Constructing Efficient CuO-Based CO Oxidation Catalysts with Large Specific Surface Area Mesoporous CeO2 Nanosphere Support
Abstract
1. Introduction
2. Materials and Methods
2.1. The Synthesis of the Mesoporous CeO2 Nanosphere
2.2. The Preparation of the CuO/NS-CeO2 Supported Catalysts
2.3. Catalyst Characterizations
2.4. The Measurements of the Catalytic Performances
3. Results and Discussion
3.1. Characterizations of the Supports
3.2. Characterizations of the as-Prepared Catalysts
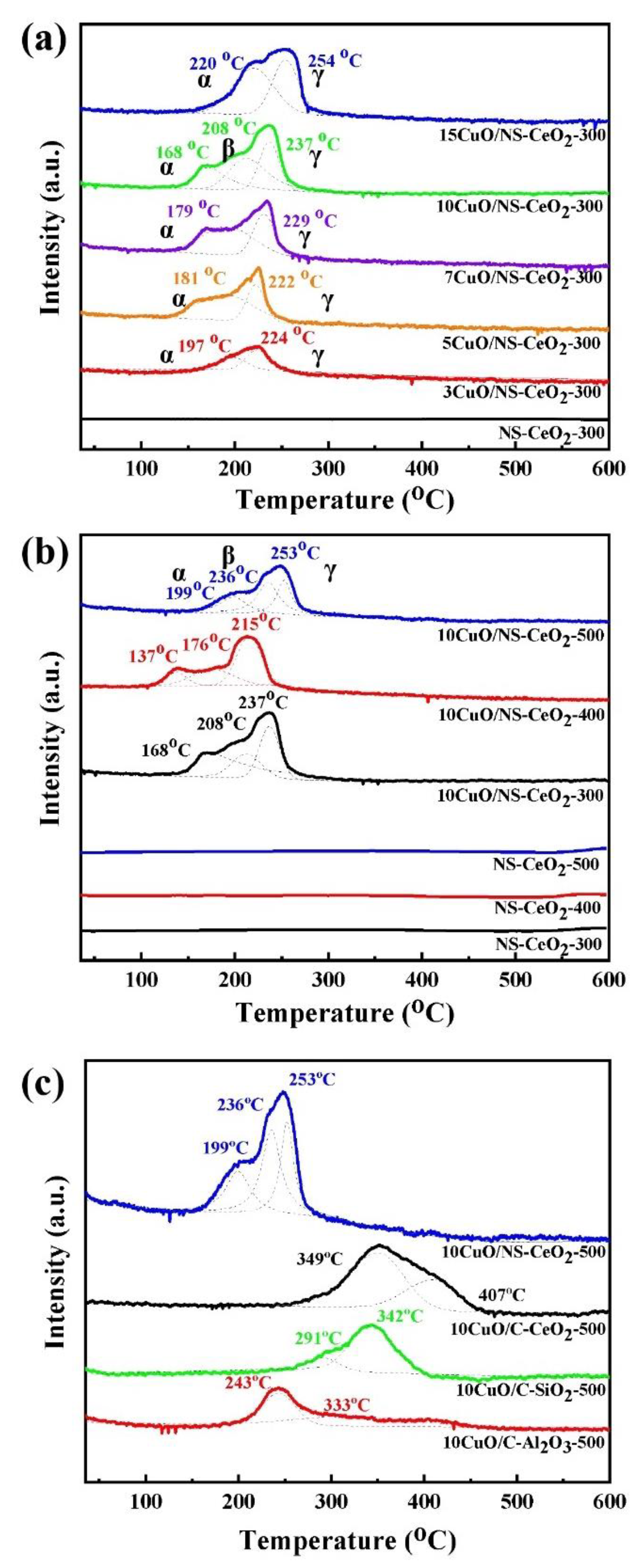
3.2.1. In Situ DRIFTS of Calcination Process of CuO-Based Catalyst Precursors
3.2.2. XRD Analysis
3.2.3. N2 Physisorption Analysis
3.2.4. SEM, EDS Mapping, and TEM Analyses
3.2.5. XPS Analysis
3.2.6. H2-TPR Analysis
3.3. Catalytic Performances of CuO-Based Catalysts toward CO Oxidation
3.3.1. Effect of the CuO Loading Amount on the Catalytic Activity of CO Oxidation
3.3.2. Effect of the Calcination Temperature on the Catalytic Activities of CO Oxidation
3.3.3. Effects of Mesostructure and Redox Property of the Support on the Catalytic Activity of CO Oxidation
3.3.4. Stability Test of the 10CuO/NS-CeO2-500 Catalyst
4. Conclusions
Supplementary Materials
Author Contributions
Funding
Data Availability Statement
Conflicts of Interest
References
- Xiao, M.; Zhang, X.; Yang, Y.; Cui, X.; Chen, T.; Wang, Y. M (M = Mn, Co, Cu)-CeO2 catalysts to enhance their CO catalytic oxidation at a low temperature: Synergistic effects of the interaction between Ce3+-Mx+-Ce4+ and the oxygen vacancy defects. Fuel 2022, 323, 124379. [Google Scholar] [CrossRef]
- Liotta, L.F. Catalytic oxidation of volatile organic compounds on supported noble metals. Appl. Catal. B Environ. 2010, 100, 403–412. [Google Scholar] [CrossRef]
- Deng, Y.; Fu, L.; Song, W.; Ouyang, L.; Yuan, S. Transition metal and Pr co-doping induced oxygen vacancy in Pd/CeO2 catalyst boosts low-temperature CO oxidation. Sep. Purif. Technol. 2023, 311, 123247. [Google Scholar] [CrossRef]
- Folinsbee, L.J. Human health effects of air pollution. Environ. Health Perspect. 1993, 100, 45–56. [Google Scholar] [CrossRef]
- Dey, S.; Dhal, G.C. The catalytic activity of cobalt nanoparticles for low-temperature oxidation of carbon monoxide. Mater. Today Chem. 2019, 14, 100198. [Google Scholar] [CrossRef]
- Tang, Z.; Geng, D.; Lu, G. Size-controlled synthesis of colloidal platinum nanoparticles and their activity for the electrocatalytic oxidation of carbon monoxide. J. Colloid Interface Sci. 2005, 287, 159–166. [Google Scholar] [CrossRef] [PubMed]
- Zhang, Z.; Fan, L.; Liao, W.; Zhao, F.; Tang, C.; Zhang, J.; Feng, M.; Lu, J.Q. Structure sensitivity of CuO in CO oxidation over CeO2-CuO/Cu2O catalysts. J. Catal. 2022, 405, 333–345. [Google Scholar] [CrossRef]
- Guo, X.; Ye, W.; Chen, Z.A.; Zhou, A.; Jin, D.; Ma, T. Simulated solar light-driven photothermal preferential oxidation of carbon monoxide in H2-rich streams over fast-synthesized CuCeO2-x nanorods. Appl. Catal. B Environ. 2022, 310, 121334. [Google Scholar] [CrossRef]
