CO2 Utilization and Sequestration in Organic and Inorganic Nanopores During Depressurization and Huff-n-Puff Process
Abstract
1. Introduction
2. Molecular Models and Simulations
3. Results and Discussion
3.1. Primary Production during Depressurization
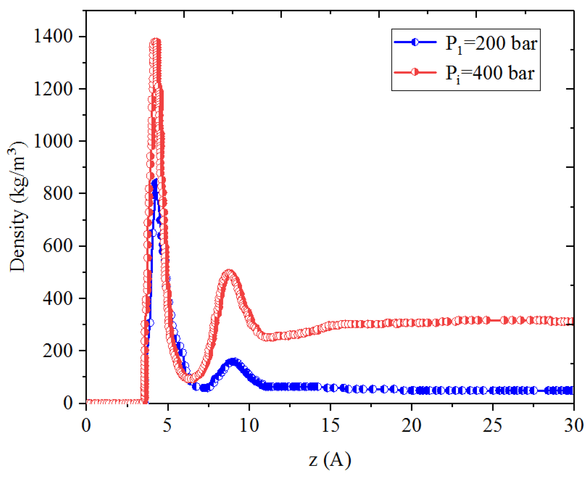
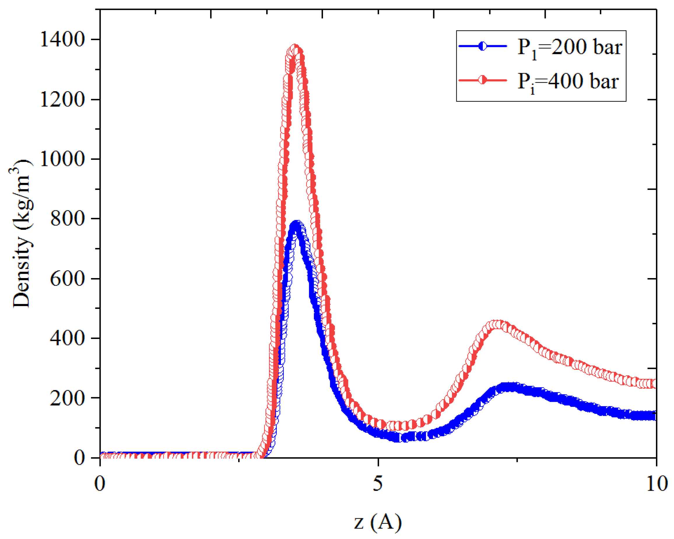
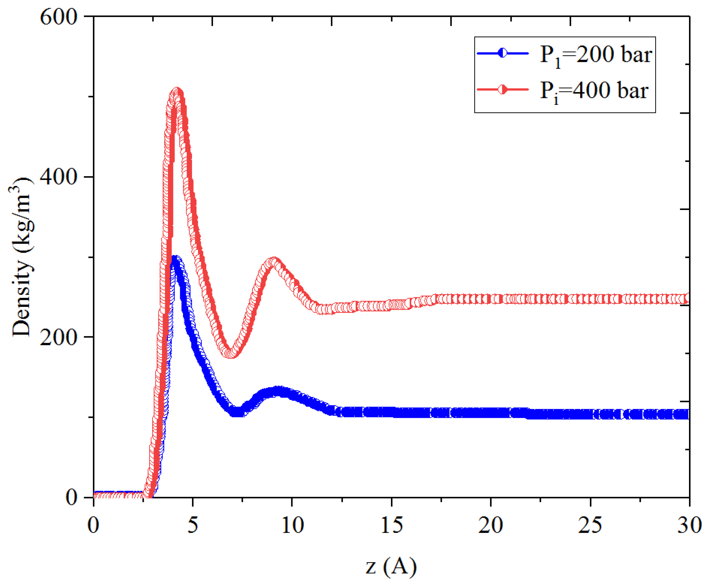
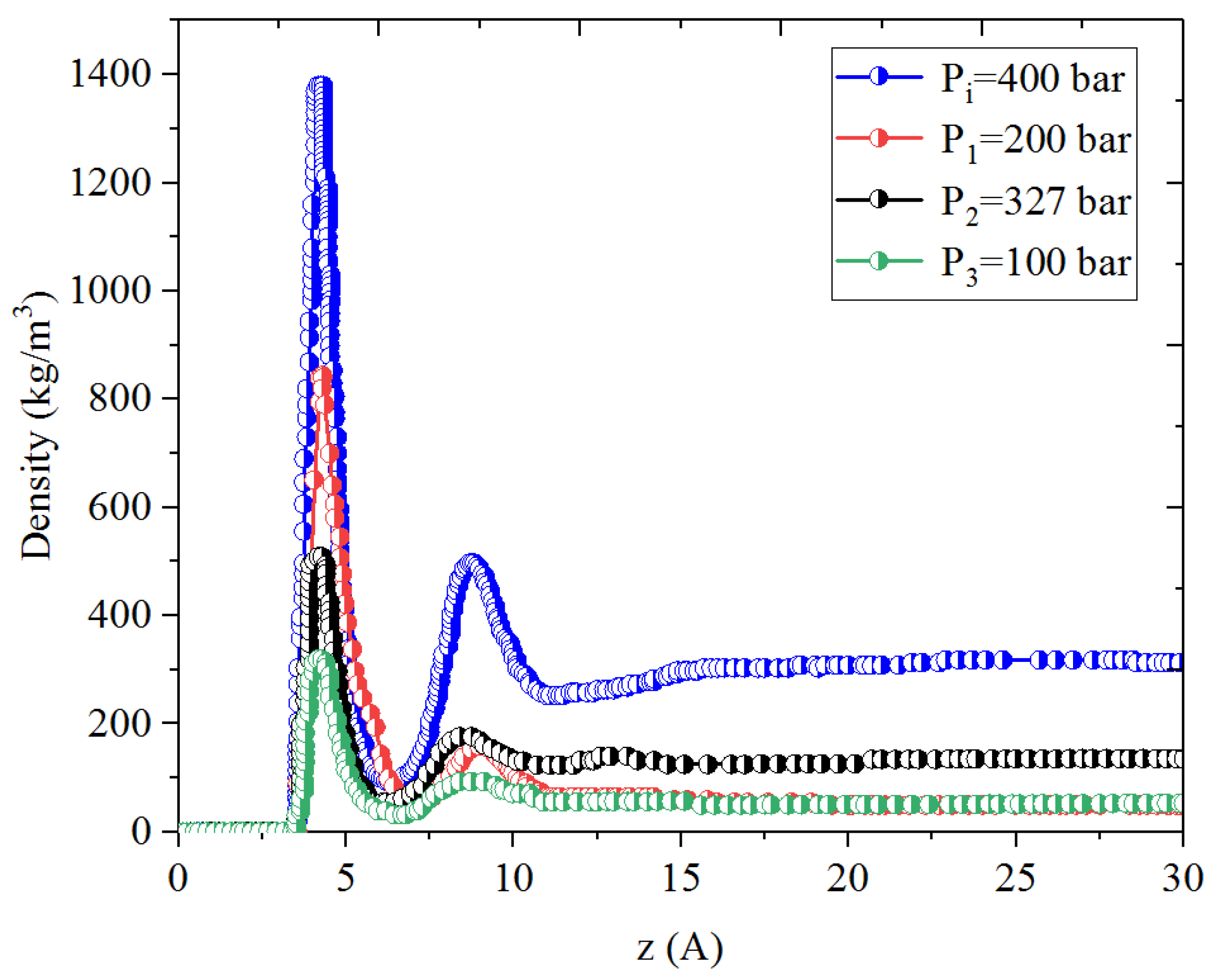
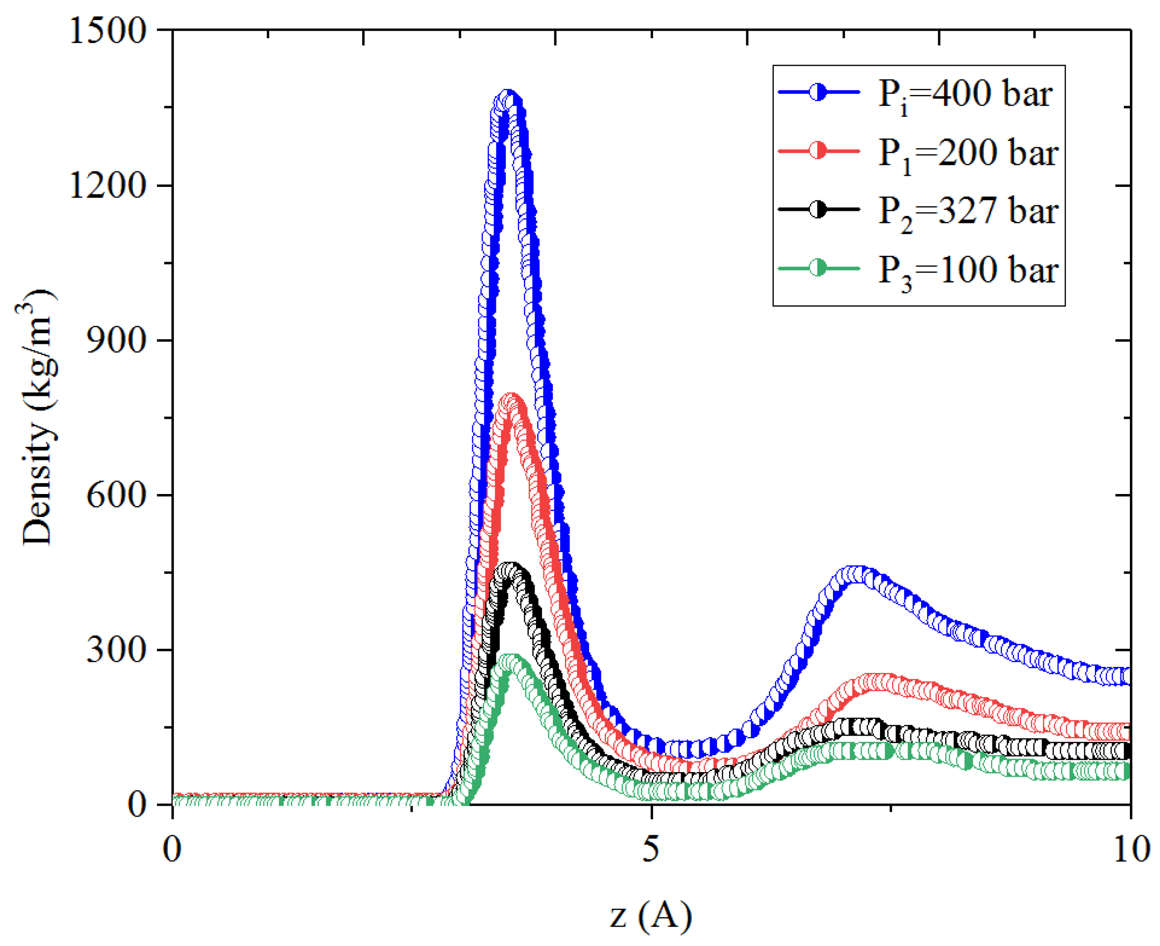
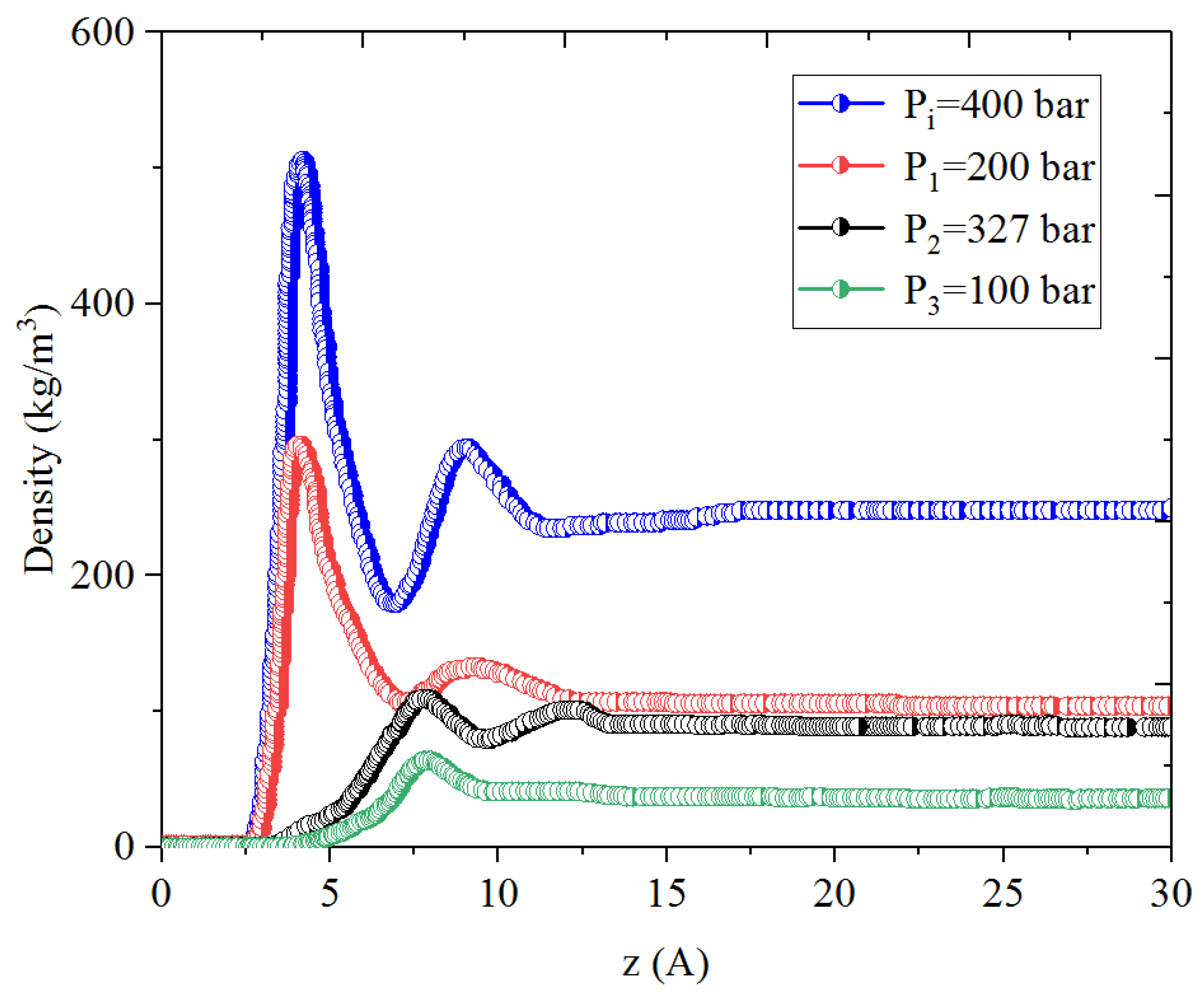
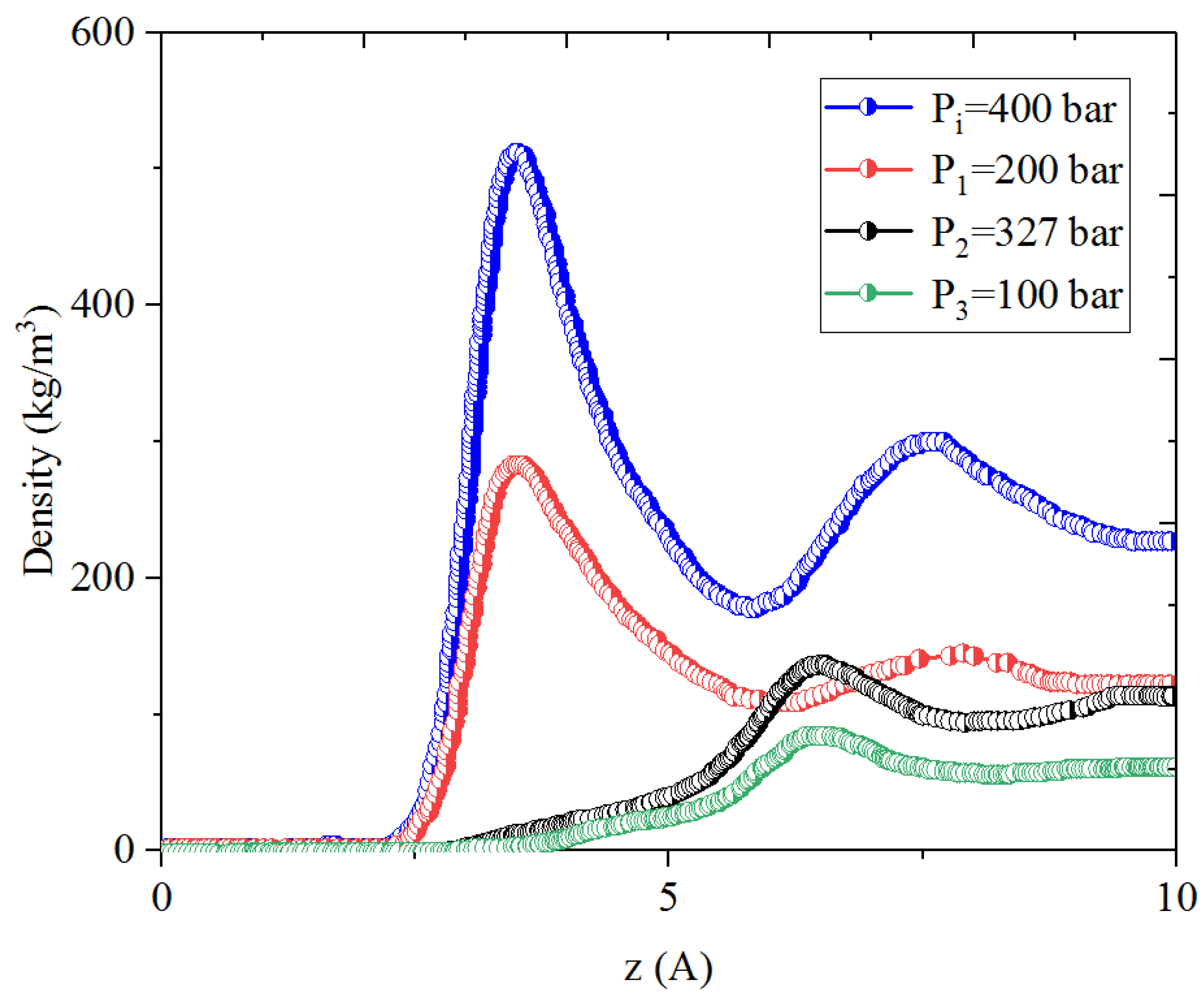
3.1.1. Organic Nanopores
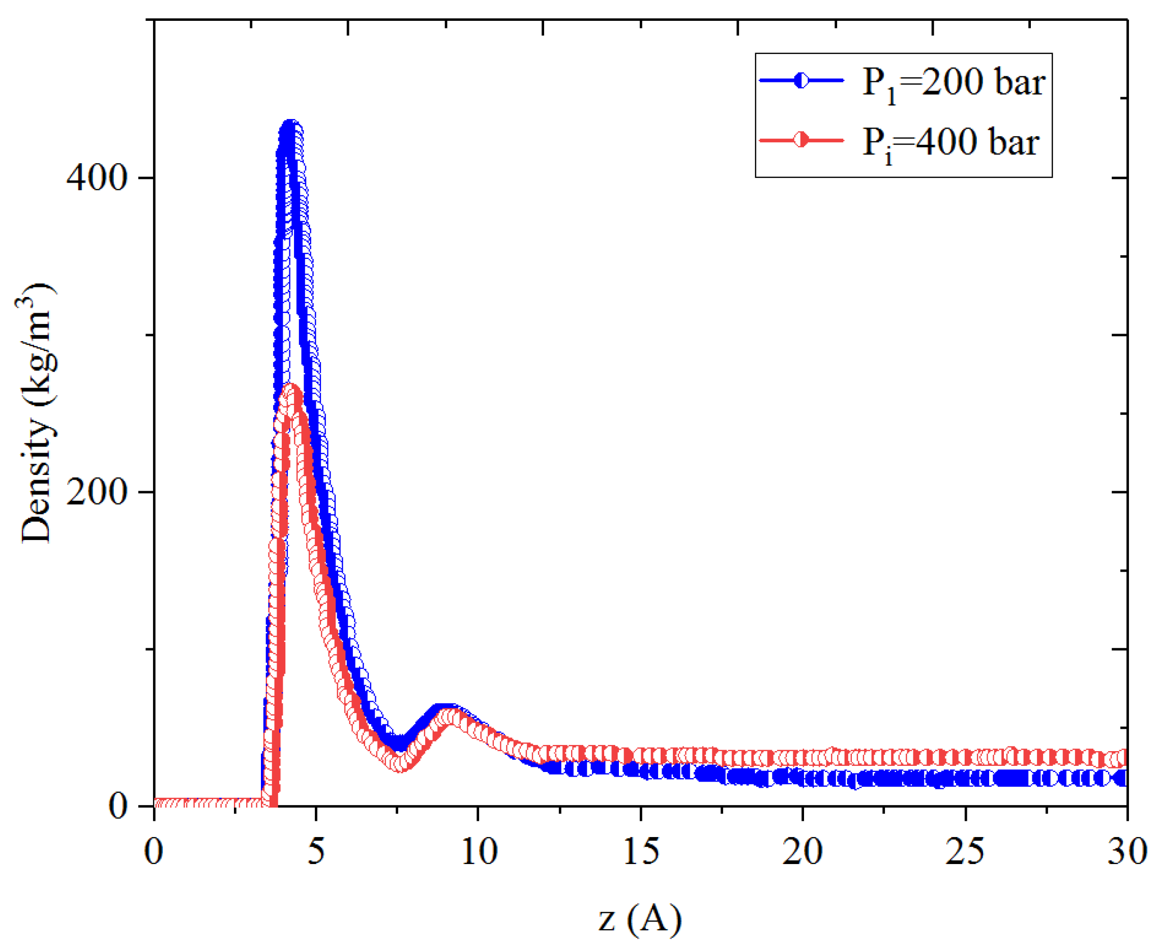
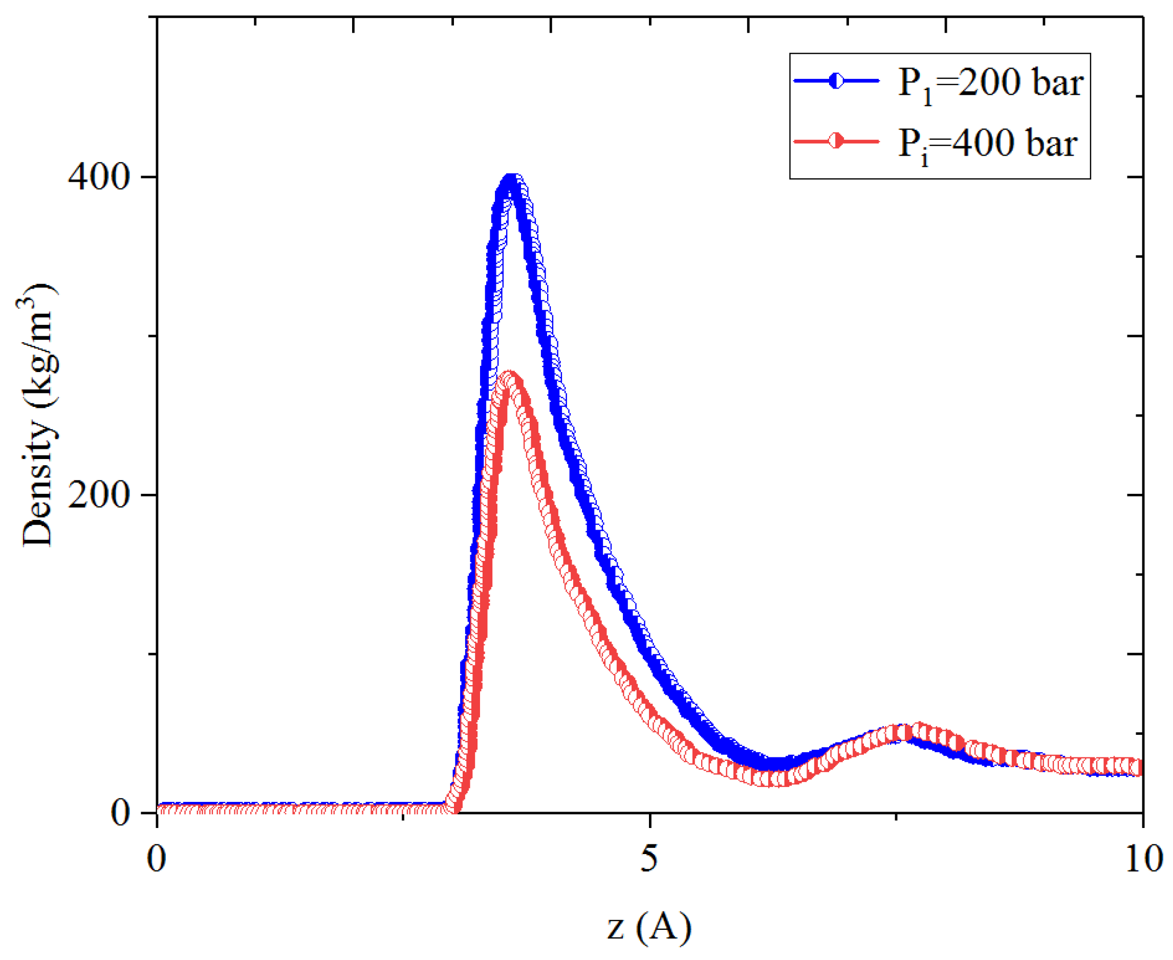
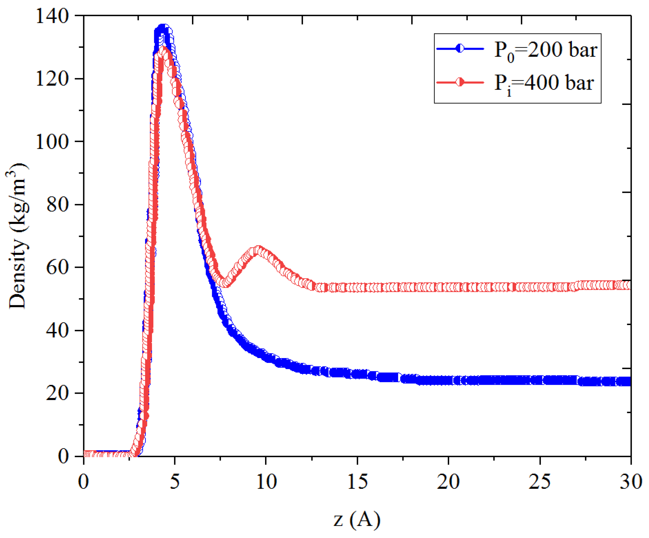
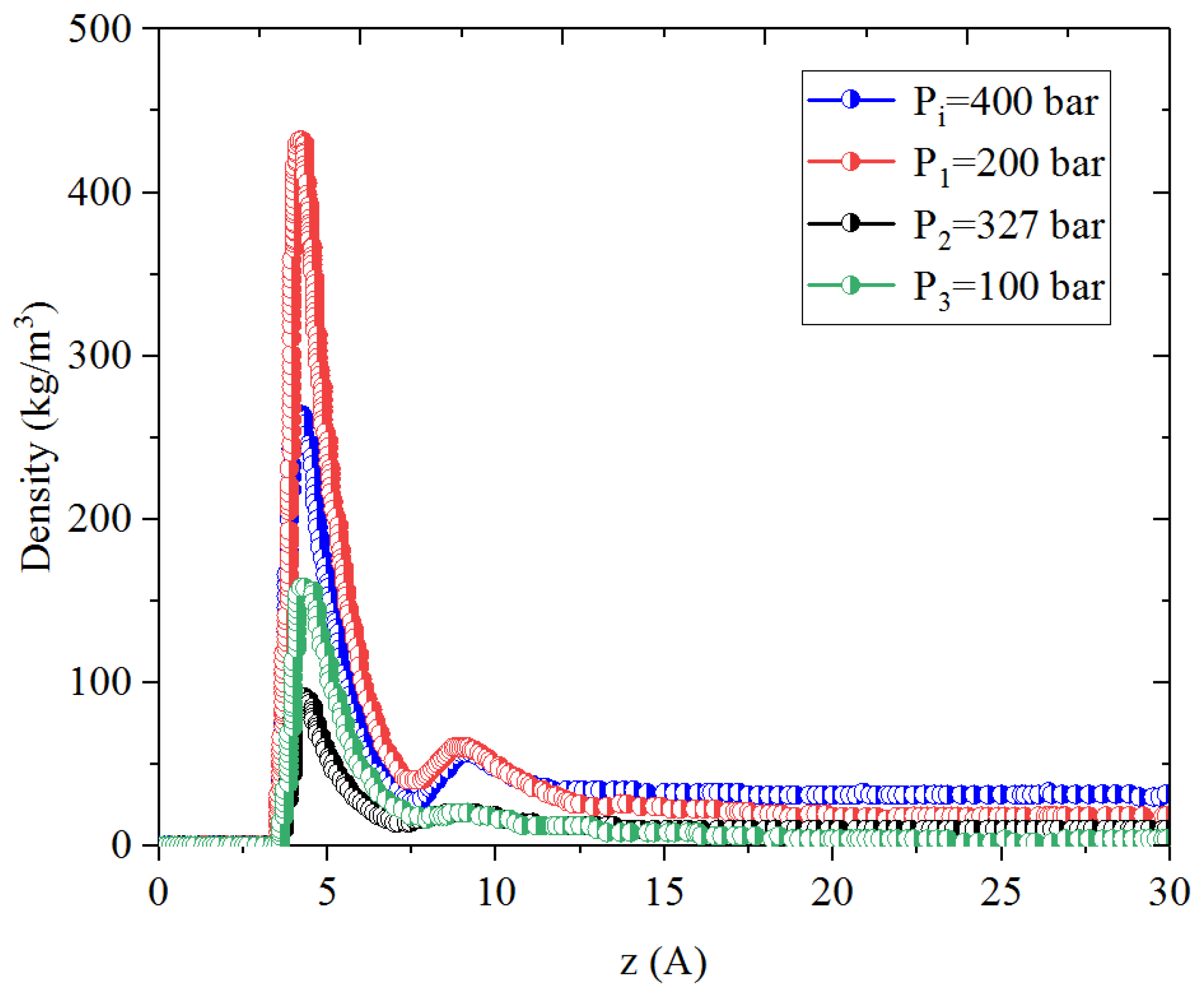
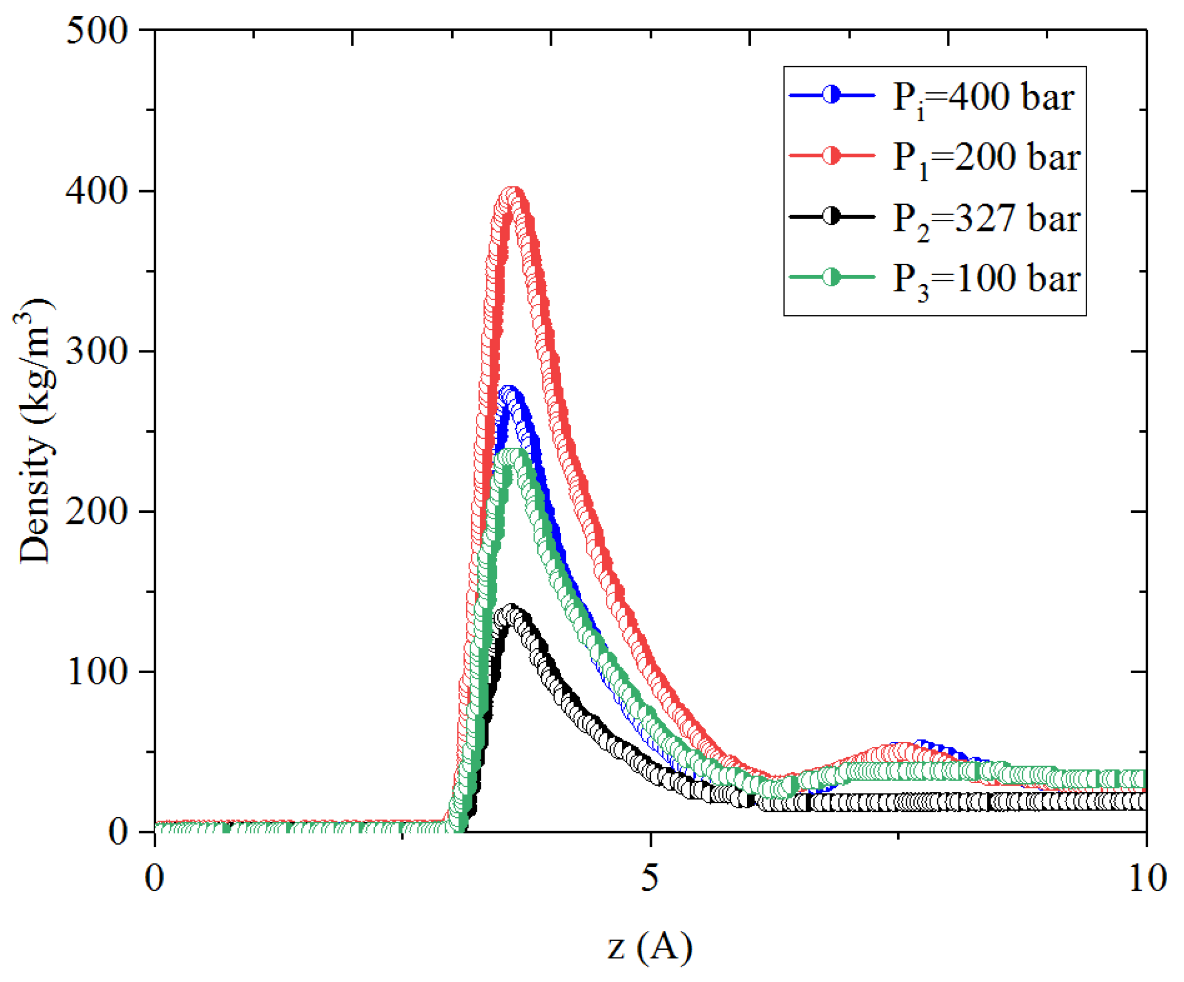
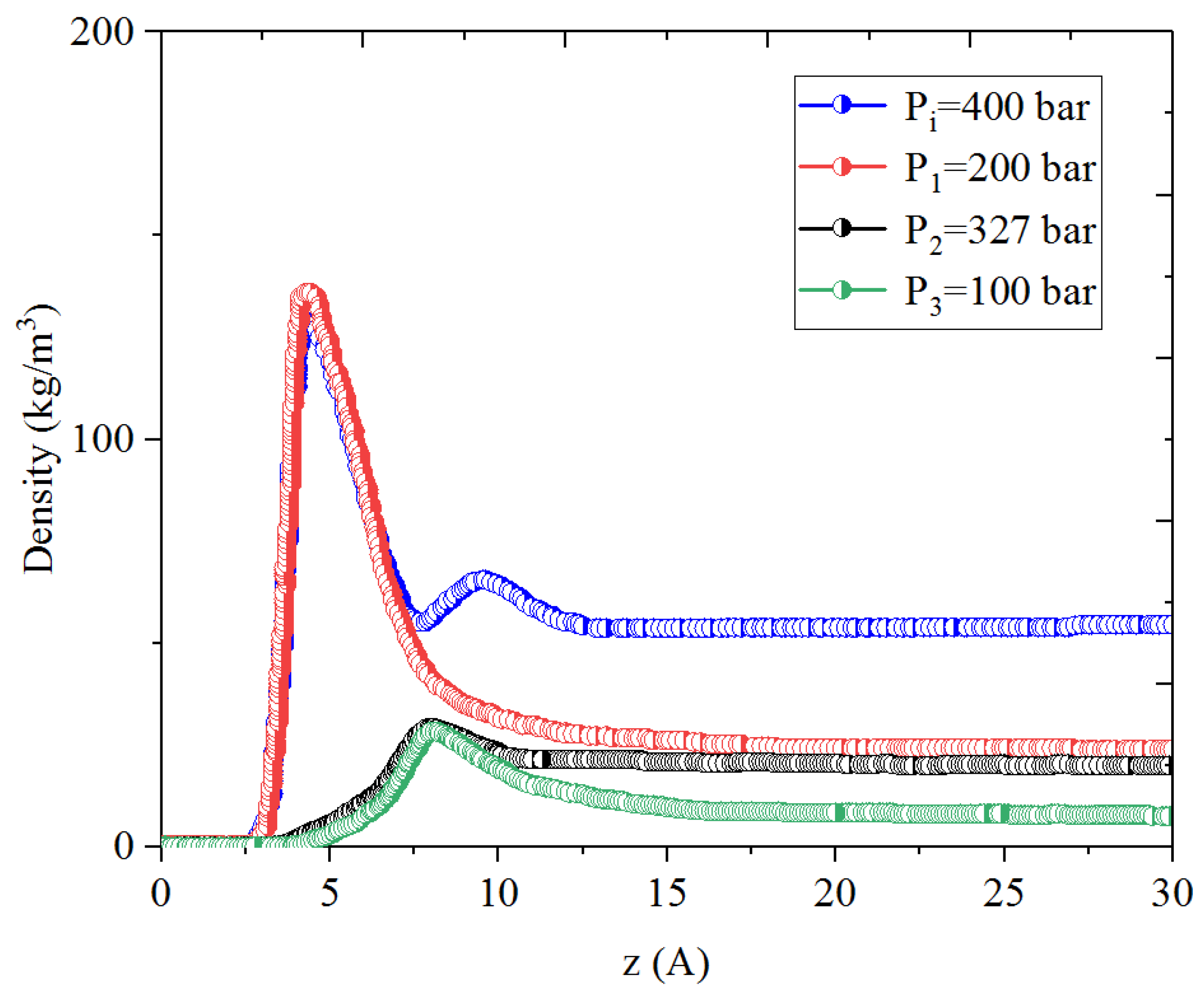
3.1.2. Inorganic Nanopores
3.2. Improved Gas Production during CO2 Huff-n-Puff Process
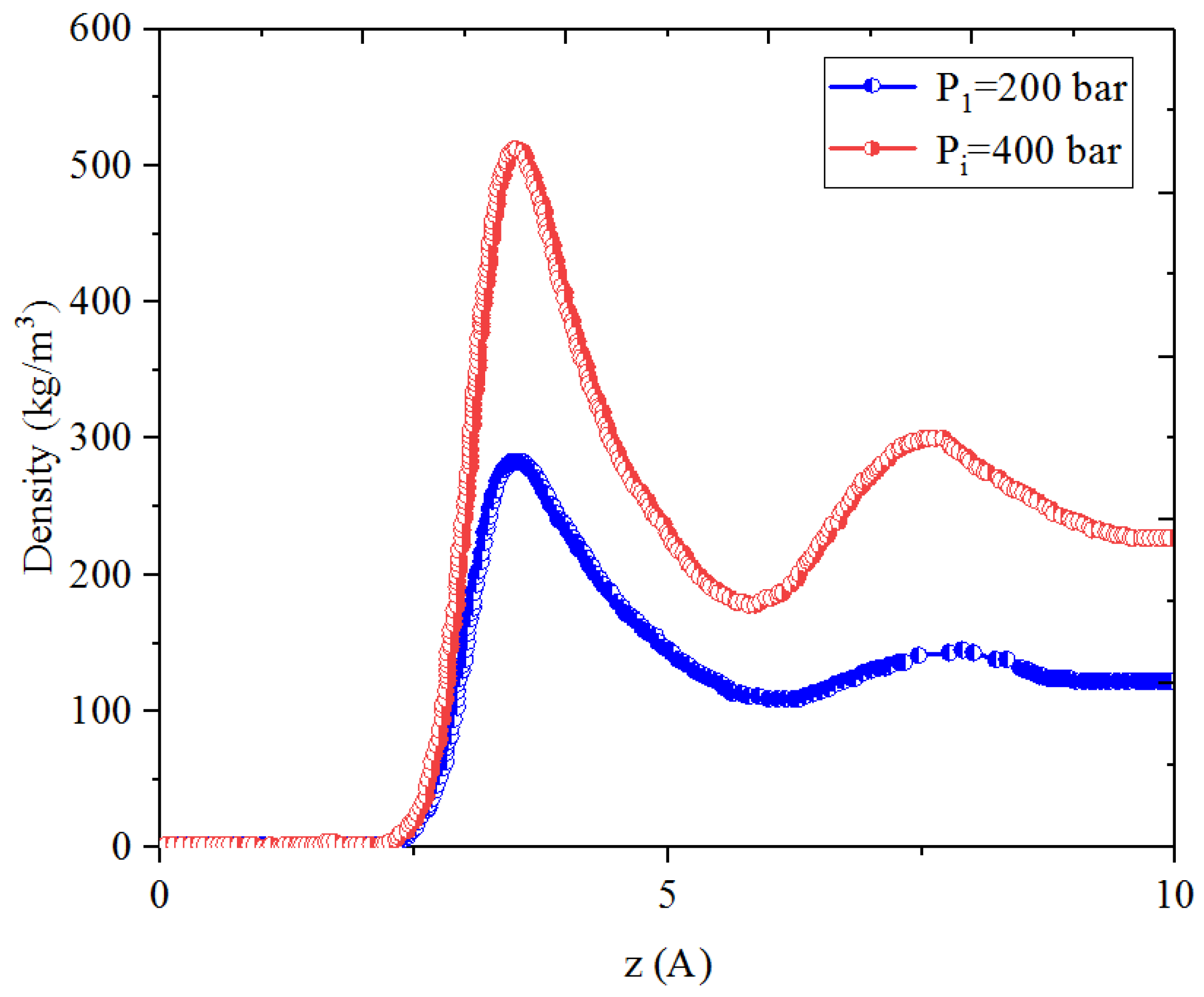
3.2.1. Organic Nanopores
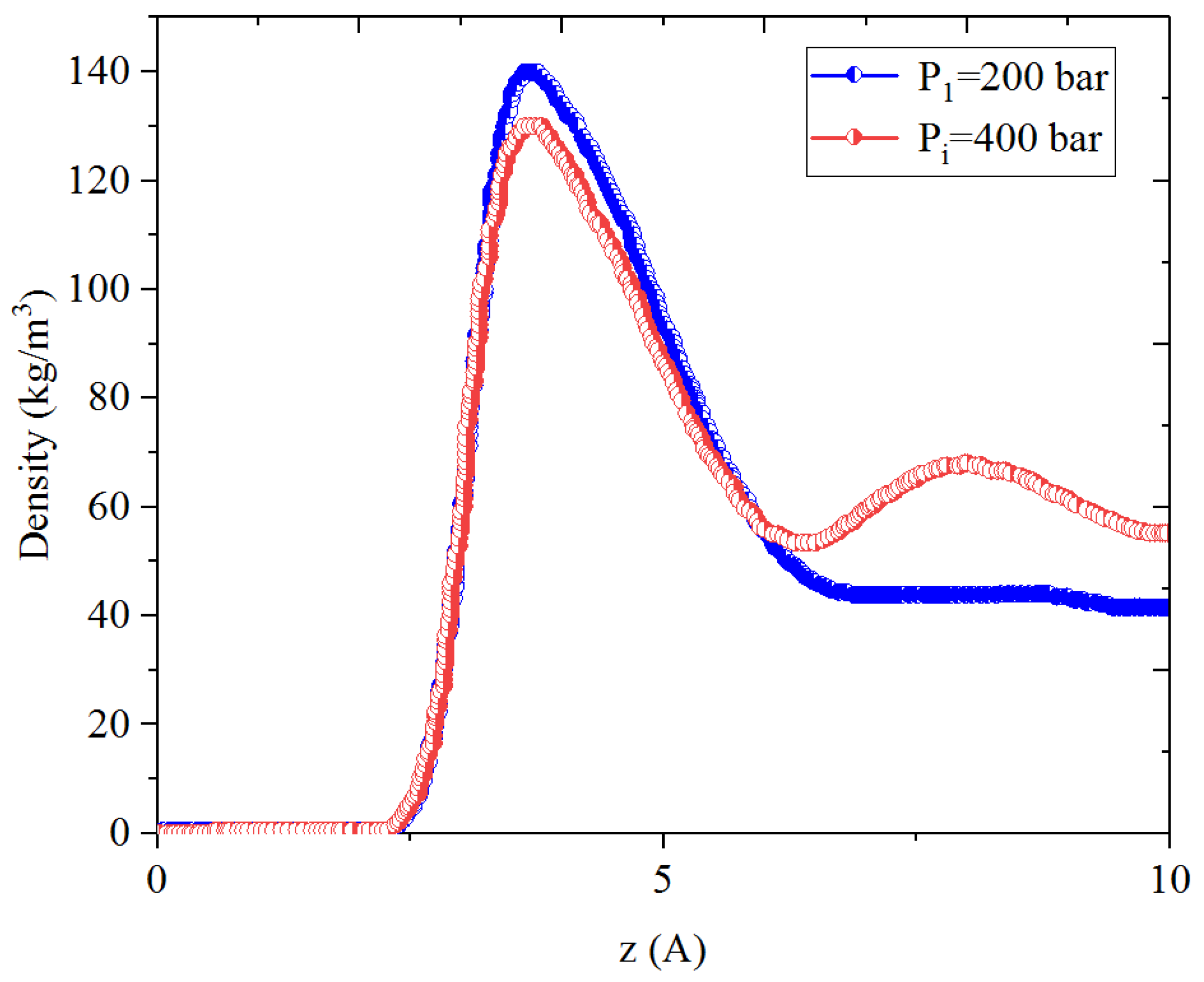
3.2.2. Inorganic Nanopores
3.3. Shale Hydrocarbon Recovery
3.4. CO2 Sequestration in Nanopores
4. Conclusions
Author Contributions
Funding
Data Availability Statement
Conflicts of Interest
References
