Mesopore-Rich Activated Carbons for Electrical Double-Layer Capacitors by Optimal Activation Condition
Abstract
:1. Introduction
2. Experiment Details
2.1. Materials
2.2. Steam Activation Optimizaiton
2.3. Characterization
2.4. Electrochemical Measurements
3. Results
3.1. X-ray Diffraction Analysis
3.2. Adsorption Isotherm and Textural Properties
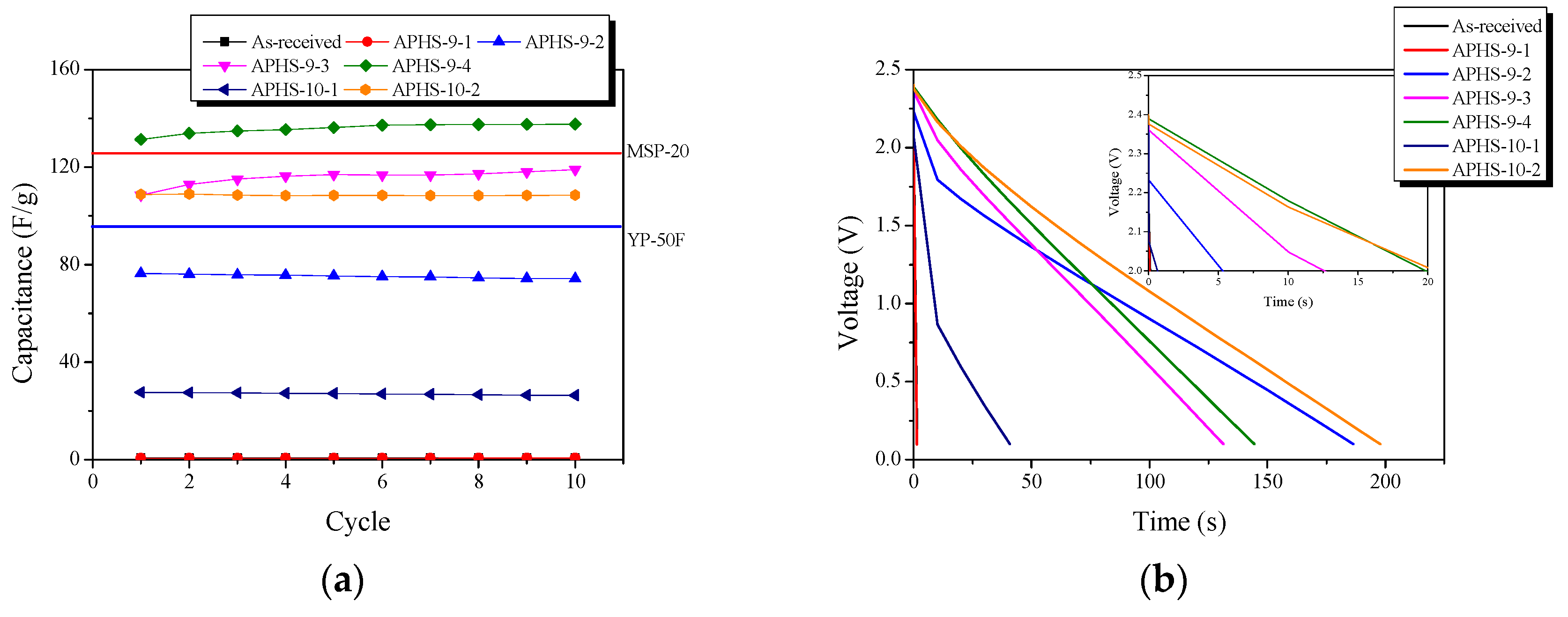
3.3. Electrochemical Characterization
4. Conclusions
Author Contributions
Funding
Conflicts of Interest
References
- Miller, J.R.; Simon, P. Electrochemical capacitors for energy management. Science 2008, 321, 651–652. [Google Scholar] [CrossRef]
- Pham, D.T.; Lee, T.H.; Luong, D.H.; Yao, F.; Ghosh, A.; Le, V.T.; Kim, T.H.; Li, B.; Chang, J.; Lee, Y.H. Carbon nanotube-bridged graphene 3D building blocks for ultrafast compact supercapacitors. ACS Nano 2015, 9, 2018–2027. [Google Scholar] [CrossRef]
- Sharma, P.; Bhatti, T.S. A review on electrochemical double-layer capacitors. Energy Convers. Manag. 2010, 51, 2901–2912. [Google Scholar] [CrossRef]
- Chmiola, J.; Yushin, G.; Gogotsi, Y.; Portet, C.; Simon, P.; Taberna, P.L. Anomalous increase in carbon capacitance at pore sizes less than 1 nanometer. Science 2006, 313, 1760–1763. [Google Scholar] [CrossRef] [PubMed]
- Xu, B.; Wu, F.; Chen, R.; Cao, G.; Chen, S.; Zhou, Z.; Yang, Y. Highly mesoporous and high surface area carbon: A high capacitance electrode material for EDLCs with various electrolytes. Electrochem. Commun. 2008, 10, 795–797. [Google Scholar] [CrossRef]
- Barbieri, O.; Hahn, M.; Herzog, A.; Kotz, R. Capacitance limits of high surface area activated carbons for double layer capacitors. Carbon 2005, 43, 1303–1310. [Google Scholar] [CrossRef]
- Baek, J.; An, K.H.; Chung, D.C.; Kim, B.J. Correlation studies between pore structure and electrochemical performance of activated polymer-based hard carbon with various organic and aqueous electrolytes. Int. J. Energy Res. 2018, 42, 2927–2939. [Google Scholar] [CrossRef]
- Jung, J.Y.; Lee, Y.S. Electrochemical properties of KOH-activated lyocell-based carbon fibers for EDLCs. Carbon Lett. 2018, 27, 112–116. [Google Scholar]
- Xu, Y.; Chen, X.; Wu, D.; Luo, Y.; Liu, X.; Qian, Q.; Xiao, L.; Chen, Q. Carbon molecular sieves from soybean straw-based activated carbon for CO2/CH4 separation. Carbon Lett. 2018, 25, 68–77. [Google Scholar]
- Lee, H.W.; Kim, Y.M.; Kim, S.; Ryu, C.; Park, S.H.; Park, Y.K. Review of the use of activated biochar for energy and environmental applications. Carbon Lett. 2018, 26, 1–10. [Google Scholar]
