber sensors: Working principle, applications, and limitations. Adv. Photonics Res. 2022, 3, 2100371. [Google Scholar] [CrossRef]
- Yang, F.; Chang, T.L.; Liu, T.; Wu, D.; Du, H.; Liang, J.; Tian, F. Label-free detection of Staphylococcus aureus bacteria using long-period fiber gratings with functional polyelectrolyte coatings. Biosens. Bioelectron. 2019, 133, 147–153. [Google Scholar] [CrossRef]
- Ivanov, O.V.; Yang, F.; Tian, F.; Du, H. Thin-core fiber structures with overlays for sensing applications. Opt. Express 2017, 25, 31197. [Google Scholar] [CrossRef]
- Islam, M.R.; Iftekher, A.N.M.; Hasan, K.R.; Nayen, M.J.; Islam, S.B. Dual-polarized highly sensitive surface-plasmon-resonance-based chemical and biomolecular sensor. Appl. Opt. 2020, 59, 3296–3305. [Google Scholar] [CrossRef]
- Islam, M.R.; Khan, M.M.I.; Al Rafid, R.; Mehjabin, F.; Rashid, M.S.; Chowdhury, J.A.; Islam, M. Trigonal cluster-based ultra-sensitive surface plasmon resonance sensor for multipurpose sensing. Sens. Bio-Sens. Res. 2022, 35, 100477. [Google Scholar] [CrossRef]
- Ayyanar, N.; Sreekanth, K.V.; Raja, G.T.; Rajan, M.S.M. Photonic crystal fiber-based reconfigurable biosensor using phase change material. IEEE Trans. Nanobiosci. 2021, 20, 338–344. [Google Scholar] [CrossRef]
- Zhao, Y.; Tong, R.J.; Xia, F.; Peng, Y. Current status of optical fiber biosensor based on surface plasmon resonance. Biosens. Bioelectron. 2019, 142, 111505. [Google Scholar] [CrossRef] [PubMed]
- Wang, Q.; Wang, L. Lab-on-fiber: Plasmonic nano-arrays for sensing. Nanoscale 2020, 12, 7485–7499. [Google Scholar] [CrossRef] [PubMed]
- Islam, M.R.; Iftekher, A.N.M.; Hasan, K.R.; Nayen, M.; Islam, S.B.; Hossain, A.; Tahsin, T. Design and numerical analysis of a gold-coated photonic crystal fiber based refractive index sensor. Opt. Quantum Electron. 2021, 53, 1–18. [Google Scholar] [CrossRef]
- Kumar, D.; Sharma, M.; Singh, V. Surface plasmon resonance implemented silver thin film PCF sensor with multiple–hole microstructure for wide ranged refractive index detection. Mater. Today: Proc. 2022, 62, 6590–6595. [Google Scholar] [CrossRef]
- Yang, T.; Zhang, L.; Shi, Y.; Liu, S.; Dong, Y. A highly birefringent photonic crystal fiber for terahertz spectroscopic chemical sensing. Sensors 2021, 21, 1799. [Google Scholar] [CrossRef] [PubMed]
- Sharma, A.K.; Pandey, A.K.; Kaur, B. A Review of advancements (2007–2017) in plasmonics-based optical fiber sensors. Opt. Fiber Technol. 2018, 43, 20–34. [Google Scholar] [CrossRef]
- Yu, R.; Chen, Y.; Shui, L.; Xiao, L. Hollow-core photonic crystal fiber gas sensing. Sensors 2020, 20, 2996. [Google Scholar] [CrossRef]
- Liu, C.; Fu, H.; Lv, Y.; Yi, Z.; Lin, J.; Lv, J.; Chu, P.K. HE1,1 mode-excited surface plasmon resonance for refractive index sensing by photonic crystal fibers with high sensitivity and long detection distance. Optik 2022, 265, 169471. [Google Scholar] [CrossRef]
- Momota, M.R.; Hasan, M.R. Hollow-core silver coated photonic crystal fiber plasmonic sensor. Opt. Mater. 2018, 76, 287–294. [Google Scholar] [CrossRef]
- Nazeri, K.; Ahmed, F.; Ahsani, V.; Joe, H.-E.; Bradley, C.; Toyserkani, E.; Jun, M.B.G. Hollow-Core Photonic Crystal Fiber Mach–Zehnder Interferometer for Gas Sensing. Sensors 2020, 20, 2807. [Google Scholar] [CrossRef]
- Kolyadin, A.N.; Alagashev, G.K.; Pryamikov, A.D.; Mouradian, L.; Zeytunyan, A.; Toneyan, H.; Bufetov, I.A. Negative curvature hollow-core fibers: Dispersion properties and femtosecond pulse delivery. Phys. Procedia 2015, 73, 59–66. [Google Scholar] [CrossRef]