- Chen, W.; Xu, J.; Huang, F.; Zhao, C.; Guan, Y.; Fang, Y.; Hu, J.; Yang, W.; Luo, Z.; Guo, Y. CO oxidation over CuOx/TiO2 catalyst: The importance of oxygen vacancies and Cu+ species. Appl. Surf. Sci. 2023, 618, 156539. [Google Scholar] [CrossRef]
- Xu, L.; Yang, X.; Shi, Y.; Chen, M.; Xue, Y.; Wu, C.-E.; Qiu, J.; Cheng, G.; Wang, N.; Xu, J.; et al. CO oxidation over the Cu2O/CuO hollow sphere heterojunction catalysts with enhanced low-temperature activities. Int. J. Hydrogen Energy 2023, 48, 24845–24859. [Google Scholar] [CrossRef]
- Xiang, G.; Zhao, S.; Wei, C.; Liu, C.; Fei, H.; Liu, Z.; Yin, S. Atomically dispersed Au catalysts for preferential oxidation of CO in H2-rich stream. Appl. Catal. B Environ. 2021, 296, 120385. [Google Scholar] [CrossRef]
- Slavinskaya, E.M.; Stadnichenko, A.I.; Domínguez, J.E.Q.; Stonkus, O.A.; Vorokhta, M.; Šmíd, B.; Castro-Latorre, P.; Bruix, A.; Neyman, K.M.; Boronin, A.I. States of Pt/CeO2 catalysts for CO oxidation below room temperature. J. Catal. 2023, 421, 285–299. [Google Scholar] [CrossRef]
- Xu, G.; Liu, F.; Lu, Z.; Talib, S.H.; Ma, D.; Yang, Z. Design of promising single Rh atom catalyst for CO oxidation based on Graphdiyne sheets. Phys. E Low-Dimens. Syst. Nanostruct. 2021, 130, 114676. [Google Scholar] [CrossRef]
- Li, G.; Zhang, X.; Feng, W.; Fang, X.; Liu, J. Nanoporous CeO2-Ag catalysts prepared by etching the CeO2/CuO/Ag2O mixed oxides for CO oxidation. Corros. Sci. 2018, 134, 140–148. [Google Scholar] [CrossRef]
- Yang, Z.; Mao, D.; Guo, X.; Lu, G. CO oxidation over CuO catalysts supported on CeO2-ZrO2 prepared by microwave-assisted co-precipitation: The influence of CuO content. J. Rare Earth. 2014, 32, 117–123. [Google Scholar] [CrossRef]
- Zhang, Y.; Qin, G.; Zheng, J.; Li, Y.; Huang, Z.; Han, X. Promotion effect of CO oxidation via activation of surface lattice oxygen by single atom Cu/MnO2 catalyst. Mol. Catal. 2023, 540, 113057. [Google Scholar] [CrossRef]
- Hu, X.; Mao, D.; Yu, J.; Xue, Z. Low-temperature CO oxidation on CuO-CeO2-ZrO2 catalysts prepared by a facile surfactant-assisted grinding method. Fuel 2023, 340, 127529. [Google Scholar] [CrossRef]
- Liu, C.F.; Wang, X.F.; Wen, C.H.; Li, B.; Tang, C.; Lu, J.Q.; Luo, M.F.; Chen, J. Discerning and modulating critical surface active sites for propane and CO oxidation over Co3O4 based catalyst. Appl. Surf. Sci. 2023, 617, 156572. [Google Scholar] [CrossRef]
- Sharifianjazi, F.; Esmaeilkhanian, A.; Bazli, L.; Eskandarinezhad, S.; Khaksar, S.; Shafiee, P.; Yusuf, M.; Abdullah, B.; Salahshour, P.; Sadeghi, F. A review on recent advances in dry reforming of methane over Ni-and Co-based nanocatalysts. Int. J. Hydrogen Energy 2022, 47, 42213–42233. [Google Scholar] [CrossRef]
- Moretti, E.; Molina, A.I.; Sponchia, G.; Talon, A.; Frattini, R.; Rodriguez-Castellon, E.; Storaro, L. Low-temperature carbon monoxide oxidation over zirconia-supported CuO-CeO2 catalysts: Effect of zirconia support properties. Appl. Surf. Sci. 2017, 403, 612–622. [Google Scholar] [CrossRef]