- Baek, J.; Lee, H.M.; Roh, J.S.; Lee, H.S.; Kang, H.S.; Kim, B.J. Studies on preparation and applications of polymeric precursor-based activated hard carbons: I. Activation mechanism and microstructure analyses. Microporous Mesoporous Mater. 2016, 219, 258–264. [Google Scholar] [CrossRef]
- Baek, J.; Shin, H.S.; Chung, D.C.; Kim, B.J. Studies on the correlation between nanostructure and pore development of polymeric precursor-based activated hard carbons: II. Transmission electron microscopy and Raman spectroscopy studies. J. Ind. Eng. Chem. 2017, 54, 324–331. [Google Scholar] [CrossRef]
- Lee, H.M.; Heo, Y.J.; An, K.H.; Jung, S.C.; Chung, D.C.; Park, S.J.; Kim, B.J. A study on optimal pore range for high pressure hydrogen storage behaviors by porous hard carbon materials prepared from a polymeric precursor. Int. J. Hydrog. Energy 2018, 43, 5894–5902. [Google Scholar] [CrossRef]
- Lee, H.M.; Kang, H.R.; An, K.H.; Kim, H.G.; Kim, B.J. Comparative studies of porous carbon nanofibers by various activation methods. Carbon Lett. 2013, 14, 180–185. [Google Scholar] [CrossRef]
- Lee, H.M.; An, K.H.; Kim, B.J. Effects of carbonization temperature on pore development in polyacrylonitrile-based activated carbon nanofibers. Carbon Lett. 2014, 15, 146–150. [Google Scholar] [CrossRef]
- Lee, H.M.; Chung, D.C.; Jung, S.C.; An, K.H.; Park, S.J.; Kim, B.J. A study on pore development mechanism of activated carbons from polymeric precursor: Effects of carbonization temperature and nano crystallite formation. Chem. Eng. J. 2019, in press. [Google Scholar] [CrossRef]
- Wang, J.; Kaskel, S. KOH activation of carbon-based materials for energy storage. J. Mater. Chem. 2012, 22, 23710–23725. [Google Scholar] [CrossRef]
- Kan, Y.; Yue, Q.; Liu, S.; Gao, B. Effects of Cu and CuO on the preparation of activated carbon from waste circuit boards by H3PO4 activation. Chem. Eng. J. 2018, 331, 93–101. [Google Scholar] [CrossRef]
- Acharya, J.; Sahu, J.N.; Sahoo, B.K.; Mohanty, C.R.; Meikap, B.C. Removal of chromium(VI) from wastewater by activated carbon developed from tamarind wood activated with zinc chloride. Chem. Eng. J. 2009, 150, 25–39. [Google Scholar] [CrossRef]
- Lee, H.M.; Kim, H.G.; An, K.H.; Kim, B.J. The effect of CO2 activation on the electrochemical performance of coke-based activated carbons for supercapacitors. J. Nanosci. Nanotechnol. 2015, 15, 8797–8802. [Google Scholar] [CrossRef]
