Study on the Size Dependence of the Shell-Breaking Response of Micro/Nano Al Particles at High Temperature
Abstract
1. Introduction
2. Finite Element Model
3. Results and Discussion
3.1. Heating Process of Al Nanoparticles
3.2. Thermal Stress of Al Nanoparticles
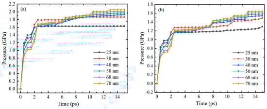
3.2.1. Compressive Stress Distribution on Alumina Shells
3.2.2. Tensile Stress Distribution on Alumina Shells
3.2.3. Comparison of Compressive Stress and Tensile Stress
3.3. Breaking Characteristics and Mechanism of Al Nanoparticles
3.4. Comparative Analysis of Micro and Nano Al Particles
3.4.1. Temperature Distribution and Thermal Stabilization Time
3.4.2. Stress Distribution and Variation
3.4.3. Characteristics and Mechanism of Shell Breaking
4. Conclusions
- (1)
- The direct cause of shell-breaking of Al particles is clearly related to the particle size. The 25–100 nm Al particles showed no shell breakage, and all the particles of the diameter larger than 100 nm showed shell breakage. Among the Al particles of 200 nm–70 μm, except for the 300 nm Al particles where tensile stress overloading was the direct cause of shell breaking, the rest of them were directly affected by compressive stress overloading which broke the shell. And 80–100 μm Al particles break shells because of tensile stress overload. This result has never been reported in the literature.
- (2)
- The thermal stabilization time increases with increasing particle size, and there is a significant difference in the shell-breaking response time between micron and nano Al particles. The shell-breaking response time of 200~600 nm Al particles is much smaller than that of 10~100 μm Al particles, which is 62.33~380.13 ps and 0.08~3.94 μs, respectively, which suggests that the Al nanoparticles are more susceptible to reaction under the same heating conditions.
Author Contributions
Funding
Data Availability Statement
Conflicts of Interest
References
- Jayaraman, K.; Anand, K.V.; Chakravarthy, S.R.; Sarathi, R. Effect of nano-aluminium in plateau-burning and catalyzed composite solid propellant combustion. Combust. Flame 2009, 156, 1662–1673. [Google Scholar] [CrossRef]
- Griego, C.; Yilmaz, N.; Atmanli, A. Analysis of aluminum particle combustion in a downward burning solid rocket propellant. Fuel 2019, 237, 405–412. [Google Scholar] [CrossRef]
- Liang, D.; Liu, J.; Xiao, J.; Xi, J.; Wang, Y.; Zhou, J. Effect of metal additives on the composition and combustion characteristics of primary combustion products of B-based propellants. J. Therm. Anal. Calorim. 2015, 122, 497–508. [Google Scholar] [CrossRef]
- Wang, J.; Zhang, L.; Mao, Y.; Gong, F. An effective way to enhance energy output and combustion characteristics of Al/PTFE. Combust. Flame 2020, 214, 419–425. [Google Scholar] [CrossRef]
- Zhu, B.; Li, F.; Sun, Y.; Wu, Y.; Wang, Q.; Wang, Q.; Han, W. Effects of Different Additives on the Ignition and Combustion Characteristics of Micrometer-Sized Aluminum Powder in Steam. Energy Fuels 2017, 31, 8674–8684. [Google Scholar] [CrossRef]
- Phung, X.; Groza, J.; Stach, E.A.; Williams, L.N.; Ritchey, S.B. Surface characterization of metal nanoparticles. Mater. Sci. Eng. A 2003, 359, 261–268. [Google Scholar] [CrossRef]
- Gertsman, V.Y.; Kwok, Q.S.M. TEM Investigation of Nanophase Aluminum Powder. Microsc. Microanal. 2005, 11, 410–420. [Google Scholar] [CrossRef]
- Myers, T.J. Reducing aluminum dust explosion hazards: Case study of dust inerting in an aluminum buffing operation. J. Hazard. Mater. 2008, 159, 72–80. [Google Scholar] [CrossRef]
- Vignes, A.; Krietsch, A.; Dufaud, O.; Santandrea, A.; Perrin, L.; Bouillard, J. Course of explosion behaviour of metallic powders—From micron to nanosize. J. Hazard. Mater. 2019, 379, 120767. [Google Scholar] [CrossRef]
