Aniline Electropolymerization on Indium–Tin Oxide Nanofilms with Different Surface Resistivity: A Comprehensive Study
Abstract
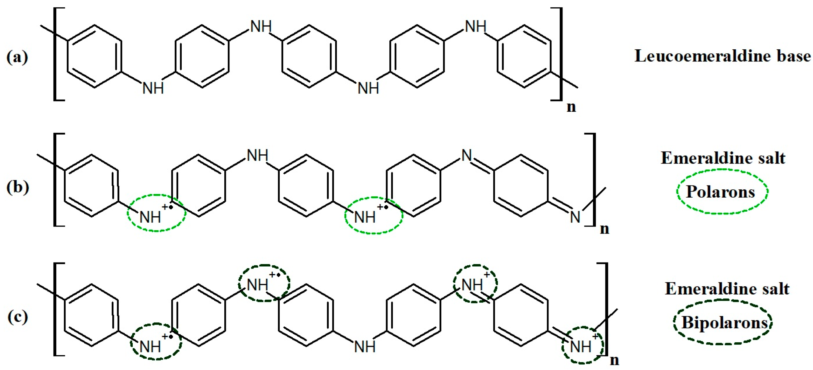
1. Introduction
2. Materials and Methods
2.1. Materials
2.2. Description of the Electropolymerization Process
2.3. Characterization Methods
3. Results and Discussion
3.1. Electropolymerization
3.2. ATR IR Analysis
3.3. Absorption Study
3.4. Spectroscopic Ellipsometry
3.4.1. Applied Ellipsometric Models
3.4.2. Analysis of Results Obtained for the Polyaniline Films
| Number of Cycles/Scan Rate | Polyaniline Thickness d [nm] on ITO with: | ||
|---|---|---|---|
| 70–100 Ω/sq | 80–100 Ω/sq | 15–25 Ω/sq | |
| 7/50 mV s−1 | 360 | 488 | - |
| 13/50 mV s−1 | 745 | 685 | - |
| 7/100 mV s−1 | 244 | 340 | - |
| 13/100 mV s−1 | 389 | 615 | - |
3.5. Surface and Electrical Study
4. Conclusions
Supplementary Materials
Author Contributions
Funding
Data Availability Statement
Conflicts of Interest
References
- Niu, Z.; Boggs, J.E. The structure of aniline. J. Mol. Struct. THEOCHEM 1984, 109, 381–389. [Google Scholar] [CrossRef]
- Anjalin, M.; Kanagathara, N.; Suganthi, B.A.R. A brief review on anolone and its derivatives. Mater. Today 2020, 33, 4751–4755. [Google Scholar] [CrossRef]
- Majeed, A.H.; Mohammed, L.A.; Hammoodi, O.G.; Sehgal, S.; Alheety, M.A.; Saxena, K.K.; Dadoosh, S.A.; Mohammed, I.K.; Jasim, M.M.; Salmaan, U. A Review on Polyaniline: Synthesis, Properties, Nanocomposites, and Electrochemical Applications. Int. J. Polym. Sci. 2022, 1, 9047554. [Google Scholar] [CrossRef]
- MacDiarmid, A.G. Polyaniline and polypyrrole: Where are we headed? Synt. Met. 1997, 84, 27–34. [Google Scholar] [CrossRef]
- Ledwon, P.; Lapkowski, M. The Role of Electrochemical and Spectroelectrochemical Techniques in the Preparation and Characterization of Conjugated Polymers: From Polyaniline to Modern Organic Semiconductors. Polymers 2022, 14, 4173. [Google Scholar] [CrossRef] [PubMed]
- Beygisangchin, M.; Abdul Rashid, S.; Shafie, S.; Sadrolhossein, A.R.; Lim, H.N. Preparations, Properties, and Applications of Polyaniline and Polyaniline Thin Films—A Review. Polymers 2021, 13, 2003. [Google Scholar] [CrossRef]
- Kiristi, M.; Uygun, A. Polyaniline. In Handbook of Engineering and Specialty Thermoplastics; Wiley: Hoboken, NJ, USA, 2011; Volume 4, Chapter 7. [Google Scholar] [CrossRef]
- Kaushik, P.; Bharti, R.; Sharma, R.; Verma, M.; Olsson, R.T.; Pandey, A. Progress in synthesis and applications of Polyaniline-Coated Nanocomposites: A comprehensive review. Eur. Polym. J. 2024, 221, 113574. [Google Scholar] [CrossRef]
- Nezakati, T.; Seifalian, A.; Tan, A.; Seifalian, A.M. Conductive polymers: Opportunities and challenges in biomedical applications. Chem. Rev. 2018, 118, 6766–6843. [Google Scholar] [CrossRef]
- Sapurina, I.; Tenkovtsev, A.V.; Stejskal, J. Conjugated polyaniline as a result of the benzidine rearrangement. Polym. Int. 2015, 64, 453–465. [Google Scholar] [CrossRef]
- Liu, Y.Y.; Wang, X.Y.; Cao, Y.; Chen, X.D.; Xie, S.F.; Zheng, X.J.; Zeng, H.D. A Flexible Blue Light-Emitting Diode Based on ZnO Nanowire/Polyaniline Heterojunctions. J. Nanomater. 2013, 1, 870254. [Google Scholar] [CrossRef]
