Synthesized PANI/CeO2 Nanocomposite Films for Enhanced Anti-Corrosion Performance
Abstract
1. Introduction
2. Corrosion Protection
2.1. Corrosion Mechanism
2.2. Corrosion Prevention Mechanism
2.3. Anticorrosion Coatings
3. Methods
3.1. Materials
3.2. Synthesis Technique
3.3. Characterization Methods
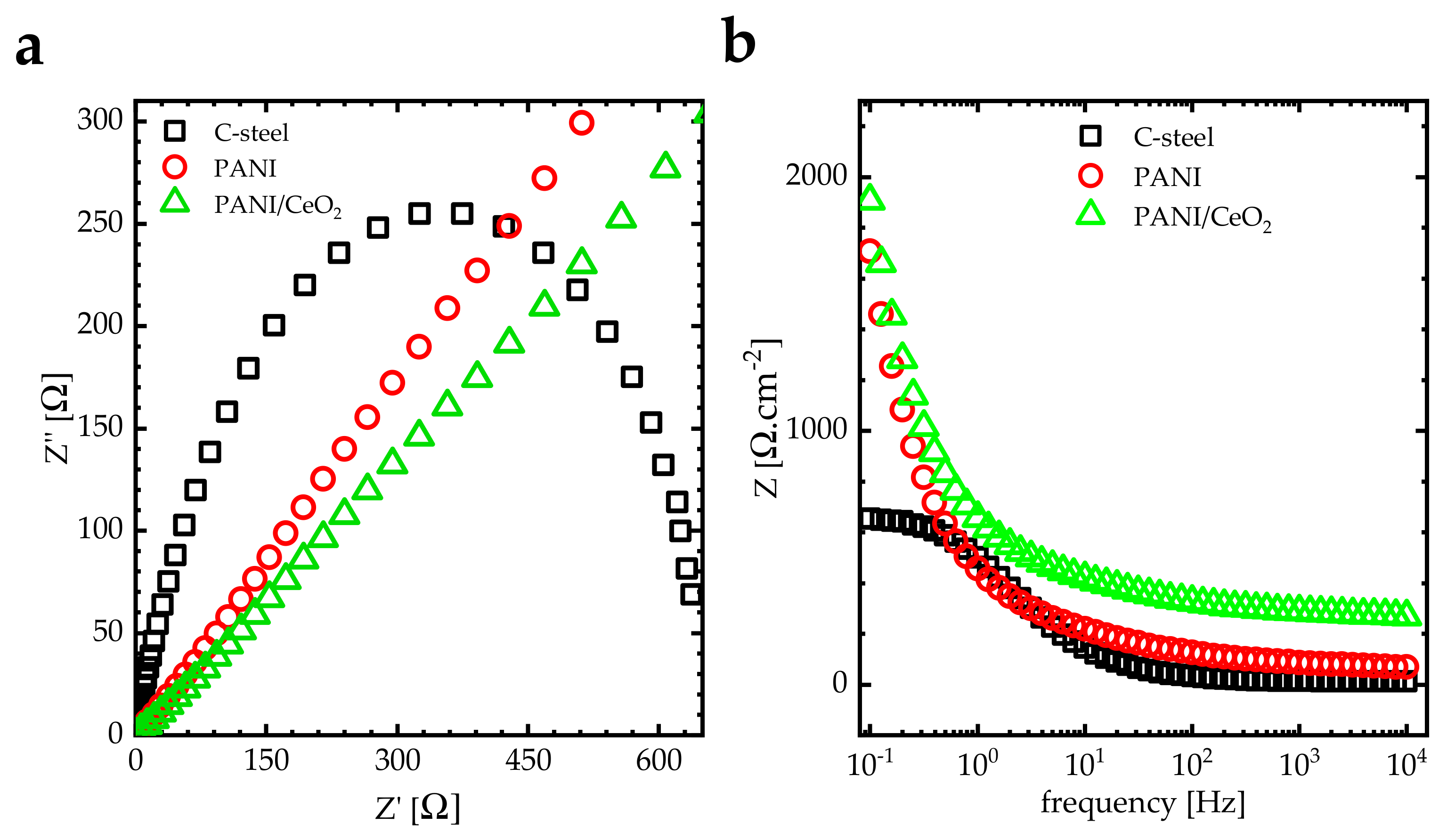
4. Results and Discussion
5. Conclusions
Author Contributions
Funding
Data Availability Statement
Conflicts of Interest
References
- Varney, J.; Thompson, N.; Moghissi, O.; Gould, M.; Payer, J. International Measures of Prevention, Application, and Economics of Corrosion Technologies Study; Jacobson, G., Ed.; NACE International: Dublin, OH, USA; Houston, TX, USA, 2016. [Google Scholar]
- Rajendran, S.; Nguyen, T.; Kakooei, A.S.; Yeganeh, M.; Li, Y. Corrosion Protection at the Nanoscale; Elsevier: Amsterdam, The Netherlands, 2020. [Google Scholar]
- Ramezanzadeh, B.; Mohamadzadeh Moghadam, M.H.; Shohani, N.; Mahdavian, M. Effects of highly crystalline and conductive polyaniline/graphene oxide composites on the corrosion protection performance of a zinc-rich epoxy coating. Chem. Eng. J. 2017, 320, 363–375. [Google Scholar] [CrossRef]
- Taheri, N.N.; Ramezanzadeh, B.; Mahdavian, M.; Bahlakeh, G. In-situ synthesis of Zn doped polyaniline on graphene oxide for inhibition of mild steel corrosion in 3.5 wt.% chloride solution. J. Ind. Eng. Chem. 2018, 63, 322–339. [Google Scholar] [CrossRef]
- Ghali, E.; Sastri, V.S.; Elboujdaini, M. Corrosion Prevention and Protection: Practical Solutions; John Wiley & Sons: Hoboken, NJ, USA, 2007. [Google Scholar]
- Nazari, M.H.; Shi, X. Vehicle risks of winter road operations and best management practices. Sustain. Winter Road Oper. 2018, 241–272. [Google Scholar]
- Hou, B.; Li, X.; Ma, X.; Du, C.; Zhang, D.; Zheng, M.; Xu, W.; Lu, D.; Ma, F. The cost of corrosion in China. NPJ Mater. Degrad. 2017, 1, 4. [Google Scholar] [CrossRef]
- Silva, R.S.; Ferreira, J.Z.; Meneguzzi, A. Anticorrosive acrylic intelligent paint. Chem. Pap. 2019, 74, 631–639. [Google Scholar] [CrossRef]
- Yu, Y.; Zuo, Y.; Zhang, Z.; Wu, L.; Ning, C.; Zuo, C. Al2O3 coatings on zinc for anti-corrosion in alkaline solution by electrospinning. Coatings 2019, 9, 692. [Google Scholar] [CrossRef]
- Pugazhenthi, I.; Safiullah, S.M.; Basha, K.A. UV and corrosion protective behavior of polymer hybrid coating on mild steel. J. Appl. Polym. Sci. 2017, 135, 46175. [Google Scholar] [CrossRef]
