Highly Accurate and Fast Electrochemical Detection of Scrub Typhus DNA via a Nanoflower NiFe-Based Biosensor
Abstract
:1. Introduction
2. Materials and Methods
2.1. Reagents
2.2. Preparation of Nanoflower NiFe-LDH
2.3. Preparation of Modified Electrode
2.4. Fabrication of Competitive Approach and Detection
3. Results and Discussion
3.1. Characterization of Nanomaterials
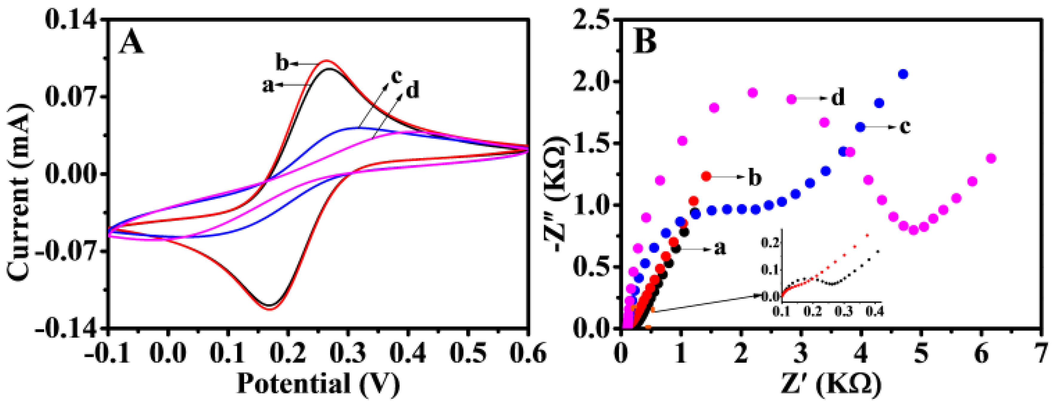
3.2. Feasibility of DNA Biosensor
3.3. Optimization of Experimental Conditions
3.4. Sensitivity of Biosensor
3.5. Selectivity, Reproducibility, and Stability
4. Conclusions
Supplementary Materials
Author Contributions
Funding
Acknowledgments
Conflicts of Interest
References
- Bonell, A.; Lubell, Y.; Newton, P.N.; Crump, J.A.; Paris, D.H. Estimating the burden of scrub typhus: A systematic review. PLoS Negl. Trop. Dis. 2017, 11, e0005838. [Google Scholar] [CrossRef] [PubMed] [Green Version]
- Prakash, J.A.J.; Reller, M.E.; Barat, N.; Dumler, J.S. Assessment of a quantitative multiplex 5’ nuclease real-time PCR for spotted fever and typhus group rickettsioses and Orientia tsutsugamushi. Clin. Microbiol. Infect. 2009, 15, 292–293. [Google Scholar] [CrossRef] [Green Version]
- Paris, D.H.; Blacksell, S.D.; Newton, P.N.; Day, N.P.J. Simple, rapid and sensitive detection of Orientia tsutsugamushi by loop-isothermal DNA amplification. Trans. R. Soc. Trop. Med. Hyg. 2008, 102, 1239–1246. [Google Scholar] [CrossRef]
- Stover, C.K.; Marana, D.P.; Carter, J.M.; Roe, B.A.; Mardis, E.; Oaks, E.V. The 56-kilodalton major protein antigen of Rickettsia tsutsugamushi: Molecular cloning and sequence analysis of the sta56 gene and precise identification of a strain-specific epitope. Infect. Immun. 1990, 58, 2076. [Google Scholar] [CrossRef] [Green Version]
- Zhu, X.; Zhao, T.; Nie, Z.; Liu, Y.; Yao, S. Non-Redox Modulated Fluorescence Strategy for Sensitive and Selective Ascorbic Acid Detection with Highly Photoluminescent Nitrogen-Doped Carbon Nanoparticles via Solid-State Synthesis. Anal. Chem. 2015, 87, 8524–8530. [Google Scholar] [CrossRef] [PubMed]
- Wang, Z.; Sun, N.; He, Y.; Liu, Y.; Li, J. DNA Assembled Gold Nanoparticles Polymeric Network Blocks Modular Highly Sensitive Electrochemical Biosensors for Protein Kinase Activity Analysis and Inhibition. Anal. Chem. 2014, 86, 6153–6159. [Google Scholar] [CrossRef] [PubMed]
- Henihan, G.; Schulze, H.; Corrigan, D.K.; Giraud, G.; Terry, J.G.; Hardie, A.; Campbell, C.J.; Walton, A.J.; Crain, J.; Pethig, R.; et al. Label- and amplification-free electrochemical detection of bacterial ribosomal RNA. Biosens. Bioelectron. 2016, 81, 487–494. [Google Scholar] [CrossRef] [Green Version]
- Wu, Y.; Yan, P.; Xu, X.; Jiang, W. A unique dual recognition hairpin probe mediated fluorescence amplification method for sensitive detection of uracil-DNA glycosylase and endonuclease IV activities. Analyst 2016, 141, 1789–1795. [Google Scholar] [CrossRef] [PubMed]