- Yang, X.; Wang, H.; Zhang, C.; Ma, Y.; Ma, T.; Zou, W. Preparation of PANI modified hollow microspheres and its application in anti-static buffer foam of OLED under-display. Colloids Surf. A Physicochem. Eng. Asp. 2024, 695, 134235. [Google Scholar] [CrossRef]
- Li, Q.; Wu, J.; Tang, Q.; Lan, Z.; Li, P.; Lin, J.; Fan, L. Application of microporous polyaniline counter electrode for dye-sensitized solar cells. Electrochem. Commun. 2008, 10, 1299–1302. [Google Scholar] [CrossRef]
- Tang, Q.; Cai, H.; Yan, S.; Wang, X. Counter electrodes from double-layered polyaniline nanostructures for dye-sensitized solar cell applications. J. Mater. Chem. A 2013, 2, 317–323. [Google Scholar] [CrossRef]
- Wang, G.; Xing, W.; Zhuo, S. The production of polyaniline/graphene hybrids for use as a counter electrode in dye-sensitized solar cells. Electrochim. Acta 2012, 66, 151–157. [Google Scholar] [CrossRef]
- Xiao, Y.; Han, G.; Chang, Y.; Zhou, H.; Li, M.; Li, Y. An all-solid-state perovskite-sensitized solar cell based on the dual function polyaniline as the sensitizer and p-type hole-transporting material. J. Power Sources 2014, 267, 1–8. [Google Scholar] [CrossRef]
- Amer, K.; Ebrahim, S.; Feteha, M.; Soliman, M.; El-Shaer, A. Organic field effect transistor based on polyaniline—Dodecylbenzene sulphonic acid for humidity sensor. In Proceedings of the 2017 34th National Radio Science Conference (NRSC), Alexandria, Egypt, 13–16 March 2017; pp. 440–447. [Google Scholar] [CrossRef]
- Biswas, M.; Dey, A.; Sarkar, S.K. Polyaniline based field effect transistor for humidity sensor. Silicon 2022, 14, 8919–8925. [Google Scholar] [CrossRef]
- Ali, A.; Sallam, A.M.; Mohsen, M.; Kasry, A.; Abdellatif, S.O. Ultra-Low Threshold Voltage OFET Using PANI Nanofibers. IEEE Trans. Nanotechnol. 2022, 21, 830–835. [Google Scholar] [CrossRef]
- Yaqoob, A.A.; Serrà, A.; Bhawani, S.A.; Ibrahim, M.N.M.; Khan, A.; Alorfi, H.S.; Asiri, A.M.; Hussein, M.A.; Khan, I.; Umar, K. Utilizing Biomass-Based Graphene Oxide–Polyaniline–Ag Electrodes in Microbial Fuel Cells to Boost Energy Generation and Heavy Metal Removal. Polymers 2022, 14, 845. [Google Scholar] [CrossRef]
- Zhang, X.; Wang, Y.; Fu, D.; Wang, G.; Wei, H.; Ma, N. Photo-thermal converting polyaniline/ionic liquid inks for screen printing highly-sensitive flexible uncontacted thermal sensors. Eur. Polym. J. 2021, 147, 110305. [Google Scholar] [CrossRef]
- Cho, S.; Lee, J.S.; Joo, H. Recent Developments of the Solution-Processable and Highly Conductive Polyaniline Composites for Optical and Electrochemical Applications. Polymers 2019, 11, 1965. [Google Scholar] [CrossRef]
- Zhang, W.; Ju, W.; Wu, X.; Wang, Y.; Wang, Q.; Zhou, H.; Wang, S.; Hu, C. Structure, stability and electrochromic properties of polyaniline film covalently bonded to indium tin oxide substrate. Appl. Surf. Sci. 2016, 367, 542–551. [Google Scholar] [CrossRef]
- Oliveira, G.P.; Baroza, B.H.; Batagin-Neto, A. Polyaniline-based gas sensors: DFT study on the effect of side groups. Comput. Theor. Chem. 2022, 1207, 113526. [Google Scholar] [CrossRef]