- Luo, X.; Zhong, J.; Zhou, Q.; Du, S.; Yuan, S.; Liu, Y. Cationic Reduced Graphene Oxide as Self-Aligned Nanofiller in the Epoxy Nanocomposite Coating with Excellent Anticorrosive Performance and Its High Antibacterial Activity. ACS Appl. Mater. Interfaces 2018, 10, 18400–18415. [Google Scholar] [CrossRef] [PubMed]
- Othman, N.H.; Ismail, M.C.; Mustapha, M.; Sallih, N.; Kee, K.E.; Jaal, R.A. Graphene-based polymer nanocomposites as barrier coatings for corrosion protection. Prog. Org. Coat. 2019, 135, 82–99. [Google Scholar] [CrossRef]
- Nazari, M.H.; Shi, X. Polymer-based nanocomposite coatings for anticorrosion applications. Ind. Appl. Intell. Polym. Coat. 2016, 20, 373–398. [Google Scholar] [CrossRef]
- Natarajan, T.S.; Tsai, C.-H.; Huang, H.-L.; Ho, K.-S.; Lin, I.; Wang, Y.-F. Fabrication of Polyaniline Coated Plasma Modified Polypropylene Filter for Antibioaerosol Application. Aerosol Air Qual. Res. 2016, 16, 1911–1921. [Google Scholar] [CrossRef]
- Qiu, G.; Zhu, A.; Zhang, C. Hierarchically structured carbon nanotube–polyaniline nanobrushes for corrosion protection over a wide pH range. RSC Adv. 2017, 7, 35330–35339. [Google Scholar] [CrossRef]
- Ramezanzadeh, B.; Bahlakeh, G.; Ramezanzadeh, M. Polyaniline-cerium oxide (PAni-CeO2) coated graphene oxide for enhancement of epoxy coating corrosion protection performance on mild steel. Corrosion Sci. 2018, 137, 111–126. [Google Scholar] [CrossRef]
- Hayatgheib, Y.; Ramezanzadeh, B.; Kardar, P.; Mahdavian, M. A comparative study on fabrication of a highly effective corrosion protective system based on graphene oxide-polyaniline nanofibers/epoxy composite. Corros. Sci. 2018, 133, 358–373. [Google Scholar] [CrossRef]
- Abdeslam, M.; Hichem, B.; Youcef, H. Synthesis of polyaniline /CeO2 nanocomposites as inhibitor coating on zinc: Evaluation of the corrosion behaviour. Int. Conf. Sci. Innov. Stud. 2023, 1, 282–288. [Google Scholar] [CrossRef]
- Hosseini, M.G.; Aboutalebi, K. Enhancement the anticorrosive resistance of epoxy coatings by incorporation of CeO2 @ polyaniline @ 2-mercaptobenzotiazole nanocomposite. Synth. Met. 2019, 250, 63–72. [Google Scholar] [CrossRef]
- Montemor, M.; Ferreira, M. Cerium salt activated nanoparticles as fillers for silane films: Evaluation of the corrosion inhibition performance on galvanised steel substrates. Electrochim. Acta 2007, 52, 6976–6987. [Google Scholar] [CrossRef]
