Investigation of the Absorption Spectrum of InAs Doping Superlattice Solar Cells
Abstract
1. Introduction
2. Materials and Methods
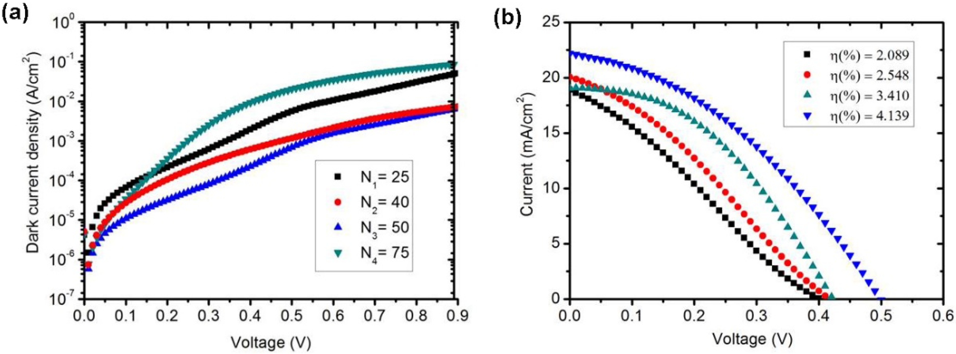
3. Results and Discussion
4. Conclusions
Author Contributions
Funding
Data Availability Statement
Acknowledgments
Conflicts of Interest
References
- Ghosh, B.K.; Hasanuzzman, M.; Saad, I.; Mohamad, K.A.; Hossain, M.K. Photovoltaic technologies photothermal challenges: Thin active layer solar cells significance. Optik 2023, 274, 170567. [Google Scholar] [CrossRef]
- Shockley, W.; Queisser, H.J. Detailed balance limit of efficiency of p-n junction solar cells. J. Appl. Phys. 1961, 32, 510–519. [Google Scholar] [CrossRef]
- Kumar, S.; Kumar, S.; Rai, R.N.; Lee, Y.; Nguyen, T.H.C.; Kim, S.Y.; Le, Q.V.; Singh, L. Recent development in two-dimensional material-based advanced photoanodes for high-performance dye-sensitized solar cells. Solar Energy 2023, 249, 606–623. [Google Scholar] [CrossRef]
- Laska, M.; Krzemińska, Z.; Kluczyk-Korch, K.; Schaadt, D.; Popko, E.; Jacak, W.A.; Jacak, J.E. Metallization of solar cells, exciton channel of plasmon photovoltaic effect in perovskite cells. Nano Energy 2020, 75, 104751. [Google Scholar] [CrossRef]
- Law, M.; Greene, L.E.; Johnson, J.C.; Saykally, R.; Yang, P. Nanowire dye-sensitized solar cells. Nat. Mater. 2005, 4, 455–459. [Google Scholar] [CrossRef] [PubMed]
- Yang, D.; Jiang, S.; Yang, Z.H.; Jiang, L.; Mo, L.; Hu, L.H.; Que, Y.P.; Dai, S.Y. High performance dye-sensitized solar cells with enhanced light-harvesting efficiency based on polyvinylpyrrolidone-coated Au-TiO2 microspheres. ChemSusChem 2016, 9, 720–727. [Google Scholar]
- Eperon, G.E.; Burlakov, V.M.; Docampo, P.; Goriely, A.; Snaith, H.J. Morphological control for high performance, solution-processed planar heterojunction perovskite solar cells. Adv. Funct. Mater. 2014, 24, 151–157. [Google Scholar] [CrossRef]
- Jacak, J.E.; Jacak, W.A. Routes for metallization of perovskite solar cells. Materials 2022, 15, 2254. [Google Scholar] [CrossRef] [PubMed]
- Chen, F.D.; Zong, M.J.; Tan, Z.X.; Tang, X.B. Degradation characteristics and equivalent analysis of InGaAsP space solar cells under proton and neutron irradiation. Microelectron. Reliab. 2023, 151, 115249. [Google Scholar] [CrossRef]
- Dahal, R.; Pantha, B.; Li, J.; Lin, J.Y.; Jiang, H.X. InGaN/GaN multiple quantum well solar cells with long operating wavelengths. Appl. Phys. Lett. 2009, 94, 063505. [Google Scholar] [CrossRef]
- Courel, M.; Rimada, J.C.; Hernandez, L. GaAs/GaInNAs quantum well and superlattice solar cell. Appl. Phys. Lett. 2012, 100, 073508. [Google Scholar] [CrossRef]
- Esaki, L.; Tsu, R. Superlattice and negative differential conductivity in semiconductors. IBM J. Res. Dev. 1970, 14, 61–65. [Google Scholar] [CrossRef]
- Slocum, M.; Forbes, A.D.V.; Hubbard, S.M. Subbadgap current collection through the implementation of a doping superlattice solar cell. Appl. Phys. Lett. 2012, 101, 073901. [Google Scholar] [CrossRef]
- Hoang, A.M.; Chen, G.; Chevallier, R.; Haddadi, A.; Razeghi, M. High performance photodetectors based on InAs/InAsSb type-II superlattices for very long wavelength infrared detection. Appl. Phys. Lett. 2014, 104, 251105. [Google Scholar] [CrossRef]
- Scamarcio, G.; Capasso, F.; Sirtori, C.; Faist, J.; Hutchinson, A.L.; Sivco, D.L.; Cho, A.Y. High-power infrared (8-Micrometer wavelength) superlattice lasers. Science 1997, 5313, 773–776. [Google Scholar] [CrossRef] [PubMed]