- Khursheed, A.; Shaikh, M.M. Construction of polyaniline/ITO electrode for electrochemical sensor applications. Mater. Res. Express 2019, 6, 085508. [Google Scholar] [CrossRef]
- Pina, C.D.; Falletta, E. Advances in Polyaniline for Biomedical Applications. Curr. Med. Chem. 2022, 29, 329–357. [Google Scholar] [CrossRef]
- Zare, E.N.; Makvandi, P.; Ashtari, B.; Rossi, F.; Motahari, A.; Perale, G. Progress in Conductive Polyaniline-Based Nanocomposites for Biomedical Applications: A Review. J. Med. Chem. 2020, 63, 1–22. [Google Scholar] [CrossRef]
- Lalegul-Ulker, O.; Elcin, Y.M. Magnetic and electrically conductive silica-coated iron oxide/polyaniline nanocomposites for biomedical applications. Mater. Sci. Eng. C 2021, 119, 111600. [Google Scholar] [CrossRef]
- Karthikeyan, L.; Rithisa, B.; Min, S.; Hong, H.; Kang, H.; Thangam, R.; Vivek, R. Multimodal biomedical utility of polyaniline-based supramolecular nanomaterials. Chem. Eng. J. 2024, 493, 152530. [Google Scholar] [CrossRef]
- Humpolicek, P.; Kasparkova, V.; Pachnernik, J.; Stejskal, J.; Bober, P.; Capakova, Z.; Radaszkiewicz, K.A.; Junkar, I.; Lehocky, M. The biocompatibility of polyaniline and polypyrrole: A comparative study of their cytotoxicity, embryotoxicity and impurity profile. Mater. Sci. Eng. C 2018, 91, 303–310. [Google Scholar] [CrossRef] [PubMed]
- Humpolicek, P.; Radaszkiewicz, K.A.; Kasparkova, V.; Stejskal, J.; Trchova, M.; Kucekova, Z.; Vicarova, H.; Pachernik, J.; Lehocky, M.; MInarik, A. Stem Cell Differentiation on Conducting Polyaniline. RSC Adv. 2015, 84, 68796–68805. [Google Scholar] [CrossRef]
- Humpolicek, P.; Kucekova, Z.; Kasparkova, V.; Pelkova, J.; Modic, M.; Junkar, I.; Trchova, M.; Bober, P.; Stejskal, J.; Lehocky, M. Blood coagulation and platelet adhesion on polyaniline films. Colloid Surf. B-Biointerfaces 2015, 133, 278–285. [Google Scholar] [CrossRef]
- Cruz, C.M.G.S.; Ticianelli, E.A. Electrochemical and ellipsometric studies of polyaniline films grown under cycling conditions. J. Electroanal. Chem. 1997, 428, 185–192. [Google Scholar] [CrossRef]
- Al-Attar, H.A.; Al-Alawina, G.H.; Monkman, A.P. Spectroscopic ellipsometry of electrochemically prepared thin film polyaniline. Thin Solid Films 2003, 429, 286–294. [Google Scholar] [CrossRef]
- Chen, J.; He, Y.; Li, L. Real-time probing electrodeposition growth of polyaniline thin film via in-situ spectroscopic ellipsometry. Thin Solid Films 2022, 762, 139565. [Google Scholar] [CrossRef]
- Dang, M.; Yongyao, L.; Kecheng, G.; Guiping, Z.; Renkuan, Y. Ellipsometric Spectra and Refractive Index of Polyaniline. Chin. Phys. Lett. 1993, 10, 374. [Google Scholar] [CrossRef]
- Barbero, C.; Kotz, R. Nanoscale Dimensional Changes and Optical Properties of Polyaniline Measured by In Situ Spectroscopic Ellipsometry. J. Electrochem. Soc. 1994, 141, 859. [Google Scholar] [CrossRef]
- Leon-Silva, U.; Nicho, M.E.; Hu, H.; Cruz-Silva, R. Effect of modified ITO substrate on electrochromic properties of polyaniline films. Sol. Energy Mater. Sol. Cells 2007, 91, 1444–1448. [Google Scholar] [CrossRef]