- Calado, L.M.; Taryba, M.G.; Carmezim, M.J.; Montemor, M.F. Self-healing ceria-modified coating for corrosion protection of AZ31 magnesium alloy. Corros. Sci. 2018, 142, 12–21. [Google Scholar] [CrossRef]
- Lei, Y.; Qiu, Z.; Tan, N.; Du, H.; Li, D.; Liu, J.; Liu, T.; Zhang, W.; Chang, X. Polyaniline/CeO2 nanocomposites as corrosion inhibitors for improving the corrosive performance of epoxy coating on carbon steel in 3.5% NaCl solution. Prog. Org. Coat. 2019, 139, 105430. [Google Scholar] [CrossRef]
- Daikh, S.; Zeggai, F.; Bellil, A.; Benyoucef, A. Chemical polymerization, characterization and electrochemical studies of PANI/ZnO doped with hydrochloric acid and/or zinc chloride: Differences between the synthesized nanocomposites. J. Phys. Chem. Solids 2018, 121, 78–84. [Google Scholar] [CrossRef]
- Kulkarni, M.V.; Viswanath, A.K.; Marimuthu, R.; Seth, T. Spectroscopic, transport, and morphological studies of polyaniline doped with inorganic acids. Polym. Eng. Sci. 2004, 44, 1676–1681. [Google Scholar] [CrossRef]
- Chamroukhi, H.; Hamed, Z.B.; Telfah, A.; Bassou, M.; Zeinert, A.; Hergenröder, R.; Bouchriha, H. Optical and structural properties enhancement of hybrid nanocomposites thin films based on polyaniline doped with Zinc Oxide embedded in bimodal mesoporous silica (ZnO@ SiOX) nanoparticles. Opt. Mater. 2018, 84, 703–713. [Google Scholar] [CrossRef]
- Mazzeu, M.A.C.; Faria, L.K.; Cardoso, A.D.M.; Gama, A.M.; Baldan, M.R.; Gonçalves, E.S. Structural and Morphological Characteristics of Polyaniline Synthesized in Pilot Scale. J. Aerosp. Technol. Manag. 2017, 9, 39–47. [Google Scholar] [CrossRef]
- Diggikar, R.S.; Deshmukh, S.P.; Thopate, T.S.; Kshirsagar, S.R. Performance of Polyaniline Nanofibers (PANI NFs) as PANI NFs-Silver (Ag) Nanocomposites (NCs) for Energy Storage and Antibacterial Applications. ACS Omega 2019, 4, 5741–5749. [Google Scholar] [CrossRef]
- Bhadra, S.; Khastgir, D. Determination of crystal structure of polyaniline and substituted polyanilines through powder X-ray diffraction analysis. Polym. Test. 2008, 27, 851–857. [Google Scholar] [CrossRef]
- Xiang, T.; Chen, X.; Guo, Z.; Wang, J.; Cui, L.; Qiang, Y.; Zhang, S. Robust solid slippery surface for anti-corrosion: Experimental and simulation. Prog. Org. Coat. 2024, 188, 108250. [Google Scholar] [CrossRef]
- Dhahri, I.; Ellouze, M.; Labidi, S.; Al-Bataineh, Q.M.; Etzkorn, J.; Guermazi, H.; Telfah, A.; Tavares, C.J.; Hergenröder, R.; Appel, T. Optical and structural properties of ZnO NPs and ZnO–Bi2O3 nanocomposites. Ceram. Int. 2021, 48, 266–277. [Google Scholar] [CrossRef]