- Debord, B.; Alharbi, M.; Bradley, T.; Fourcade-Dutin, C.; Wang, Y.Y.; Vincetti, L.; Benabid, F. Hypocycloid-shaped hollow-core photonic crystal fiber part I: Arc curvature effect on confinement loss. Opt. Express 2013, 21, 28597. [Google Scholar] [CrossRef] [PubMed]
- Hossain, S.; Mollah, A.; Hosain, K.; Ankan, I.M. THz spectroscopic sensing of liquid chemicals using hollow-core anti-resonant fiber. OSA Contin. 2021, 4, 621. [Google Scholar] [CrossRef]
- Khozeymeh, F.; Melli, F.; Capodaglio, S.; Corradini, R.; Benabid, F.; Vincetti, L.; Cucinotta, A. Hollow-core fiber-based biosensor: A platform for lab-in-fiber optical biosensors for DNA detection. Sensors 2022, 22, 5144. [Google Scholar] [CrossRef]
- Qiu, S.; Yuan, J.; Zhou, X.; Li, F.; Wang, Q.; Qu, Y.; Yan, B.; Wu, Q.; Wang, K.; Sang, X.; et al. Hollow-core negative curvature fiber with high birefringence for low refractive index sensing based on surface plasmon resonance effect. Sensors 2020, 20, 6539. [Google Scholar] [CrossRef] [PubMed]
- Chao, C.-T.C.; Kooh, M.R.R.; Chau, Y.-F.C.; Thotagamuge, R. Susceptible plasmonic photonic crystal fiber sensor with elliptical air holes and external-flat gold-coated surface. Photonics 2022, 9, 916. [Google Scholar] [CrossRef]
- Liu, Q.; Li, S.; Chen, H. Two kinds of polarization filter based on photonic crystal fiber with nanoscale gold film. IEEE Photonics J. 2015, 7, 1–11. [Google Scholar] [CrossRef]
- Selvendran, S.; Raja, A.S.; Yogalakshmi, S. A highly sensitive surface plasmon resonance biosensor using photonic crystal fiber filled with gold nanowire encircled by silicon lining. Optik 2018, 156, 112–120. [Google Scholar] [CrossRef]
- Jasion, G.T.; Hayes, J.R.; Wheeler, N.V.; Chen, Y.; Bradley, T.D.; Richardson, D.J.; Poletti, F. Fabrication of tubular anti-resonant hollow core fibers: Modelling, draw dynamics and process optimization. Opt. Express 2019, 27, 20567. [Google Scholar] [CrossRef] [PubMed]
- Takeyasu, N.; Tanaka, T.; Kawata, S. Metal deposition deep into microstructure by electroless plating. Jpn. J. Appl. Phys. 2005, 44, 1134–1137. [Google Scholar] [CrossRef]
- Akowuah, K.; Gorman, T.; Ademgil, H.; Haxha, S.; Robinson, G.K.; Oliver, J.V. Numerical analysis of a photonic crystal fiber for biosensing applications. IEEE J. Quantum Electron. 2012, 48, 1403–1410. [Google Scholar] [CrossRef]
- Maji, P.S.; Roy Chaudhuri, P. A New design for all-normal near zero dispersion photonic crystal fiber with selective liquid infiltration for broadband supercontinuum generation at 1.55 μm. J. Photonics 2014, 2014, 1–9. [Google Scholar] [CrossRef]
- Islam, M.R.; Jamil, M.A.; Ahsan, S.A.H.; Khan, M.M.I.; Mehjabin, F.; Chowdhury, J.A.; Islam, M. Highly birefringent gold-coated SPR sensor with extremely enhanced amplitude and wavelength sensitivity. Eur. Phys. J. Plus 2021, 136, 238. [Google Scholar] [CrossRef]
- Habib, M.S.; Bang, O.; Bache, M. Low-loss single-mode hollow-core fiber with anisotropic anti-resonant elements. Opt. Express 2016, 24, 8429. [Google Scholar] [CrossRef]
- Nasirifar, R.; Danaie, M.; Dideban, A. Hollow-core graded index optical fiber refractive index sensor based on surface plasmon resonance. Opt. Quantum Electron. 2020, 52, 1–23. [Google Scholar] [CrossRef]
- Ermatov, T.; Noskov, R.E.; Machnev, A.A.; Gnusov, I.; Atkin, V.; Lazareva, E.N.; Gorin, D.A. Multispectral sensing of biological liquids with hollow-core microstructured optical fibres. Light Sci. Appl. 2020, 9, 173. [Google Scholar] [CrossRef] [PubMed]