- Filho, J.B.L.; Hidalgo, A.A. Film thickness by interference pattern and optical characterization of polyaniline by spectroscopic ellipsometry. Synth. Met. 2017, 223, 80–86. [Google Scholar] [CrossRef]
- Gvozdenović, M.M.; Jugović, B.Z.; Stevanović, J.S.; Grgur, B.N. Electrochemical synthesis of electroconducting polymers. Hem. Ind. 2014, 68, 673–684. [Google Scholar] [CrossRef]
- Lyu, H. Triple Layer Tungsten Trioxide, Graphene, and Polyaniline Composite Films for Combined Energy Storage and Electrochromic Applications. Polymers 2020, 12, 49. [Google Scholar] [CrossRef] [PubMed]
- Kosov, A.V.; Grishenkova, O.V.; Semerikova, O.L.; Isaev, V.A.; Zaikov, Y.P. On the theory of cyclic voltammetry for multiple nucleation and growth: Scan rate influence. J. Electroanal. Chem. 2021, 883, 115056. [Google Scholar] [CrossRef]
- Heinze, J.; Rasche, A.; Pagels, M.; Geschke, B. On the Origin of the So-Called Nucleation Loop during Electropolymerization of Conducting Polymers. J. Phys. Chem. B 2007, 111, 989–997. [Google Scholar] [CrossRef]
- Aynaou, A.; Youbi, B.; Lghazi, Y.; Himi, M.A.; Haimer, C.; Bahar, J.; Sahlaoui, A.; Bimaghra, I. Electrochemical performance optimization of the polyaniline electrodeposited on ITO substrate. Environ. Sci. Pollut. Res. Int. 2024, 31, 61985–61998. [Google Scholar] [CrossRef]
- Geniès, E.M.; Lapkowski, M.; Penneau, J.F. Cyclic voltammetry of polyaniline: Interpretation of the middle peak. J. Electroanal. Chem. Interf. Electrochem. 1988, 249, 97–107. [Google Scholar] [CrossRef]
- Aynaou, A.; Youbi, B.; Lghazi, Y.; Himi, M.A.; Bahar, J.; Haimer, C.; Sahlaoui, A.; Bimaghra, I. Nucleation, Growth and Electrochemical Performances of Polyaniline Electrodeposited on ITO Substrate. J. Electrochem. Soc. 2022, 169, 082509. [Google Scholar] [CrossRef]
- Ninh, D.H.; Thao, T.T.; Long, P.D.; Dinh, N.N. Characterization of Electrochromic Properties of Polyaniline Thin Films Electropolymerized in H2SO4 Solution. Open J. Org. Polym. Mater. 2016, 6, 30–37. [Google Scholar] [CrossRef]
- Popov, A.; Brasinuas, B.; Mikoliunaite, L.; Bagdziunas, G.; Ramanavicius, A.; Ramanaviciene, A. Comparative study of polyaniline (PANI), poly(3,4-ethylenedioxythiophene) (PEDOT) and PANI-PEDOT films electrochemically deposited on transparent indium thin oxide based electrodes. Polymer 2019, 172, 133–141. [Google Scholar] [CrossRef]
- Korent, A.; Žagar Soderžnik, K.; Šturm, S.; Žužek Rožman, K. A Correlative Study of Polyaniline Electropolymerization and its Electrochromic Behavior. J. Electrochem. Soc. 2020, 167, 106504. [Google Scholar] [CrossRef]
- Saouti, F.; Belaaouad, S.; Cherqaoui, A.; Naimi, Y. Polyaniline Thin Film Prepared by Electrochemical Polymerization Method. Biointerface Res. Appl. Chem. 2022, 12, 5523–5533. [Google Scholar] [CrossRef]
- Zhang, M.; Nautiyal, A.; Du, H.; Wei, Z.; Zhang, X.; Wang, R. Electropolymerization of polyaniline as high-performance binder free electrodes for flexible supercapacitor. Electrochim. Acta 2021, 376, 138037. [Google Scholar] [CrossRef]