- Cao, Y.; Jin, Z.; Zhu, R.; Liu, K. Pore systems and their correlation with oil enrichment in various lithofacies of saline lacustrine shale strata. Int. J. Coal Geol. 2024, 282, 104444. [Google Scholar] [CrossRef]
- EIA. Annual Energy Outlook 2017 with Projections to 2050; EIA: San Antonio, TX, USA, 2017. [Google Scholar]
- Jia, B.; Tsau, J.S.; Barati, R. A review of the current progress of CO2 injection EOR and carbon storage in shale oi reservoirs. Fuel 2019, 236, 404–427. [Google Scholar] [CrossRef]
- Flannery, J.; Kraus, J. Integrated Analysis of the Bakken Petroleum System. Am. Assoc. Pet. Geol. Search Discov. 2006, 19, 138–145. [Google Scholar]
- Hamling, Z. Developments in CO2, ethane, and rich gas EOR: A Williston basin perspective. In Proceedings of the CO2 & ROZ Conference Carbon Management Workshop, Midland, TX, USA, 4 December 2017. [Google Scholar]
- Ahmed, U.; Meehan, D.N. Unconventional Oil and Gas Resources: Exploitation and Development; Taylor & Francis: Abingdon, UK, 2016. [Google Scholar]
- Liu, Y.; Jin, Z.; Li, H. Comparison of Peng-Robinson equation of state with capillary pressure model with engineering density-functional theory in describing the phase behavior of confined hydrocarbons. SPE J. 2018, 23, 1784–1797. [Google Scholar] [CrossRef]