- Antony, A.; Sun, M.Y.; Jin-Hyo, B.; You, H.B. Nano sheets, needles and grains-like CuO/γ-Al2O3 catalysts’ performance in carbon monoxide oxidation. J. Solid State Chem. 2018, 265, 431–439. [Google Scholar] [CrossRef]
- Serafin, J.; Llorca, J. Nanoshaped Cerium Oxide with Nickel as a Non-Noble Metal Catalyst for CO2 Thermochemical Reactions. Molecules 2023, 28, 2926. [Google Scholar] [CrossRef]
- Tang, X.; Zhang, B.; Li, Y.; Xu, Y.; Xin, Q.; Shen, W. Carbon monoxide oxidation over CuO/CeO2 catalysts. Catal. Today 2004, 93–95, 191–198. [Google Scholar] [CrossRef]
- Yang, W.; Wang, X.; Song, S.; Zhang, H. Syntheses and applications of noble-metal-free CeO2-based mixed-oxide nanocatalysts. Chem 2019, 5, 1743–1774. [Google Scholar] [CrossRef]
- Park, H.; Lee, E.J.; Woo, H.; Yoon, D.; Kim, C.H.; Jung, C.H.; Lee, K.B.; Lee, K.-Y. Enhanced hydrothermal durability of Co3O4@ CuO-CeO2 Core-Shell catalyst for carbon monoxide and propylene oxidation. Appl. Surf. Sci. 2022, 606, 154916. [Google Scholar] [CrossRef]
- Jin, W.; Liu, Y.; Yu, J.; Guo, X.; Mao, D. Effect of copper precursors on CO oxidation catalyzed by CuO-CeO2 prepared by solvothermal method. J. Rare Earth. 2022, 41, 1953–1962. [Google Scholar] [CrossRef]
- Gurbani, A.; Ayastuy, J.L.; González-Marcos, M.P.; Gutiérrez-Ortiz, M.A. CuO-CeO2 catalysts synthesized by various methods: Comparative study of redox properties. Int. J. Hydrogen Energy 2010, 35, 11582–11590. [Google Scholar] [CrossRef]
- Valentini, A.; Carreno, N.; Probst, L.; Barison, A.; Ferreira, A.; Leite, E.; Longo, E. Ni: CeO2 nanocomposite catalysts prepared by polymeric precursor method. Appl. Catal. A Gen. 2006, 310, 174–182. [Google Scholar] [CrossRef]
- Dubey, M.; Wadhwa, S.; Mathur, A.; Kumar, R. Progress in mesoporous ceria: A review on synthesis strategies and catalytic applications. Appl. Surf. Sci. Adv. 2022, 12, 100340. [Google Scholar] [CrossRef]
- Guo, M.N.; Guo, C.X.; Jin, L.Y.; Wang, Y.J.; Lu, J.Q.; Luo, M.F. Nano-sized CeO2 with extra-high surface area and its activity for CO oxidation. Mater. Lett. 2010, 64, 1638–1640. [Google Scholar] [CrossRef]
- Gómez-Cortés, A.; Márquez, Y.; Arenas-Alatorre, J.; Díaz, G. Selective CO oxidation in excess of H2 over high-surface area CuO/CeO2 catalysts. Catal. Today 2008, 133, 743–749. [Google Scholar] [CrossRef]
- Luo, M.F.; Song, Y.P.; Lu, J.Q.; Wang, X.Y.; Pu, Z.Y. Identification of CuO species in high surface area CuO−CeO2 catalysts and their catalytic activities for CO oxidation. J. Phys. Chem. C 2007, 111, 12686–12692. [Google Scholar] [CrossRef]
- Wu, K.; Zhou, L.; Jia, C.J.; Sun, L.D.; Yan, C.H. Pt-embedded-CeO2 hollow spheres for enhancing CO oxidation performance. Mater. Chem. Front. 2017, 1, 1754–1763. [Google Scholar] [CrossRef]
- Liang, X.; Xiao, J.; Chen, B.; Li, Y. Catalytically stable and active CeO2 mesoporous spheres. Inorg. Chem. 2010, 49, 8188–8190. [Google Scholar] [CrossRef]