- Aynaou, A.; Youbi, B.; Himi, M.; Lghazi, Y.; Bahar, J.; Haimer, C.; Ouedrhiri, A.; Bimaghra, I. Electropolymerization investigation of polyaniline films on ITO substrate. Mater. Today Proc. 2022, 66, 335–340. [Google Scholar] [CrossRef]
- Goldoni, R.; Thomaz, D.V.; Ottolini, M.; Giulio, S.; Giulio, T. Characterization of In situ electrosynthesis of polyaniline on pencil graphite electrodes through electrochemical spectroscopical and computational methods. J. Mater. Sci. 2024, 59, 10287–10308. [Google Scholar] [CrossRef]
- Okamoto, H.; Kotaka, T. Structure and properties of polyaniline films prepared via electrochemical polymerization. I: Effect of pH in electrochemical polymerization media on the primary structure and acid dissociation constant of product polyaniline films. Polymer 1998, 39, 4349–4358. [Google Scholar] [CrossRef]
- Bacon, J.; Adams, R.N. Anodic oxidations of aromatic amines. III. Substituted anilines in aqueous media. J. Am. Chem. Soc. 1968, 90, 6596–6599. [Google Scholar] [CrossRef]
- Lu, H.; Zhou, Y.; Vongehr, S.; Hu, K.; Meng, X. Electropolymerization of PANI coating in nitric acid for corrosion protection of 430 SS. Synth. Met. 2011, 161, 1368–1376. [Google Scholar] [CrossRef]
- Le, H.V.; Le, Q.T. Electrochemical Preparation of Polyaniline- Supported Cu-CuO Core-Shell on 316L Stainless Steel Electrodes for Nanenzymatic Glucose Sensor. Adv. Polym. Technol. 2020, 1, 6056919. [Google Scholar] [CrossRef]
- Zhu, J.; Chen, M.; Qu, H.; Luo, Z.; Wu, S.; Colorado, H.; Wei, S.; Guo, Z. Magnetic field induced capacitance enhancement in graphene and magnetic Graphene nanocomposites. Energy Environ. Sci. 2013, 6, 194–204. [Google Scholar] [CrossRef]
- Wei, H.; Gu, H.; Guo, J.; Wei, S.; Guo, Z. Electropolymerized Polyaniline Nanocomposites from Multi-Walled Carbon Nanotubes with Tuned Surface Functionalities for Electrochemical Energy Storage. J. Electrochem. Soc. 2013, 160, G3038–G3045. [Google Scholar] [CrossRef]
- Peng, C.; Hu, D.; Chen, G.Z. Theoretical specific capacitance based on charge storage mechanisms of conducting polymers: Comment on ‘Vertically oriented arrays of polyaniline nanorods and their super electrochemical properties’. Chem. Commun. 2011, 47, 4105–4107. [Google Scholar] [CrossRef]
- Shah, S.S.; Alfasane, M.A.; Bakare, I.A.; Aziz, M.A.; Yamani, Z.H. Polyaniline and heteroatoms–enriched carbon derived from Pithophora polymorpha composite for high performance supercapacitor. J. Energy Storage 2020, 30, 101562. [Google Scholar] [CrossRef]
- Eftekhari, A.; Li, L.; Yang, Y. Polyaniline supercapacitors. J. Power Sources 2017, 347, 86–107. [Google Scholar] [CrossRef]
- Mahato, N.; Mohapatra, D.; Cho, M.H.; Ahn, K.S. Semi-Polycrystalline-Polyaniline Empowered Electrochemical Capacitor. Energies 2022, 15, 2001. [Google Scholar] [CrossRef]
- Li, X.; Yang, L.; Lei, Y.; Gu, L.; Xiao, D. Microwave-Assisted Chemical-Vapor-Induced In Situ Polymerization of Polyaniline Nanofibers on Graphite Electrode for High-Performance Supercapacitor. ACS Appl. Mater. Interfaces 2014, 6, 19978–19989. [Google Scholar] [CrossRef]