- Shrestha, M.; Amatya, I.; Wang, K.; Zheng, B.; Gu, Z.; Fan, Q.H. Electrophoretic deposition of activated carbon YP-50 with ethyl cellulose binders for supercapacitor electrodes. J. Energy Storage 2017, 13, 206–210. [Google Scholar] [CrossRef]
- Pode, R. Potential applications of rice husk ash waste from rice husk biomass power plant. Renew. Sustain. Energy Rev. 2016, 53, 1468–1485. [Google Scholar] [CrossRef]
- Wu, J.; Hong, I.; Park, S.M.; Lee, S.Y.; Kim, M.S. Electrochemical properties of EDLC electrodes prepared by acid and heat treatment of commercial activated carbons. Carbon Lett. 2008, 9, 137–144. [Google Scholar] [CrossRef]
- Kim, J.A.; Park, I.S.; Seo, J.H.; Lee, J.J. A development of high power activated carbon using the KOH activation of soft carbon series cokes. Trans. Electr. Electron. Mater. 2014, 15, 81–86. [Google Scholar] [CrossRef]
- Hyman, J.B.; Sterr, W.R. Catalin Corp of America. Low Ash Phenol-Formaldehyde Resins and Process of Preparation. U.S. Patent 2865875, 23 December 1958. [Google Scholar]
- Wu, F.C.; Tseng, R.L.; Hu, C.C. Comparisons of pore properties and adsorption performance of KOH-activated and steam-activated carbons. Microporous Mesoporous Mater. 2005, 80, 95–106. [Google Scholar] [CrossRef]
- Lee, J.H.; Choi, J.W.; Kim, S.A.; Lee, J.M.; Lee, J.M.; Kim, J.G. Negative Active Material for Lithium Secondary Battery, Preparing Method Thereof and Lithium Secondary Battery Using the Same. KR Patent 101375688, 12 March 2014. [Google Scholar] [CrossRef]
- Brunauer, S.; Emmett, P.H.; Teller, E. Adsorption of gases in multi molecular layers. J. Am. Chem. Soc. 1938, 60, 309–319. [Google Scholar] [CrossRef]
- Kierlik, E.; Rosinberg, M.L. Free-energy density functional for the in homogeneous hard-sphere fluid: Application to interfacial adsorption. Phys. Rev. A 1990, 42, 3382–3387. [Google Scholar] [CrossRef] [PubMed]
- Barrett, E.P.; Joyner, L.G.; Halenda, P.P. The determination of pore volume and area distributions in porous substances. I. Computations from nitrogen isotherms. J. Am. Chem. Soc. 1951, 73, 373–380. [Google Scholar] [CrossRef]
- Biscoe, J.; Warren, E. An X-ray study of carbon black. J. Appl. Phys. 1942, 13, 364–371. [Google Scholar] [CrossRef]
- Sing, K.S.W.; Everett, D.H.; Haul, R.A.W.; Moscou, L.; Pierotto, R.A.; Rouquerol, J. Reporting physisorption data for gas/solid systems with special reference to the determination of surface area and porosity. Pure Appl. Chem. 1985, 57, 603–619. [Google Scholar] [CrossRef]