- Yu, W.; Lashgari, H.R.; Wu, K.; Sepehrnoori, K. CO2 injection for enhanced oil recovery in Bakken tight oil reservoirs. Fuel 2015, 212, 321–435. [Google Scholar] [CrossRef]
- Cherian, B.V.; Stacey, E.S.; Lewis, R.; Iwere, F.O.; Heim, R.N.; Higgins, S.M. Evaluating horizontal well completion effectiveness in a field development program. SPE 152177. Presented at SPE Hydraulic Fracturing Technology Conference, The Woodlands, TX, USA, 6–8 February 2012; p. 506. [Google Scholar]
- Hoffman, B.T. Comparison of various gases for enhanced recovery from shale oil reservoirs. SPE 154329. Presented at SPE Improved Oil Recovery Symposium, Tulsa, OK, USA, 14–18 April 2012. [Google Scholar]
- Hawthorne, S.B.; Gorecki, C.D.; Sorensen, J.A.; Steadman, E.N.; Harju, J.A.; Melzer, S. Hydrocarbon mobilization mechanisms from upper, middle, and lower Bakken reservoir rocks exposed to CO2. SPE 167200. Presented at SPE Unconventional Resources Conference, Calgary, AB, Canada, 5–7 November 2013. [Google Scholar]
- Stalkup, F.I. Displacement behavior of the condensing/vaporizing gas drive process. SPE 16715. Presented at SPE Annual Technical Conference and Exhibition, Dallas, TX, USA, 27–30 September 1987. [Google Scholar]