- Wang, Y.; Wu, J.; Wang, G.; Yang, D.; Ishihara, T.; Guo, L. Oxygen vacancy engineering in Fe doped akhtenskite-type MnO2 for low-temperature toluene oxidation. Appl. Catal. B Environ. 2021, 285, 119873. [Google Scholar] [CrossRef]
- Molenda, M.; Świętosławski, M.; Drozdek, M.; Dudek, B.; Dziembaj, R. Study on Stability and Electrochemical Properties of Nano-LiMn1.9Ni0.1O3.99S0.01-Based Li-Ion Batteries with Liquid Electrolyte Containing LiPF6. J. Nanomater. 2016, 2016, 1–7. [Google Scholar]
- Toops, T.J.; Smith, D.B.; Partridge, W.P. Quantification of the in situ DRIFT spectra of Pt/K/γ-A12O3 NOx adsorber catalysts. Appl. Catal. B Environ. 2005, 58, 245–254. [Google Scholar] [CrossRef]
- Martínez-Arias, A.; Fernández-García, M.; Gálvez, O.; Coronado, J.M.; Anderson, J.A.; Conesa, J.C.; Soria, J.; Munuera, G. Comparative study on redox properties and catalytic behavior for CO oxidation of CuO/CeO2 and CuO/ZrCeO4 catalysts. J. Catal. 2000, 195, 207–216. [Google Scholar] [CrossRef]
- Wen, X.; Xu, L.; Chen, M.; Shi, Y.; Lv, C.; Cui, Y.; Wu, X.; Cheng, G.; Wu, C.E.; Miao, Z.; et al. Exploring the influence of nickel precursors on constructing efficient Ni-based CO2 methanation catalysts assisted with in-situ technologies. Appl. Catal. B Environ. 2021, 297, 120486. [Google Scholar] [CrossRef]
- Zhang, D.F.; Zhang, H.; Guo, L.; Zheng, K.; Han, X.D.; Zhang, Z. Delicate control of crystallographic facet-oriented Cu2O nanocrystals and the correlated adsorption ability. J. Mater. Chem. 2009, 19, 5220–5225. [Google Scholar] [CrossRef]
- Gao, Y.; Chen, X.; Liu, H. A facile approach for synthesis of nano-CeO2 particles loaded co-polymer matrix and their colossal role for blood-brain barrier permeability in Cerebral Ischemia. J. Photoch. Photobio. B 2018, 187, 184–189. [Google Scholar] [CrossRef]
- Ramasamy, V.; Mohana, V.; Rajendran, V. Characterization of Ca doped CeO2 quantum dots and their applications in photocatalytic degradation. OpenNano 2018, 3, 38–47. [Google Scholar] [CrossRef]
- Wang, L.; Lv, H.; Li, B.; Zhao, Y.; Sun, L. Synthesis and antibacterial activity of Ag/CeO2 hybrid architectures. J. Sol-Gel Sci. Techn. 2018, 88, 654–659. [Google Scholar] [CrossRef]
- Vivek, S.; Arunkumar, P.; Babu, K.S. In situ generated nickel on cerium oxide nanoparticle for efficient catalytic reduction of 4-nitrophenol. RSC Adv. 2016, 6, 45947–45956. [Google Scholar] [CrossRef]
- Massiot, P.; Centeno, M.; Carrizosa, I.; Odriozola, J. Thermal evolution of sol-gel-obtained phosphosilicate solids (SiPO). J. Non-Cryst Solids 2001, 292, 158–166. [Google Scholar] [CrossRef]
- Adamczyk, A.; Długoń, E. The FTIR studies of gels and thin films of Al2O3-TiO2 and Al2O3-TiO2-SiO2 systems. Spectrochim. Acta A 2012, 89, 11–17. [Google Scholar] [CrossRef]
- Zhang, F.; Chen, C.; Xiao, W.; Xu, L.; Zhang, N. CuO/CeO2 catalysts with well-dispersed active sites prepared from Cu3(BTC)2 metal-organic framework precursor for preferential CO oxidation. Catal. Commun. 2012, 26, 25–29. [Google Scholar] [CrossRef]
- Liu, W.; Wang, S.; Cui, R.; Song, Z.; Zhang, X. Enhancement of catalytic combustion of toluene over CuMnOx hollow spheres prepared by oxidation method. Micropor. Mesopor. Mat. 2021, 326, 111370. [Google Scholar] [CrossRef]