- Stawska, H.I.; Popenda, M.A. Refractive index sensors based on long-period grating in a negative curvature hollow-core fiber. Sensors 2021, 21, 1803. [Google Scholar] [CrossRef] [PubMed]
- Sultana, J.; Islam, M.S.; Cordeiro, C.M.; Habib, M.S.; Dinovitser, A.; Kaushik, M.; Abbott, D. Hollow core inhibited coupled antiresonant terahertz fiber: A numerical and experimental study. IEEE Trans. Terahertz Sci. Technol. 2021, 11, 245–260. [Google Scholar] [CrossRef]
- Habib, M.; Anower, M.; AlGhamdi, A.; Faragallah, O.S.; Eid, M.; Rashed, A.N.Z. Efficient way for detection of alcohols using hollow core photonic crystal fiber sensor. Opt. Rev. 2021, 28, 383–392. [Google Scholar] [CrossRef]






| Refractive Index | X-Polarization | Y-Polarization | Refractive Index Resolution (RIU) | Sensitivity (nm/RIU) | ||||||
|---|---|---|---|---|---|---|---|---|---|---|
| Resonance Wavelength (µm) | Confinement Loss (dB/cm) | FWHM (nm) | FOM (RIU−1) | Resonance Wavelength (µm) | Confinement Loss (dB/cm) | FWHM (nm) | FOM (RIU−1) | |||
| 1.31 | 1.34 | 169.34 | 12 | - | 1.32 | 283.07 | 04 | - | 2.5 × 10−5 | - |
| 1.32 | 1.38 | 279.69 | 05 | 800 | 1.36 | 376.83 | 02 | 2000 | 1.67 × 10−5 | 4000 |
| 1.33 | 1.44 | 276.90 | 09 | 666.7 | 1.42 | 366.07 | 03 | 2000 | 1.67 × 10−5 | 6000 |
| 1.34 | 1.5 | 270.94 | 08 | 750 | 1.48 | 292.27 | 05 | 1200 | 1.67 × 10−5 | 6000 |
| 1.35 | 1.56 | 274.13 | 07 | 857 | 1.54 | 266.36 | 05 | 1200 | 1.67 × 10−5 | 6000 |
| 1.36 | 1.62 | 262.97 | 09 | 666.7 | 1.6 | 250.58 | 07 | 857.1 | - | 6000 |
| Ref. | Structures | Material Used | Sensitivity (nm/RIU) | RI Range |
|---|---|---|---|---|
| [19] | Hollow-core PCF | Silver | 4200 | 1.33–1.37 |
| [20] | Hollow-core PCF | - | 4629 | 1.000034–1.000449 |
| [25] | Hollow-core NCF | Gold | 5700 | 1.2–1.34 |
| [35] | Hollow-core graded-index fiber | Silver | 4350 | 1.38–1.49 |
| [36] | Hollow-core micro-structured fiber | - | 3000 | 1.325–1.36 |
| [37] | Negative-curvature HC fiber | - | 4411 | 1.33–1.39 |
| Proposed work | Hollow-core NCF | Gold | 6000 | 1.31–1.36 |
Disclaimer/Publisher’s Note: The statements, opinions and data contained in all publications are solely those of the individual author(s) and contributor(s) and not of MDPI and/or the editor(s). MDPI and/or the editor(s) disclaim responsibility for any injury to people or property resulting from any ideas, methods, instructions or products referred to in the content. |
© 2023 by the authors. Licensee MDPI, Basel, Switzerland. This article is an open access article distributed under the terms and conditions of the Creative Commons Attribution (CC BY) license (https://creativecommons.org/licenses/by/4.0/).
Share and Cite
Divya, J.; Selvendran, S. Surface Plasmon Resonance-Based Gold-Coated Hollow-Core Negative Curvature Optical Fiber Sensor. Biosensors 2023, 13, 148. https://doi.org/10.3390/bios13020148
Divya J, Selvendran S. Surface Plasmon Resonance-Based Gold-Coated Hollow-Core Negative Curvature Optical Fiber Sensor. Biosensors. 2023; 13(2):148. https://doi.org/10.3390/bios13020148
Chicago/Turabian StyleDivya, J., and S. Selvendran. 2023. "Surface Plasmon Resonance-Based Gold-Coated Hollow-Core Negative Curvature Optical Fiber Sensor" Biosensors 13, no. 2: 148. https://doi.org/10.3390/bios13020148
APA StyleDivya, J., & Selvendran, S. (2023). Surface Plasmon Resonance-Based Gold-Coated Hollow-Core Negative Curvature Optical Fiber Sensor. Biosensors, 13(2), 148. https://doi.org/10.3390/bios13020148