- Holm, L.W. Evolution of the carbon dioxide flooding processes. J. Petrol. Technol. 1987, 39, 1337–1342. [Google Scholar] [CrossRef]
- Kurtoglu, B.; Sorensen, J.A.; Braunberger, J.; Smith, S.; Kazemi, H. Geologic characterization of a Bakken reservoir for potential CO2 EOR. SPE 168915. Presented at Unconventional Resources Technology Conference, Denver, CO, USA, 12–14 August 2013. [Google Scholar]
- Song, C.; Yang, D. Performance evaluation of CO2 huff-n-puff processes in tight oil formations. SPE 167217. Presented at SPE Unconventional Resources Conference, Calgary, AB, Canada, 5–7 November 2013. [Google Scholar]
- Adekunle, O.; Hoffman, B.T. Minimum miscibility pressure studies in the Bakken. SPE 169077. Presented at SPE Improved Oil Recovery Symposium, Tulsa, OK, USA, 12–16 April 2014. [Google Scholar]
- Jarrell, P.M.; Fox, C.E.; Stein, M.H.; Webb, S.L. Practical Aspects of CO2 flooding: SPE Monograph, Vol. 22. Henry L. Doherty Series; Society of Petroleum Engineers: Richardson, TX, USA, 2002. [Google Scholar]
- Holm, L.W.; Josendal, V.A. Mechanisms of oil displacement by carbon dioxide. J. Petrol. Technol. 1974, 26, 1427–1438. [Google Scholar] [CrossRef]