- Jung, M.J.; Jeong, E.; Cho, S.; Yeo, S.Y.; Lee, Y.S. Effects of surface chemical properties of activated carbon modified by amino-fluorination for electric double-layer capacitor. J. Colloid Interface Sci. 2012, 381, 152–157. [Google Scholar] [CrossRef]
- Kaiser, H.; Beccu, K.D.; Gujahr, M.A. Abschätzung der porenstruktur poröser elektroden aus impedanzmessungen. Electrochim. Acta 1976, 21, 539–543. [Google Scholar] [CrossRef]










| Sample | Activation Conditions | Yield 2 (%) | SBET 3 (m2/g) | VTotal 4 (cm3/g) | VMeso 5 (cm3/g) | VMicro 6 (cm3/g) | Cg 7 (F/g) |
|---|---|---|---|---|---|---|---|
| As-received | - | 100 | 50 | 0.03 | 0.01 | 0.02 | 0.8 |
| APHS-9-11 | 900 °C × 10 min | 60 | 1170 | 0.48 | 0.02 | 0.46 | 0.8 |
| APHS-9-2 | 900 °C × 20 min | 34 | 1900 | 0.84 | 0.16 | 0.68 | 73.3 |
| APHS-9-3 | 900 °C × 30 min | 33 | 2030 | 0.91 | 0.17 | 0.74 | 115.8 |
| APHS-9-4 | 900 °C × 40 min | 17 | 2240 | 1.16 | 0.38 | 0.78 | 136.2 |
| APHS-10-1 | 1000 °C × 10 min | 48 | 1240 | 0.53 | 0.06 | 0.47 | 26.4 |
| APHS-10-2 | 1000 °C × 20 min | 15 | 2410 | 1.22 | 0.47 | 0.75 | 108.2 |
| YP-50F | Steam activation | - | 1720 | 0.79 | 0.15 | 0.64 | 91.8 |
| MSP-20 | KOH activation | - | 2260 | 0.97 | 0.11 | 0.86 | 125 |
© 2019 by the authors. Licensee MDPI, Basel, Switzerland. This article is an open access article distributed under the terms and conditions of the Creative Commons Attribution (CC BY) license (http://creativecommons.org/licenses/by/4.0/).
Share and Cite
Lee, H.-M.; An, K.-H.; Park, S.-J.; Kim, B.-J. Mesopore-Rich Activated Carbons for Electrical Double-Layer Capacitors by Optimal Activation Condition. Nanomaterials 2019, 9, 608. https://doi.org/10.3390/nano9040608
Lee H-M, An K-H, Park S-J, Kim B-J. Mesopore-Rich Activated Carbons for Electrical Double-Layer Capacitors by Optimal Activation Condition. Nanomaterials. 2019; 9(4):608. https://doi.org/10.3390/nano9040608
Chicago/Turabian StyleLee, Hye-Min, Kay-Hyeok An, Soo-Jin Park, and Byung-Joo Kim. 2019. "Mesopore-Rich Activated Carbons for Electrical Double-Layer Capacitors by Optimal Activation Condition" Nanomaterials 9, no. 4: 608. https://doi.org/10.3390/nano9040608
APA StyleLee, H.-M., An, K.-H., Park, S.-J., & Kim, B.-J. (2019). Mesopore-Rich Activated Carbons for Electrical Double-Layer Capacitors by Optimal Activation Condition. Nanomaterials, 9(4), 608. https://doi.org/10.3390/nano9040608