- Shaikh, S.F.; Shaikh, F.F.M.; Shaikh, A.V.; Ubaidullah, M.; Al-Enizi, A.M.; Pathan, H.M. Electrodeposited more-hydrohilic nano-nest polyaniline electrodes for supercapacitor application. J. Phys. Chem. Solids 2021, 149, 109774. [Google Scholar] [CrossRef]
- Qin, Q.; Guo, Y. Preparation and Characterization on Nano-Polyaniline Film on ITO Conductive Glass by Electrochemical Polymerization. J. Nanomater. 2012, 1, 519674. [Google Scholar] [CrossRef]
- Palaniappan, S.; Sydulu, S.B.; Prasanna, T.L.; Srinivas, P. High-temperature oxidation of aniline to highly ordered polyaniline–sulfate salt with a nanofiber morphology and its use as electrode materials in symmetric supercapacitors. J. Appl. Polym. Sci. 2011, 120, 780–788. [Google Scholar] [CrossRef]
- Arora, M.; Luthra, V.; Singh, R.; Gupta, S.K. Study of vibrational spectra of polyaniline doped with sulfuric acid and phosphoric acid. Appl. Biochem. Biotech. 2001, 96, 173–181. [Google Scholar] [CrossRef] [PubMed]
- Firda, P.B.D.; Malik, Y.T.; Oh, J.K.; Wujcik, E.K.; Jeon, J.-W. Enhanced Chemical and Electrochemical Stability of Polyaniline-Based Layer-by-Layer Films. Polymers 2021, 13, 2992. [Google Scholar] [CrossRef]
- Stejskal, J.; Trchova, M.; Bober, P.; Humpolicek, P.; Kasparkova, V.; Sapurina, I.; Shishov, M.A.; Varga, M. Conducting Polymers: Polyaniline. In Encyclopedia of Polymer Science and Technology; John Wiley & Sons: Hoboken, NJ, USA, 2015. [Google Scholar] [CrossRef]
- Golba, S.; Popczyk, M.; Miga, S.; Jurek-Suliga, J.; Zubko, M.; Kubisztal, J.; Balin, K. Impact of Acidity Profile on Nascent Polyaniline in the Modified Rapid Mixing Process—Material Electrical Conductivity and Morphological Study. Materials 2020, 13, 5108. [Google Scholar] [CrossRef]
- Wang, J.; Wang, J.; Yang, Z.; Wang, Z.; Zhang, F.; Wang, S. A novel strategy for the synthesis of polyaniline nanostructures with controlled morphology. React. Funct. Polym. 2008, 68, 1435–1440. [Google Scholar] [CrossRef]
- Stetsiv, Y.A.; Yatsyshym, M.M.; Nykypanchuk, D.; Korniy, S.A.; Saldan, I.; Reshetnyak, O.V.; Bednarchuk, T.J. Characterization of polyaniline thin films prepared on polyethylene terephthalate substrate. Polym. Bull. 2021, 78, 6251–6265. [Google Scholar] [CrossRef]
- Travain, S.A.; Souza, N.C.; Balogh, D.T.; Giacometti, J.A. Study of the growth process of In Situ polyaniline deposited films. J. Colloid. Interface Sci. 2007, 316, 292–297. [Google Scholar] [CrossRef]
- Huang, W.S.; MacDiarmid, A.G. Optical properties of polyaniline. Polymer 1993, 34, 1833–1845. [Google Scholar] [CrossRef]
- Molapo, K.M.; Ndangili, P.M.; Ajayi, R.F.; Mbambisa, G.; Mailu, S.M.; Njomo, N.; Masikini, M.; Baker, P.; Iwuoha, E.I. Electronics of Conjugated Polymers (I): Polyaniline. Int. J. Electrochem. Sci. 2012, 7, 11859–11875. [Google Scholar] [CrossRef]
- Bera, A.; Deb, K.; Kathirvel, V.; Bera, T.; Thapa, R.; Saha, B. Flexible diode of polyaniline/ITO heterojunction on PET substrate. Appl. Surf. Sci. 2017, 418, 264–269. [Google Scholar] [CrossRef]
- Viezbicke, B.D.; Patel, S.; Davis, B.E.; Birnie, D.P. Evaluation of the Tauc method for optical absorption edge determination: ZnO thin films as a model system. Phys. Status Solidi B 2015, 252, 1700–1710. [Google Scholar] [CrossRef]