- Zhang, M.; Zhan, S.; Zhan, S.; Jin, Z. Recovery mechanisms of hydrocarbon mixtures in organic and inorganic nanopores during pressure drawdown and CO2 injection from molecular perspectives. Chem. Eng. J. 2020, 382, 122808. [Google Scholar] [CrossRef]
- Xu, H.; Kim, D.H.; Delshad, M. Potential for non-thermal cost-efective chemical augmented waterflood for viscous oils. Paper SPE 165350. Presented at the SPE Western Regional and AAPG Pacific Section Meeting Joint Technical Conference, Monterey, CA, USA, 19–25 April 2012. [Google Scholar]
- Fortenberry, R. Experimental Demonstration and Improvement of Chemical EOR Techniques in Heavy Oils. Master Thesis, University if Texas at Austin, Austin, TX, USA, 2013. [Google Scholar]
- Tagavifar, M.; Fortenberry, R.; Rouffignac, E.D.; Sepehrnoori, K.; Pope, G. Heavy oil recovery by combined hot water and alkali/cosolvent/polymer flooding. SPE J. 2016, 21, 74–86. [Google Scholar] [CrossRef]
- Liu, Y.; Hu, T.; Rui, Z.; Zhang, Z.; Du, K.; Yang, T.; Dindoruk, B.; Stenby, E.H.; Torabi, F.; Afanasyev, A. An Integrated Framework for Geothermal Energy Storage with CO2 Sequestration and Utilization. Engineering, 2023; in press. [Google Scholar]