- Hassanien, A.; Abdelhaleem, S.; Ahmad, R.; Schuster, M.; Moustafa, S.H.; Distaso, M.; Peukert, W.; Wellmann, P.J. Effect of Fast Annealing on Structural Characteristics and Optical Properties of Cu2ZnSnS4 Absorber Films Deposited by Doctor-Blade Technique. J. Nanoelectron. Optoelectron. 2019, 14, 1394–1400. [Google Scholar] [CrossRef]
- Al-Bataineh, Q.M.; Shpacovitch, V.; Sadiq, D.; Telfah, A.; Hergenröder, R. Surface Plasmon Resonance Sensitivity Enhancement Based on Protonated Polyaniline Films Doped by Aluminum Nitrate. Biosensors 2022, 12, 1122. [Google Scholar] [CrossRef]
- Hassanien, A.S.; Neffati, R.; Aly, K. Impact of Cd-addition upon optical properties and dispersion parameters of thermally evaporated CdxZn1-xSe films: Discussions on bandgap engineering, conduction and valence band positions. Optik 2020, 212, 164681. [Google Scholar] [CrossRef]
- Hassanien, A.M.; A Atta, A.; A Ward, A.; A Ahmed, E.M.; Alsubaie, A.; El-Nahass, M.; Altalhi, T. Investigation of structural, electrical and optical properties of chitosan/fullerene composites. Mater. Res. Express 2019, 6, 125304. [Google Scholar] [CrossRef]
- Toušek, J.; Rutsch, R.; Toušková, J. Explanation of the high conductivity of HCl protonated polyaniline films. Mater. Chem. Phys. 2020, 260, 124153. [Google Scholar] [CrossRef]
- Stejskal, J.; Sapurina, I. Polyaniline: Thin films and colloidal dispersions (IUPAC Technical Report). Pure Appl. Chem. 2005, 77, 815–826. [Google Scholar] [CrossRef]
- Al-Gharram, M.; Jum’h, I.; Telfah, A.; Al-Hussein, M. Highly crystalline conductive electrodeposited films of PANI-CSA/CoFe2O4 nanocomposites. Colloids Surf. A Physicochem. Eng. Asp. 2021, 628, 127342. [Google Scholar] [CrossRef]
- Yang, S.; Zhu, S.; Hong, R. Graphene Oxide/Polyaniline Nanocomposites Used in Anticorrosive Coatings for Environmental Protection. Coatings 2020, 10, 1215. [Google Scholar] [CrossRef]
- Lin, Y.-T.; Don, T.M.; Wong, C.J.; Meng, F.C.; Lin, Y.J.; Lee, S.Y.; Lee, C.-F.; Chiu, W.-Y. Improvement of mechanical properties and anticorrosion performance of epoxy coatings by the introduction of polyaniline/graphene composite. Surf. Coat. Technol. 2019, 374, 1128–1138. [Google Scholar] [CrossRef]
- Al-Amiery, A.A.; Mohamad, A.B.; Kadhum, A.A.H.; Shaker, L.M.; Isahak, W.N.R.W.; Takriff, M.S. Experimental and theoretical study on the corrosion inhibition of mild steel by nonanedioic acid derivative in hydrochloric acid solution. Sci. Rep. 2022, 12, 1–21. [Google Scholar] [CrossRef]