- Al-Agel, F.A.; Al-Arfaj, E.; Al-Ghamdi, A.A.; Stein, B.D.; Losovyj, Y.; Bronstein, L.M.; Shokr, F.S.; Mahmoud, W.E. Structure and magnetic properties of diluted magnetic metal oxides based on Cu-doped CeO2 nanopowders. Ceram. Int. 2015, 41, 1115–1119. [Google Scholar] [CrossRef]
- Wang, Y.; Yang, D.; Li, S.; Zhang, L.; Zheng, G.; Guo, L. Layered copper manganese oxide for the efficient catalytic CO and VOCs oxidation. Chem. Eng. J. 2019, 357, 258–268. [Google Scholar] [CrossRef]
- Du, L.; Wang, W.; Yan, H.; Wang, X.; Jin, Z.; Song, Q.; Si, R.; Jia, C. Copper-ceria sheets catalysts: Effect of copper species on catalytic activity in CO oxidation reaction. J. Rare Earth. 2017, 35, 1186–1196. [Google Scholar] [CrossRef]
- Liu, W.; Liu, X.; Feng, L.; Guo, J.; Xie, A.; Wang, S.; Zhang, J.; Yang, Y. The synthesis of CeO2 nanospheres with different hollowness and size induced by copper doping. Nanoscale 2014, 6, 10693–10700. [Google Scholar] [CrossRef]
- Ma, J.; Jin, G.; Gao, J.; Li, Y.; Dong, L.; Huang, M.; Huang, Q.; Li, B. Catalytic effect of two-phase intergrowth and coexistence CuO-CeO2. J. Mater. Chem. A 2015, 3, 24358–24370. [Google Scholar] [CrossRef]
- Cam, T.S.; Omarov, S.O.; Chebanenko, M.I.; Sklyarova, A.S.; Nevedomskiy, V.N.; Popkov, V.I. One step closer to the low-temperature CO oxidation over non-noble CuO/CeO2 nanocatalyst: The effect of CuO loading. J. Environ. Chem. Eng. 2021, 9, 105373. [Google Scholar] [CrossRef]
- Lacoste, A.M.; Tiscornia, I.S.; Bonne, M.; Michelin, L.; Lebeau, B.; Boix, A.V. Study of CuO-CeO2 catalysts supported on ordered porous silica with different mesostructure and morphology. Influence on CO preferential oxidation. Micropor. Mesopor. Mat. 2021, 320, 111094. [Google Scholar] [CrossRef]
- Reddy, B.M.; Khan, A.; Yamada, Y.; Kobayashi, T.; Loridant, S.; Volta, J.C. Surface characterization of CeO2/SiO2 and V2O5/CeO2/SiO2 catalysts by Raman, XPS, and other techniques. J. Phys. Chem. B 2002, 106, 10964–10972. [Google Scholar] [CrossRef]
- Zhang, X.; Su, L.; Kong, Y.; Ma, D.; Ran, Y.; Peng, S.; Wang, L.; Wang, Y. CeO2 nanoparticles modified by CuO nanoparticles for low-temperature CO oxidation with high catalytic activity. J. Phys. Chem. Solids 2020, 147, 109651. [Google Scholar] [CrossRef]
- Dong, F.; Meng, Y.; Han, W.; Zhao, H.; Tang, Z. Morphology effects on surface chemical properties and lattice defects of Cu/CeO2 catalysts applied for low-temperature CO oxidation. Sci. Rep. 2019, 9, 12056. [Google Scholar] [CrossRef]
- Qi, L.; Yu, Q.; Dai, Y.; Tang, C.; Liu, L.; Zhang, H.; Gao, F.; Dong, L.; Chen, Y. Influence of cerium precursors on the structure and reducibility of mesoporous CuO-CeO2 catalysts for CO oxidation. Appl. Catal. B Environ. 2012, 119–120, 308–320. [Google Scholar] [CrossRef]