- Hasoon, S.A.; Abdullah, I.A. Optical and Electrical Properties of Thin Films of Polyaniline and Polypyrrole. Int. J. Electrochem. Sci. 2012, 7, 10666–10678. [Google Scholar] [CrossRef]
- Kolhar, P.; Sannakki, B.; Verma, M.; Alshehri, M.; Shah, N.A. Synthesis, Characterization and Investigation of Optical and Electrical Properties of Polyaniline/Nickel Ferrite Composites. Nanomaterials 2023, 13, 2223. [Google Scholar] [CrossRef] [PubMed]
- Hajduk, B.; Bednarski, H.; Jarząbek, B.; Janeczek, H.; Nitschke, P. P3HT:PCBM blend films phase diagram on the base of variable-temperature spectroscopic ellipsometry. Beilstein J. Nanotechnol. 2018, 9, 1108–1115. [Google Scholar] [CrossRef]
- Hajduk, B.; Bednarski, H.; Jarka, P.; Janeczek, H.; Godzierz, M.; Tański, T. Thermal and optical properties of PMMA films reinforced with Nb2O5 nanoparticles. Sci. Rep. 2021, 11, 22531. [Google Scholar] [CrossRef]
- Jung, Y.S. Spectroscopic ellipsometry studies on the optical constants of indium tin oxide films deposited under various sputtering conditions. Thin Solid Film. 2004, 467, 36–42. [Google Scholar] [CrossRef]
- Chen, C.; Wang, Z.; Wu, K.; Ye, H. Tunable near-infrared epsilon-near-zero and plasmonic properties of Ag-ITO co-sputtered composite films. Sci. Technol. Adv. Mater. 2018, 9, 174–184. [Google Scholar] [CrossRef]
- Matino, F.; Persano, L.; Arima, V.; Pisignano, D.; Blyth, R.I.R.; Cingolani, R.; Rinaldi, R. Electronic structure of indium-tin-oxide films fabricated by reactive electron-beam deposition. Phys. Rev. B 2005, 72, 085437. [Google Scholar] [CrossRef]
- Blaha, M.; Jindra, M.; Volovhanskyi, O.; Plsek, J.; Mergl, M.; Frank, O.; Kalbac, M. Interactions at the graphene/polyaniline interface: Electron donation from graphene to polyaniline and stabilization of polarons. Adv. Compos. Hybrid Mater. 2025, 8, 381. [Google Scholar] [CrossRef]
- Nunes, W.G.; Pires, B.M.; Thaines, E.H.N.S.; Pereira, G.M.A.; Silva, L.M.; Freitas, R.G.; Zanin, H. Operando Raman spectroelectrochemical study of polyaniline degradation: A joint experimental and theoretical analysis. J. Energy Storage 2022, 55, 105770. [Google Scholar] [CrossRef]
- Sapurina, I.; Stejskal, J. The mechanism of the oxidative polymerization of aniline and the formation of supramolecular polyaniline structures. Polym. Int. 2008, 57, 1295–1325. [Google Scholar] [CrossRef]
- Shishov, M.A.; Moshnikov, V.A.; Sapurina, I.Y. Self-organization of polyaniline during oxidative polymerization: Formation of granular structure. Chem. Pap. 2013, 67, 909–918. [Google Scholar] [CrossRef]
- Chilkin, P.; Łapkowski, M. An Insight into Ionic Conductivity of Polyaniline Thin Films. Materials 2020, 13, 2877. [Google Scholar] [CrossRef]
- Chang, S.-S.; Wu, C.-G. Effects of Polymerization Media on the Nanoscale Conductivity and Current-Voltage Characteristics of Chemically Synthesized Polyaniline Films. J. Phys. Chem. B 2005, 109, 18275–18282. [Google Scholar] [CrossRef] [PubMed]
- Sari, B.; Talu, M.; Yildirim, F. Electrochemical Polymerization of Aniline at Low Supporting-Electrolyte Concentrations and Characterization of Obtained Films. Russ. J. Electrochem. 2002, 38, 707–713. [Google Scholar] [CrossRef]