- Joseph, G.; CSB Hazard Investigation Team. Combustible dusts: A serious industrial hazard. J. Hazard. Mater. 2007, 142, 589–591. [Google Scholar] [CrossRef]
- Martin, C.; Comet, M.; Schnell, F.; Berthe, J.E.; Spitzer, D. Aluminum nanopowder: A substance to be handled with care. J. Hazard. Mater. 2018, 342, 347–352. [Google Scholar] [CrossRef]
- Zhou, Y.; Liu, J.; Wang, J.; Xv, T.; Liang, D.; Cen, K. The formation mechanism and distribution of micro-aluminum oxide layer. J. Therm. Anal. Calorim. 2018, 133, 1335–1344. [Google Scholar] [CrossRef]
- Hou, F.; Li, S.; Wang, Y.; Huang, X. Laser-Induced Ignition and Combustion of Individual Aluminum Particles Below 10 μm by Microscopic High-Speed Cinematography. Processes 2020, 8, 280. [Google Scholar] [CrossRef]
- Sun, Y.; Sun, R.; Zhu, B.; Mao, K.; Wu, Y. Thermal reaction mechanisms of nano- and micro-scale aluminum powders in carbon dioxide at low heating rate. J. Therm. Anal. Calorim. 2016, 124, 1727–1734. [Google Scholar] [CrossRef]
- Levitas, V.I.; Asay, B.W.; Son, S.F.; Pantoya, M. Melt dispersion mechanism for fast reaction of nanothermites. Appl. Phys. Lett. 2006, 89, 071909. [Google Scholar] [CrossRef]
- Levitas, V. Burn time of aluminum nanoparticles: Strong effect of the heating rate and melt-dispersion mechanism. Combust. Flame 2009, 156, 543–546. [Google Scholar] [CrossRef]
- Trunov, M.A.; Schoenitz, M.; Zhu, X.; Dreizin, E.L. Effect of polymorphic phase transformations in Al2O3 film on oxidation kinetics of aluminum powders. Combust. Flame 2005, 140, 310–318. [Google Scholar] [CrossRef]
- Trunov, M.A.; Schoenitz, M.; Dreizin, E.L. Effect of polymorphic phase transformations in alumina layer on ignition of aluminium particles. Combust. Theory Model. 2006, 10, 603–623. [Google Scholar] [CrossRef]
- Rai, A.; Lee, D.; Park, K.H.; Zachariah, M.R. Importance of phase change of aluminum in oxidation of aluminum nanoparticles. J. Phys. Chem. B 2004, 108, 14793–14795. [Google Scholar] [CrossRef]
- Sundaram, D.S.; Puri, P.; Yang, V. A general theory of ignition and combustion of nano- and micron-sized aluminum particles. Combust. Flame 2016, 169, 94–109. [Google Scholar] [CrossRef]
- Savel’ev, A.M.; Yagodnikov, D.A. Numerical simulation of the ignition of aluminum nanoparticles in oxygen-containing gases taking into consideration polymorphic transformations in an oxide film. Combust. Flame 2023, 253, 112777. [Google Scholar] [CrossRef]
- Mench, M.M.; Kuo, K.K.; Yeh, C.L.; Lu, Y.C. Comparison of Thermal Behavior of Regular and Ultra-Fine Aluminum Powders (Alex) Made from Plasma Explosion Process. Combust. Sci. Technol. 1998, 135, 269–292. [Google Scholar] [CrossRef]
- Arkhipov, V.A.; Gorbenko, M.V.; Gorbenko, T.I.; Savel’eva, L.A. Effect of ultrafine aluminum on the combustion of composite solid propellants at subatmospheric pressures. Combust. Explos. Shock Waves 2009, 45, 40–47. [Google Scholar] [CrossRef]
- Wang, T.-Y.; Zhou, Z.-Q.; Peng, J.-P.; Gao, Y.-K.; Zhang, Y.-H. Influence of particle size on the breaking of aluminum particle shells. Chin. Phys. B 2022, 31, 076107. [Google Scholar] [CrossRef]
- Rosenband, V. Thermo-mechanical aspects of the heterogeneous ignition of metals. Combust. Flame 2004, 137, 366–375. [Google Scholar] [CrossRef]
- Zeng, L.; Jiao, Q.; Ren, H.; Zhou, Q. Effect of Particle Size of Nano-aluminum Powder on Oxide Film Thickness and Active Aluminum Content. Chin. J. Explos. Propellants 2011, 34, 26–29. [Google Scholar]
- Sikder, A.; Sikder, N. A review of advanced high performance, insensitive and thermally stable energetic materials emerging for military and space applications. J. Hazard. Mater. 2004, 112, 1–15. [Google Scholar] [CrossRef]