- Al-Anazi, H.A.; Walker, J.G.; Pope, G.A.; Sharma, M.M.; Hackney, D.F. A successful methanol treatment in a gas/condensate reservoir: Field application. SPE Prod. Fac. 2003, 20, 60–69. [Google Scholar] [CrossRef]
- Sayed, M.A.; Al-Muntasheri, G.A. Liquid bank removal in production wells drilled in gas-condensate reservoirs: A critical review. In Proceedings of the SPE International Symposium and Exhibition on Formation Damage Control, Lafayette, LA, USA, 19–21 February 2020; pp. 26–28. [Google Scholar]
- Liu, Y.; Rui, Z. A Storage-driven CO2 EOR for net-zero emission target. Engineering 2022, 18, 79–87. [Google Scholar] [CrossRef]
- Liu, Y.; Rui, Z.; Dindoruk, B.; Yang, T. Using propanol as an additive to CO2 for improving CO2 utilization and storage in oil reservoirs. Appl. Energy 2022, 311, 118640. [Google Scholar] [CrossRef]
- Cao, Y.; Jin, Z.; Zhu, R.; Liu, K.; Bai, J. Comprehensive evaluation of the organic-rich saline lacustrine shale in the Lucaogou Formation, Jimusar sag, Junggar Basin, NW China. Energy 2024, 294, 130786. [Google Scholar] [CrossRef]
- Etminan, S.R.; Maini, B.B.; Chen, Z.; Hassanzadeh, H. Constant-pressure technique for gas diffusivity and solubility measurements in heavy oil and bitumen. Energy Fuels 2010, 24, 533–549. [Google Scholar] [CrossRef]