- Almashhadani, H. Synthesis of a CoO–ZnO nanocomposite and its study as a corrosion protection coating for stainless steel in saline solution. Int. J. Corros. Scale Inhib. 2021, 10, 1294–1306. [Google Scholar]
- Telfah, A.; Kalfe-Yildiz, A.; Al Bataineh, Q.M.; Jum’H, I.; Tavares, C.J.; Hergenröder, R. Thermal-dependent morphological evolution effect on ion transportation in polyethylene oxide films. Polymer 2023, 288, 126440. [Google Scholar] [CrossRef]







| C-Steel | PANI | PANI/CeO2 | |
|---|---|---|---|
| CR [mm/year] | 1.445 | 0.390 | 0.112 |
| (%) | - | 72.90 | 92.25 |
| [eV] | 0.27 | 0.34 | 0.39 |
Disclaimer/Publisher’s Note: The statements, opinions and data contained in all publications are solely those of the individual author(s) and contributor(s) and not of MDPI and/or the editor(s). MDPI and/or the editor(s) disclaim responsibility for any injury to people or property resulting from any ideas, methods, instructions or products referred to in the content. |
© 2024 by the authors. Licensee MDPI, Basel, Switzerland. This article is an open access article distributed under the terms and conditions of the Creative Commons Attribution (CC BY) license (https://creativecommons.org/licenses/by/4.0/).
Share and Cite
Alsaad, A.M.; Al-Hmoud, M.; Rababah, T.M.; Marashdeh, M.W.; Aljaafreh, M.J.; Abu Alrub, S.; Binzowaimil, A.; Telfah, A. Synthesized PANI/CeO2 Nanocomposite Films for Enhanced Anti-Corrosion Performance. Nanomaterials 2024, 14, 526. https://doi.org/10.3390/nano14060526
Alsaad AM, Al-Hmoud M, Rababah TM, Marashdeh MW, Aljaafreh MJ, Abu Alrub S, Binzowaimil A, Telfah A. Synthesized PANI/CeO2 Nanocomposite Films for Enhanced Anti-Corrosion Performance. Nanomaterials. 2024; 14(6):526. https://doi.org/10.3390/nano14060526
Chicago/Turabian StyleAlsaad, Ahmad M., Mohannad Al-Hmoud, Taha M. Rababah, Mohammad W. Marashdeh, Mamduh J. Aljaafreh, Sharif Abu Alrub, Ayed Binzowaimil, and Ahmad Telfah. 2024. "Synthesized PANI/CeO2 Nanocomposite Films for Enhanced Anti-Corrosion Performance" Nanomaterials 14, no. 6: 526. https://doi.org/10.3390/nano14060526
APA StyleAlsaad, A. M., Al-Hmoud, M., Rababah, T. M., Marashdeh, M. W., Aljaafreh, M. J., Abu Alrub, S., Binzowaimil, A., & Telfah, A. (2024). Synthesized PANI/CeO2 Nanocomposite Films for Enhanced Anti-Corrosion Performance. Nanomaterials, 14(6), 526. https://doi.org/10.3390/nano14060526