- Miyake, K.; Hirata, Y.; Shimonosono, T.; Sameshima, S. The effect of particle shape on sintering behavior and compressive strength of porous alumina. Materials 2018, 11, 1137. [Google Scholar] [CrossRef]
- Firmansyah, D.A.; Sullivan, K.; Lee, K.-S.; Kim, Y.H.; Zahaf, R.; Zachariah, M.R.; Lee, D. Microstructural Behavior of the Alumina Shell and Aluminum Core Before and After Melting of Aluminum Nanoparticles. J. Phys. Chem. C 2011, 116, 404–411. [Google Scholar] [CrossRef]
- Zhang, Q.; Zheng, Y.; Zhou, F.; Yu, T. Fragmentations of Alumina(Al2O3) and Silicon Carbide(SiC) under quasi-static compression. Int. J. Mech. Sci. 2020, 167, 105119. [Google Scholar] [CrossRef]
- Yi, S.; Guo, L.L. Mechanical Properties of Alumina (Al2O3)/Nylon 1010 Composites. Energy Technol. Manag. 2006, 3, 44–46. [Google Scholar]

















| Material | Melting Point (K) | Density (kg/m3) | Elastic Modulus (Gpa) | Bulk Modulus (Gpa) | Poisson’s Ratio | Thermal Conductivity (W/m·K) | Thermal Expansion Coefficient (K−1) |
|---|---|---|---|---|---|---|---|
| Al [27] | 933 | 2700 | 70–79 | 76 | 0.35 | 210 | 23.0 × 10−6 |
| alumina [28] | 3729 | 3000–4000 | 300 | 165 | 0.21 | 18 | 8.6 × 10−6 |
| Particle Size (nm) | Shell Thickness (nm) | Ratio (R) | CS Time (ps) | TS Time (ps) | The Direct Cause of Structural Response |
|---|---|---|---|---|---|
| 25 | 2.995 | 8.347 | Un | Un | Un |
| 30 | 3.043 | 9.859 | Un | Un | Un |
| 40 | 3.011 | 13.285 | Un | Un | Un |
| 50 | 3.007 | 16.628 | Un | Un | Un |
| 60 | 2.972 | 20.188 | Un | Un | Un |
| 70 | 2.991 | 23.404 | Un | Un | Un |
| 100 | 3.494 | 28.620 | Un | Un | Un |
| 200 | 3.838 | 52.110 | 62.33 | 78.97 | compressive stress overload |
| 300 | 4.044 | 74.184 | 107.52 | 94.36 | tensile stress overload |
| 400 | 4.092 | 97.752 | 122.78 | 190.58 | compressive stress overload |
| 500 | 4.227 | 118.287 | 198.29 | 240.69 | compressive stress overload |
| 600 | 4.275 | 140.351 | 380.13 | 400.93 | compressive stress overload |
Disclaimer/Publisher’s Note: The statements, opinions and data contained in all publications are solely those of the individual author(s) and contributor(s) and not of MDPI and/or the editor(s). MDPI and/or the editor(s) disclaim responsibility for any injury to people or property resulting from any ideas, methods, instructions or products referred to in the content. |
© 2024 by the authors. Licensee MDPI, Basel, Switzerland. This article is an open access article distributed under the terms and conditions of the Creative Commons Attribution (CC BY) license (https://creativecommons.org/licenses/by/4.0/).
Share and Cite
Zhou, Z.; Chai, L.; Wang, T.; Jiang, H.; Bai, Z.; Yuan, W.; Sang, J. Study on the Size Dependence of the Shell-Breaking Response of Micro/Nano Al Particles at High Temperature. Nanomaterials 2024, 14, 265. https://doi.org/10.3390/nano14030265
Zhou Z, Chai L, Wang T, Jiang H, Bai Z, Yuan W, Sang J. Study on the Size Dependence of the Shell-Breaking Response of Micro/Nano Al Particles at High Temperature. Nanomaterials. 2024; 14(3):265. https://doi.org/10.3390/nano14030265
Chicago/Turabian StyleZhou, Zhengqing, Lujia Chai, Tianyi Wang, Huiling Jiang, Zhiming Bai, Wenbo Yuan, and Jinguo Sang. 2024. "Study on the Size Dependence of the Shell-Breaking Response of Micro/Nano Al Particles at High Temperature" Nanomaterials 14, no. 3: 265. https://doi.org/10.3390/nano14030265
APA StyleZhou, Z., Chai, L., Wang, T., Jiang, H., Bai, Z., Yuan, W., & Sang, J. (2024). Study on the Size Dependence of the Shell-Breaking Response of Micro/Nano Al Particles at High Temperature. Nanomaterials, 14(3), 265. https://doi.org/10.3390/nano14030265