- Sigmund, P.M. Prediction of molecular diffusion at reservoir conditions. Part 1—measurement and prediction of binary dense gas diffusion coefficients. J. Can. Pet. Technol. 1976, 15, 48–57. [Google Scholar] [CrossRef]
- Ghaderi, S.M.; Tabatabaie, S.H.; Hassanzadeh, H.; Pooladi-Darvish, M. Estimation of concentration-dependent diffusion coefficient in pressure-decay experiment of heavy oils and bitumen. Fluid Phase Equilib. 2011, 305, 132–144. [Google Scholar] [CrossRef]
- Riazi, M.R.; Whitson, C.H. Estimating diffusion coefficients of dense fluids. Ind. Eng. Chem. Res. 1993, 32, 3081–3088. [Google Scholar] [CrossRef]
- Jiang, J.; Rui, Z.; Hazlett, R.; Lu, J. An integrated technical-economic model for evaluating CO2 enhanced oil recovery development. Appl. Energy 2019, 247, 190–211. [Google Scholar] [CrossRef]
- Zhao, Y.; Rui, Z.H.; Zhang, Z.; Chen, S.W.; Yang, R.F.; Du, K.; Dindoruk, B.; Yang, T.; Stenby, E.H.; Wilson, M.A. Importance of conformance control in reinforcing synergy of CO2 EOR and sequestration. Pet. Sci. 2022, 19, 3088–3106. [Google Scholar] [CrossRef]