- Bednarczyk, K.; Matysiak, W.; Tański, T.; Janeczek, H.; Schab-Balcerzak, E.; Libera, M. Effect of polyaniline content and protonating dopants on electroconductive composites. Sci. Rep. 2021, 11, 7487. [Google Scholar] [CrossRef]
- Tsuji, K.; Maeda, T.; Hotta, A. Polymer Surface Modifications by Coating. In Printing on Polymers; Elsevier: Amsterdam, The Netherlands, 2016; pp. 143–160. [Google Scholar] [CrossRef]
- Clark, M.D.; Leever, B.J. Analysis of ITO cleaning protocol on surface properties and polymer: Fullerene bulk heterojunction solar cell performance. Sol. Energy Mater. Sol. Cells 2013, 116, 270–274. [Google Scholar] [CrossRef]







| Number of Cycles/ Scan Rate | Polyaniline on ITO with: | ||
|---|---|---|---|
| 70–100 Ω/sq Glass | 80–100 Ω/sq Glass | 15–25 Ω/sq Glass | |
| 7/ 50 mV‧s−1 | ![]() | ![]() | ![]() |
| 13/ 50 mV‧s−1 | ![]() | ![]() | - |
| 7/ 100 mV‧s−1 | ![]() | ![]() | ![]() |
| 13/ 100 mV‧s−1 | ![]() | ![]() | - |
| ITO Type | |||
|---|---|---|---|
| 70–100 Ω/sq | 80–100 Ω/sq | 15–25 Ω/sq | |
| ωp [1/s] | 2.97·1015 | 2.98·1015 | 3.10·1015 |
| τ [s] | 7.33·10−15 | 6.48·10−15 | 8.11·10−15 |
| μ [m2/V·s] | 3.68·10−3 | 3.25·10−3 | 4.07·10−3 |
| N [1/m3] | 9.74·1026 | 9.75·1026 | 1.06·1027 |
| σ [S/m] | 5.75·105 | 5.09·105 | 6.89·105 |
| R [Ω/sq] | 102.25 | 130.97 | 19.85 |
Disclaimer/Publisher’s Note: The statements, opinions and data contained in all publications are solely those of the individual author(s) and contributor(s) and not of MDPI and/or the editor(s). MDPI and/or the editor(s) disclaim responsibility for any injury to people or property resulting from any ideas, methods, instructions or products referred to in the content. |
© 2026 by the authors. Licensee MDPI, Basel, Switzerland. This article is an open access article distributed under the terms and conditions of the Creative Commons Attribution (CC BY) license.
Share and Cite
Kotowicz, S.; Hajduk, B.; Jarka, P.; Pająk, A.K.; Kumari, P.; Barzic, A.I. Aniline Electropolymerization on Indium–Tin Oxide Nanofilms with Different Surface Resistivity: A Comprehensive Study. Nanomaterials 2026, 16, 165. https://doi.org/10.3390/nano16030165
Kotowicz S, Hajduk B, Jarka P, Pająk AK, Kumari P, Barzic AI. Aniline Electropolymerization on Indium–Tin Oxide Nanofilms with Different Surface Resistivity: A Comprehensive Study. Nanomaterials. 2026; 16(3):165. https://doi.org/10.3390/nano16030165
Chicago/Turabian StyleKotowicz, Sonia, Barbara Hajduk, Paweł Jarka, Agnieszka Katarzyna Pająk, Pallavi Kumari, and Andreea Irina Barzic. 2026. "Aniline Electropolymerization on Indium–Tin Oxide Nanofilms with Different Surface Resistivity: A Comprehensive Study" Nanomaterials 16, no. 3: 165. https://doi.org/10.3390/nano16030165
APA StyleKotowicz, S., Hajduk, B., Jarka, P., Pająk, A. K., Kumari, P., & Barzic, A. I. (2026). Aniline Electropolymerization on Indium–Tin Oxide Nanofilms with Different Surface Resistivity: A Comprehensive Study. Nanomaterials, 16(3), 165. https://doi.org/10.3390/nano16030165