- Han, L.; Liu, S.G.; Liang, J.Y.; Li, N.B.; Luo, H.Q. Free-label dual-signal responsive optical sensor by combining resonance Rayleigh scattering and colorimetry for sensitive detection of glutathione based on ultrathin MnO2 nanoflakes. Sens. Actuators B Chem. 2019, 288, 195–201. [Google Scholar] [CrossRef]
- Barreda-García, S.; Miranda-Castro, R.; de-los-Santos-Álvarez, N.; Lobo-Castañón, M.J. Sequence-specific electrochemical detection of enzymatic amplification products of Salmonella genome on ITO electrodes improves pathogen detection to the single copy level. Sens. Actuators B Chem. 2018, 268, 438–445. [Google Scholar] [CrossRef]
- Xu, W.; Jin, T.; Dai, Y.; Liu, C.C. Surpassing the detection limit and accuracy of the electrochemical DNA sensor through the application of CRISPR Cas systems. Biosens. Bioelectron. 2020, 155, 112100. [Google Scholar] [CrossRef] [PubMed]
- Ang, W.L.; Seah, X.Y.; Koh, P.C.; Caroline, C.; Bonanni, A. Electrochemical Polymerase Chain Reaction Using Electroactive Graphene Oxide Nanoparticles as Detection Labels. ACS Appl. Nano Mater. 2020, 3, 5489–5498. [Google Scholar] [CrossRef]
- Cheng, W.; Ma, J.; Xiang, L.; Sun, Y.; Li, J. Zr4+-mediated hybrid chain reaction and its application for highly sensitive electrochemical detection of protein kinase A. Bioelectrochemistry 2021, 140, 107796. [Google Scholar] [CrossRef] [PubMed]
- Yy, A.; Zq, A.; Xin, H.A.; Ws, B.; Sb, A. Versatile electrochemical biosensor based on bi-enzyme cascade biocatalysis spatially regulated by DNA architecture. Biosens. Bioelectron. 2020, 174, 112827. [Google Scholar]
- Wang, M.; Shen, B.; Yuan, R.; Cheng, W.; Xu, H.; Ding, S. An electrochemical biosensor for highly sensitive determination of microRNA based on enzymatic and molecular beacon mediated strand displacement amplification. J. Electroanal. Chem. 2015, 756, 147–152. [Google Scholar] [CrossRef]
- Chen, Y.-X.; Huang, K.-J.; Niu, K.-X. Recent advances in signal amplification strategy based on oligonucleotide and nanomaterials for microRNA detection-a review. Biosens. Bioelectron. 2018, 99, 612–624. [Google Scholar] [CrossRef]
- Luo, X.; Hsing, I.M. Sequence Specific Electrochemical DNA Detection Based on Solution-Phase Competitive Hybridization. Electroanalysis 2010, 22, 2769–2775. [Google Scholar] [CrossRef]
- Sun, D.; Lu, J.; Luo, Z.; Zhang, L.; Liu, P.; Chen, Z. Competitive electrochemical platform for ultrasensitive cytosensing of liver cancer cells by using nanotetrahedra structure with rolling circle amplification. Biosens. Bioelectron. 2018, 120, 8–14. [Google Scholar] [CrossRef]
- Du, P.; Jin, M.; Zhang, C.; Chen, G.; Cui, X.; Zhang, Y.; Zhang, Y.; Zou, P.; Jiang, Z.; Cao, X.; et al. Highly sensitive detection of triazophos pesticide using a novel bio-bar-code amplification competitive immunoassay in a micro well plate-based platform. Sens. Actuators B Chem. 2018, 256, 457–464. [Google Scholar] [CrossRef]
- Xu, L.; Feng, L.; Hao, J.; Dong, S. Compaction and decompaction of DNA dominated by the competition between counterions and DNA associating with cationic aggregates. Colloids Surf. B Biointerfaces 2015, 134, 105–112. [Google Scholar] [CrossRef]