- Xie, Y.; Wu, J.; Jing, G.; Zhang, H.; Zeng, S.; Tian, X.; Zou, X.; Wen, J.; Su, H.; Zhong, C.-J.; et al. Structural origin of high catalytic activity for preferential CO oxidation over CuO/CeO2 nanocatalysts with different shapes. Appl. Catal. B Environ. 2018, 239, 665–676. [Google Scholar] [CrossRef]
- Zeng, S.; Wang, Y.; Ding, S.; Sattler, J.J.H.B.; Borodina, E.; Zhang, L.; Weckhuysen, B.M.; Su, H. Active sites over CuO/CeO2 and inverse CeO2/CuO catalysts for preferential CO oxidation. J. Power Sources 2014, 256, 301–311. [Google Scholar] [CrossRef]
- Zhao, F.; Li, S.; Wu, X.; Yue, R.; Li, W.; Chen, Y. Synergetic effect over flame-made manganese doped CuO-CeO2 nanocatalyst for enhanced CO oxidation performance. RSC Adv. 2019, 9, 2343–2352. [Google Scholar] [CrossRef]
- Lu, J.Q.; Sun, C.X.; Li, N.; Jia, A.P.; Luo, M.F. Kinetic study of CO oxidation over CuO/MO2 (M = Si, Ti and Ce) catalysts. Appl. Surf. Sci. 2013, 287, 124–134. [Google Scholar] [CrossRef]
- Hossain, S.T.; Azeeva, E.; Zhang, K.; Zell, E.T.; Bernard, D.T.; Balaz, S.; Wang, R. A comparative study of CO oxidation over Cu-O-Ce solid solutions and CuO/CeO2 nanorods catalysts. Appl. Surf. Sci. 2018, 455, 132–143. [Google Scholar] [CrossRef]
- Zeng, S.; Zhang, W.; Śliwa, M.; Su, H. Comparative study of CeO2/CuO and CuO/CeO2 catalysts on catalytic performance for preferential CO oxidation. Int. J. Hydrogen Energy 2013, 38, 3597–3605. [Google Scholar] [CrossRef]
- Xi, X.; Ma, S.; Chen, J.-F.; Zhang, Y. Promotional effects of Ce, Mn and Fe oxides on CuO/SiO2 catalysts for CO oxidation. J. Environ. Chem. Eng. 2014, 2, 1011–1017. [Google Scholar] [CrossRef]
- Boukha, Z.; Ayastuy, J.L.; Iglesias-González, A.; Pereda-Ayo, B.; Gutiérrez-Ortiz, M.A.; González-Velasco, J.R. Preparation and characterisation of CuO/Al2O3 films deposited onto stainless steel microgrids for CO oxidation. Appl. Catal. B Environ. 2014, 160–161, 629–640. [Google Scholar] [CrossRef]
- Liu, X.; Li, X.; Qian, H.; Chi, J.; Chen, B.; Wang, S.; Chen, C.; Zhang, N. Preferential CO oxidation over CuOCeO2 catalyst synthesized from MOF with nitrogen-containing ligand as precursor. Int. J. Hydrogen Energy 2018, 43, 23299–23309. [Google Scholar] [CrossRef]
- Tang, X.; Zhang, B.; Li, Y.; Xu, Y.; Xin, Q.; Shen, W. CuO/CeO2 catalysts: Redox features and catalytic behaviors. Appl. Catal. A Gen. 2005, 288, 116–125. [Google Scholar] [CrossRef]
- Zou, H.; Dong, X.; Ling, W. Selective CO oxidation in hydrogen-rich gas over CuO/CeO2 catalysts. Appl. Surf. Sci. 2006, 253, 2893–2898. [Google Scholar] [CrossRef]
- Sun, S.; Mao, D.; Yu, J. Enhanced CO oxidation activity of CuO/CeO2 catalyst prepared by surfactant-assisted impregnation method. J. Rare Earth. 2015, 33, 1268–1274. [Google Scholar] [CrossRef]
- Yang, W.; Su, Z.; Xu, Z.; Yang, W.; Peng, Y.; Li, J. Comparative study of α-, β-, γ-and δ-MnO2 on toluene oxidation: Oxygen vacancies and reaction intermediates. Appl. Catal. B Environ. 2020, 260, 118150. [Google Scholar] [CrossRef]
- Jia, A.P.; Jiang, S.Y.; Lu, J.Q.; Luo, M.F. Study of catalytic activity at the CuO−CeO2 interface for CO oxidation. J. Phys. Chem. C 2010, 114, 21605–21610. [Google Scholar] [CrossRef]