- Dealer, G. Electrical and optical properties of crystals with “nipi-superstructure”. Phys. Status Solidi B 1972, 52, 79–92. [Google Scholar] [CrossRef]
- Clark, R.O.; Goradia, C.; Brinker, D.J. Dependence of lifetime on design parameters of an nipi doping superlattice: Results of selfconsistent calculations. Superlattice Microst. 1988, 4, 187–193. [Google Scholar] [CrossRef]
- Dohler, G.H.; Ruden, P.P. Theory of absorption in doping superlattice. Phys. Rev. B 1984, 30, 5932–5944. [Google Scholar] [CrossRef]
- Sze, S.M.; Ng, K.K. Physics of Semiconductor Devices; John Wiley & Sons: Hoboken, NJ, USA, 2007. [Google Scholar]
- Alquicira, R.L.M.; Espinola, J.L.C.; Lozada, E.V.; Polupan, G.; Shcherbyna, L. Emission and strain in InGaAs/GaAs quantum wells with InAs quantum dots obtained at different temperatures. Superlattice Microst. 2012, 52, 844–850. [Google Scholar] [CrossRef]
- Vurgaftman, I.; Meyer, J.R.; Ram-Mohan, L.R. Band parameters for III-V compound semiconductors and their alloys. J. Appl. Phys. 2001, 89, 5815–5875. [Google Scholar] [CrossRef]
- Chen, R.; Liu, H.Y.; Sun, H.D. Electronic energy levels and carrier dynamics in InAs/InGaAs dots-in-a-well structure investigated by optical spectroscopy. J. Appl. Phys. 2010, 107, 013513. [Google Scholar] [CrossRef]
- Slocum, M.A.; Forbes, D.V.; McNatt, J.S.; Hubbard, S.M. Epitaxial regrowth contacts for nipi photovoltaic device. IEEE PVSC 2011, 978, 1914–1918. [Google Scholar]
- Dohler, G.H.; Kunzel, H.; Ploog, K. Tunable absorption coefficient in GaAs doping superlattices. Phys. Rev. B 1982, 25, 2616–2626. [Google Scholar] [CrossRef]
- Miller, D.A.B.; Chemla, D.S. Relation between electroabsorption in bulk semicoductors and in quantum wells: The quantum-confined Franz-Keldysh effect. Phys. Rev. B 1986, 33, 6976–6982. [Google Scholar] [CrossRef] [PubMed]




Disclaimer/Publisher’s Note: The statements, opinions and data contained in all publications are solely those of the individual author(s) and contributor(s) and not of MDPI and/or the editor(s). MDPI and/or the editor(s) disclaim responsibility for any injury to people or property resulting from any ideas, methods, instructions or products referred to in the content. |
© 2024 by the authors. Licensee MDPI, Basel, Switzerland. This article is an open access article distributed under the terms and conditions of the Creative Commons Attribution (CC BY) license (https://creativecommons.org/licenses/by/4.0/).
Share and Cite
Peng, R.; Su, W.; Yu, Z.; Cao, J.; Jiang, D.; Wang, D.; Jiao, S. Investigation of the Absorption Spectrum of InAs Doping Superlattice Solar Cells. Nanomaterials 2024, 14, 682. https://doi.org/10.3390/nano14080682
Peng R, Su W, Yu Z, Cao J, Jiang D, Wang D, Jiao S. Investigation of the Absorption Spectrum of InAs Doping Superlattice Solar Cells. Nanomaterials. 2024; 14(8):682. https://doi.org/10.3390/nano14080682
Chicago/Turabian StylePeng, Ruiqin, Wenkang Su, Zhiguo Yu, Jiamu Cao, Dongwei Jiang, Dongbo Wang, and Shujie Jiao. 2024. "Investigation of the Absorption Spectrum of InAs Doping Superlattice Solar Cells" Nanomaterials 14, no. 8: 682. https://doi.org/10.3390/nano14080682
APA StylePeng, R., Su, W., Yu, Z., Cao, J., Jiang, D., Wang, D., & Jiao, S. (2024). Investigation of the Absorption Spectrum of InAs Doping Superlattice Solar Cells. Nanomaterials, 14(8), 682. https://doi.org/10.3390/nano14080682