- Małecka, E.M.; Stróżecka, J.; Sobańska, D.; Olejniczak, M. Structure of Bacterial Regulatory RNAs Determines Their Performance in Competition for the Chaperone Protein Hfq. Biochemistry 2015, 54, 1157–1170. [Google Scholar] [CrossRef]
- Bonel, L.; Vidal, J.C.; Duato, P.; Castillo, J.R. An electrochemical competitive biosensor for ochratoxin A based on a DNA biotinylated aptamer. Biosens. Bioelectron. 2011, 26, 3254–3259. [Google Scholar] [CrossRef]
- Li, Y.S.; Wang, R.; He, Y.L. Achieving gradient-pore-oriented graphite felt for vanadium redox flow batteries: Meeting improved electrochemical activity and enhanced mass transport from nano- to micro-scale. J. Mater. Chem. A 2019, 7, 10962–10970. [Google Scholar]
- Zhan, T.; Liu, X.; Lu, S.; Hou, W. Nitrogen doped NiFe layered double hydroxide/reduced graphene oxide mesoporous nanosphere as an effective bifunctional electrocatalyst for oxygen reduction and evolution reactions. Appl. Catal. B Environ. 2017, 205, 551–558. [Google Scholar] [CrossRef]
- Wu, W.; Liu, J.; Chen, G.; Chen, Y.; Xu, C. Thin porous nanosheets of NiFe layered-double hydroxides toward a highly efficient electrocatalyst for water oxidation. Int. J. Hydrogen Energy 2020, 45, 1948–1958. [Google Scholar] [CrossRef]
- Yu, L.; Yang, J.F.; Guan, B.Y.; Lu, Y.; Lou, X.W. Hierarchical Hollow Nanoprisms Based on Ultrathin Ni-Fe Layered Double Hydroxide Nanosheets with Enhanced Electrocatalytic Activity towards Oxygen Evolution. Angew. Chem. Int. Ed. 2018, 57, 172–176. [Google Scholar] [CrossRef] [PubMed]
- Su, L.; Qin, W.; Zhang, H.; Rahman, Z.U.; Ren, C.; Ma, S.; Chen, X. The peroxidase/catalase-like activities of MFe2O4 (M=Mg, Ni, Cu) MNPs and their application in colorimetric biosensing of glucose. Biosens. Bioelectron. 2015, 63, 384–391. [Google Scholar] [CrossRef]
- Zhan, T.; Kang, J.; Li, X.; Pan, L.; Li, G.; Hou, W. NiFe layered double hydroxide nanosheets as an efficiently mimic enzyme for colorimetric determination of glucose and H2O2. Sens. Actuators B Chem. 2018, 255, 2635–2642. [Google Scholar] [CrossRef]
- Xie, Q.; Cai, Z.; Li, P.; Zhou, D.; Bi, Y.; Xiong, X.; Hu, E.; Li, Y.; Kuang, Y.; Sun, X. Layered double hydroxides with atomic-scale defects for superior electrocatalysis. Nano Res. 2018, 11, 4524–4534. [Google Scholar] [CrossRef]
- Chen, Q.-Q.; Hou, C.-C.; Wang, C.-J.; Yang, X.; Shi, R.; Chen, Y. Ir4+-Doped NiFe LDH to expedite hydrogen evolution kinetics as a Pt-like electrocatalyst for water splitting. Chem. Commun. 2018, 54, 6400–6403. [Google Scholar] [CrossRef]
- Xue, X.; Yu, F.; Li, J.-G.; Bai, G.; Yuan, H.; Hou, J.; Peng, B.; Chen, L.; Yuen, M.-F.; Wang, G.; et al. Polyoxometalate intercalated NiFe layered double hydroxides for advanced water oxidation. Int. J. Hydrogen Energy 2020, 45, 1802–1809. [Google Scholar] [CrossRef]