- Konsolakis, M. The role of Copper-Ceria interactions in catalysis science: Recent theoretical and experimental advances. Appl. Catal. B Environ. 2016, 198, 49–66. [Google Scholar] [CrossRef]
- Ahasan, M.R.; Wang, Y.; Wang, R. In situ DRIFTS and CO-TPD studies of CeO2 and SiO2 supported CuOx catalysts for CO oxidation. Mol. Catal. 2022, 518, 112085. [Google Scholar] [CrossRef]
- Shang, H.; Zhang, X.; Xu, J.; Han, Y. Effects of preparation methods on the activity of CuO/CeO2 catalysts for CO oxidation. Front. Chem. Sci. Eng. 2017, 11, 603–612. [Google Scholar] [CrossRef]
- Liu, Y.; Mao, D.; Yu, J.; Guo, X.; Ma, Z. Low-temperature CO oxidation on CuO-CeO2 catalyst prepared by facile one-step solvothermal synthesis: Improved activity and moisture resistance via optimizing the activation temperature. Fuel 2023, 332, 126196. [Google Scholar] [CrossRef]















| Catalysts | Specific Surface Area (m2/g) | Pore Volume (cm3/g) | Average Pore Diameter (nm) | Isotherm Type |
|---|---|---|---|---|
| NS-CeO2 | 190.4 | 0.18 | 3.4 | IV H3 |
| NS-CeO2-300 | 215.8 | 0.16 | 3.4 | IV H3 |
| NS-CeO2-400 | 208.4 | 0.17 | 3.4 | IV H3 |
| NS-CeO2-500 | 181.0 | 0.17 | 3.4 | IV H3 |
| C-CeO2 | 52.6 | 0.14 | 3.4 | IV H3 |
| C-Al2O3 | 170.3 | 0.27 | 3.8 | IV H4 |
| C-SiO2 | 251.1 | 0.71 | 3.4 | IV H3 |
| 3CuO/NS-CeO2-300 | 201.9 | 0.20 | 3.5 | IV H3 |
| 5CuO/NS-CeO2-300 | 194.9 | 0.18 | 3.4 | IV H3 |
| 7CuO/NS- CeO2-300 | 183.1 | 0.19 | 3.4 | IV H3 |
| 10CuO/NS-CeO2-300 | 164.2 | 0.16 | 3.4 | IV H3 |
| 15CuO/NS-CeO2-300 | 137.0 | 0.14 | 3.4 | IV H3 |
| 10CuO/NS-CeO2-400 | 131.5 | 0.14 | 3.4 | IV H3 |
| 10CuO/NS-CeO2-500 | 176.0 | 0.18 | 3.4 | IV H3 |
| 10CuO/C-CeO2-500 | 49.2 | 0.02 | 3.4 | IV H3 |
| 10CuO/C-Al2O3-500 | 120.5 | 0.23 | 3.8 | IV H4 |
| 10CuO/C-SiO2-500 | 215.9 | 1.18 | 31.0 | IV H3 |
| Catalysts | Cu+ Peak Area of Cu 2p 3/2 | (Cu2+ + Cu+) Peak Area of Cu 2p 3/2 | Cu+ Peak Area Ratio a (%) |
|---|---|---|---|
| 10CuO/NS-CeO2-300 | 25,103.5 | 92,420.7 | 27.2 |
| 10CuO/NS-CeO2-400 | 26,307.4 | 91,707.9 | 28.7 |
| 10CuO/NS-CeO2-500 | 28,651.3 | 81,298.7 | 35.2 |
| 10CuO/C-CeO2-500 | 17,565.1 | 73,526.2 | 23.9 |
| 10CuO/C-Al2O3-500 | 7956.9 | 43,507.4 | 18.3 |
| 10CuO/C-SiO2-500 | 3954.8 | 14,713.7 | 26.9 |
| Catalysts | Lattice Oxygen Peak Area of O 1s (Olatt) | Surface Adsorbed Oxygen Peak Area of O 1s (Oads) | Oads/(Olatt + Oads) (%) | Olatt/(Olatt + Oads) (%) | The Normalized Reaction Rate a (10−6 mol·m−2s−1) |
|---|---|---|---|---|---|
| 10CuO/NS-CeO2-300 | 110,631.7 | 100,654.3 | 47.64 | 52.36 | 3.55 |
| 10CuO/NS-CeO2-400 | 128,354.4 | 83,209.0 | 39.33 | 60.67 | 3.65 |
| 10CuO/NS-CeO2-500 | 132,391.4 | 67,324.0 | 33.71 | 66.29 | 3.91 |
| 10CuO/C-CeO2-500 | 118,402.2 | 54,983.0 | 31.71 | 68.29 | 0 |
| Catalysts | Temperature (°C) | Fraction of Total Area (%) | ||||
|---|---|---|---|---|---|---|
| α | β | γ | α | β | γ | |
| 3CuO/NS-CeO2-300 | 197 | — | 224 | 42.7 | — | 57.3 |
| 5CuO/NS-CeO2-300 | 181 | — | 222 | 68.6 | — | 31.4 |
| 7CuO/NS-CeO2-300 | 179 | — | 229 | 62.7 | — | 37.3 |