- Jia, X.; Zhao, Y.; Chen, G.; Shang, L.; Shi, R.; Kang, X.; Waterhouse, G.I.N.; Wu, L.-Z.; Tung, C.-H.; Zhang, T. Ni3FeN Nanoparticles Derived from Ultrathin NiFe-Layered Double Hydroxide Nanosheets: An Efficient Overall Water Splitting Electrocatalyst. Adv. Energy Mater. 2016, 6, 1502585. [Google Scholar] [CrossRef]
- Fu, Y.; Xu, P.; Huang, D.; Zeng, G.; Lai, C.; Qin, L.; Li, B.; He, J.; Yi, H.; Cheng, M.; et al. Au nanoparticles decorated on activated coke via a facile preparation for efficient catalytic reduction of nitrophenols and azo dyes. Appl. Surf. Sci. 2019, 473, 578–588. [Google Scholar] [CrossRef]
- Wang, L.; Lu, X.; Wen, C.; Xie, Y.; Miao, L.; Chen, S.; Li, H.; Li, P.; Song, Y. One-step synthesis of Pt–NiO nanoplate array/reduced graphene oxide nanocomposites for nonenzymatic glucose sensing. J. Mater. Chem. A 2015, 3, 608–616. [Google Scholar] [CrossRef]
- Xie, J.; Zhang, H.; Li, S.; Wang, R.; Sun, X.; Zhou, M.; Zhou, J.; Lou, X.W.; Xie, Y. Defect-Rich MoS2 Ultrathin Nanosheets with Additional Active Edge Sites for Enhanced Electrocatalytic Hydrogen Evolution. Adv. Mater. 2013, 25, 5807–5813. [Google Scholar] [CrossRef]
- Merki, D.; Fierro, S.; Vrubel, H.; Hu, X. Amorphous molybdenum sulfide films as catalysts for electrochemical hydrogen production in water. Chem. Sci. 2011, 2, 1262–1267. [Google Scholar] [CrossRef] [Green Version]








| Oligonucleotides | Nucleoside Sequences (5′–3′) |
|---|---|
| Probe DNA (P1) | SH-(CH2)6-ACCCTATAGTCAATACCAGCA |
| T-DNA | TGCTGGTATTGACTATAGGGT |
| Beacon DNA (B-DNA) | TGCTGGTATTGACTATAGGGT-MB |
| Single-base mismatch DNA (SM-DNA) | TGCTGGTATTAACTATAGGGT |
| Three-base mismatch DNA (TM-DNA) | TGCTGATATTAACTATATGGT |
| Non-complementary DNA (N-DNA) | CAAAGCGCTAGCCAGAATCTG |
Publisher’s Note: MDPI stays neutral with regard to jurisdictional claims in published maps and institutional affiliations. |
© 2021 by the authors. Licensee MDPI, Basel, Switzerland. This article is an open access article distributed under the terms and conditions of the Creative Commons Attribution (CC BY) license (https://creativecommons.org/licenses/by/4.0/).
Share and Cite
Li, F.; Chen, D.; He, W.; Peng, J.; Cao, Y.; Tu, J.; Wang, X. Highly Accurate and Fast Electrochemical Detection of Scrub Typhus DNA via a Nanoflower NiFe-Based Biosensor. Biosensors 2021, 11, 207. https://doi.org/10.3390/bios11070207
Li F, Chen D, He W, Peng J, Cao Y, Tu J, Wang X. Highly Accurate and Fast Electrochemical Detection of Scrub Typhus DNA via a Nanoflower NiFe-Based Biosensor. Biosensors. 2021; 11(7):207. https://doi.org/10.3390/bios11070207
Chicago/Turabian StyleLi, Fengzhen, Delun Chen, Wang He, Juan Peng, Yang Cao, Jinchun Tu, and Xiaohong Wang. 2021. "Highly Accurate and Fast Electrochemical Detection of Scrub Typhus DNA via a Nanoflower NiFe-Based Biosensor" Biosensors 11, no. 7: 207. https://doi.org/10.3390/bios11070207
APA StyleLi, F., Chen, D., He, W., Peng, J., Cao, Y., Tu, J., & Wang, X. (2021). Highly Accurate and Fast Electrochemical Detection of Scrub Typhus DNA via a Nanoflower NiFe-Based Biosensor. Biosensors, 11(7), 207. https://doi.org/10.3390/bios11070207