| 10CuO/NS-CeO2-300 | 168 | 208 | 237 | 45.0 | 22.4 | 32.6 |
| 10CuO/NS-CeO2-400 | 137 | 176 | 215 | 13.0 | 31.0 | 56.0 |
| 10CuO/NS-CeO2-500 | 199 | 236 | 253 | 27.0 | 42.1 | 30.9 |
| 15CuO/NS-CeO2-300 | 220 | — | 254 | 57.0 | — | 43.0 |
| 10CuO/C-CeO2-500 | 349 | — | 407 | 66.8 | — | 33.2 |
| Catalysts | Synthesis Methods | SBET (m2/g) | T90 (°C) | References |
|---|---|---|---|---|
| CuO/CeO2-20 | Solution combustion synthesis | 52.7 | 110 | [54] |
| 30% CuO-CeO2 | Hydrothermal method | 102 | 100 | [57] |
| 10 wt% CuO/CeO2-NR | Wet impregnation method | 112.9 | 195 | [75] |
| 6-CuO/CeO2 | Wet impregnation method | 55.4 | 254 | [64] |
| Cu/Ce(SI) | Surfactant-assisted impregnation | 9.7 | 92 | [71] |
| 5Cu/CeO2(IM) | Impregnation method | 76.3 | 108 | [76] |
| 550-CC (Cu: Ce molar ratio 1:4, activation in air at 550 °C) | Facile one-step solvothermal synthesis | 62 | 87 | [77] |
| N8A4-10 (CuO-CeO catalyst treated in N2 at 800 °C and in air at 400 °C, and the CuO content in the catalyst is 5 mol %) | Modified citrate sol–gel method | 131 | 100 | [32] |
| 10 wt.% Cu (CP) | Coprecipitation method | 117.6 | 85 | [23] |
| 10CuO/NS-CeO2-500 | Incipient impregnation method | 176 | 80 | This work |
Disclaimer/Publisher’s Note: The statements, opinions and data contained in all publications are solely those of the individual author(s) and contributor(s) and not of MDPI and/or the editor(s). MDPI and/or the editor(s) disclaim responsibility for any injury to people or property resulting from any ideas, methods, instructions or products referred to in the content. |
© 2024 by the authors. Licensee MDPI, Basel, Switzerland. This article is an open access article distributed under the terms and conditions of the Creative Commons Attribution (CC BY) license (https://creativecommons.org/licenses/by/4.0/).
Share and Cite
Zhang, Y.; Zhao, F.; Yang, H.; Yin, S.; Wu, C.-E.; Zhou, T.; Xu, J.; Xu, L.; Chen, M. Constructing Efficient CuO-Based CO Oxidation Catalysts with Large Specific Surface Area Mesoporous CeO2 Nanosphere Support. Nanomaterials 2024, 14, 485. https://doi.org/10.3390/nano14060485
Zhang Y, Zhao F, Yang H, Yin S, Wu C-E, Zhou T, Xu J, Xu L, Chen M. Constructing Efficient CuO-Based CO Oxidation Catalysts with Large Specific Surface Area Mesoporous CeO2 Nanosphere Support. Nanomaterials. 2024; 14(6):485. https://doi.org/10.3390/nano14060485
Chicago/Turabian StyleZhang, Yixin, Fen Zhao, Hui Yang, Siyuan Yin, Cai-E Wu, Tingting Zhou, Jingxin Xu, Leilei Xu, and Mindong Chen. 2024. "Constructing Efficient CuO-Based CO Oxidation Catalysts with Large Specific Surface Area Mesoporous CeO2 Nanosphere Support" Nanomaterials 14, no. 6: 485. https://doi.org/10.3390/nano14060485
APA StyleZhang, Y., Zhao, F., Yang, H., Yin, S., Wu, C.-E., Zhou, T., Xu, J., Xu, L., & Chen, M. (2024). Constructing Efficient CuO-Based CO Oxidation Catalysts with Large Specific Surface Area Mesoporous CeO2 Nanosphere Support. Nanomaterials, 14(6), 485. https://doi.org/10.3390/nano14060485