- Song, L.; Kantzas, A.; Bryan, J.L. Experimental measurement of diffusion coefficient of CO2 in heavy oil using X-ray computed-assisted tomography under reservoir conditions. In Proceedings of the SPE Canadian Unconventional Resources and International Petroleum Conference, Calgary, AB, USA, 19–21 October 2010. [Google Scholar]
- Liu, Y.; Ma, X.; Hou, J. Comparing the effectiveness of SO2 with CO2 for replacing hydrocarbons from nanopores. Energy Fuels 2019, 33, 5200–5207. [Google Scholar] [CrossRef]
- Huang, X.; Gu, L.; Li, S.; Du, Y.; Liu, Y. Absolute adsorption of light hydrocarbons on organic-rich shale: An efficient determination method. Fuel 2022, 308, 121998. [Google Scholar] [CrossRef]
- Liu, Y.; Ma, X.; Li, H.; Hou, J. Competitive adsorption behavior of hydrocarbon(s)/CO2 mixtures in a double-nanopore system using molecular simulations. Fuel 2019, 252, 612–621. [Google Scholar] [CrossRef]
- Deer, W.A.; Howie, R.A.; Zussman, J. An Introduction to the Rock Forming Minerals; Longman: London, UK, 1996. [Google Scholar]
- Fernández, J.; Sotenko, M.; Derevschikov, V.; Lysikov, A.; Rebrov, E.V. A radiofrequency heated reactor system for post-combustion carbon capture. Chem. Eng. Process. Process Intensif. 2016, 108, 17–26. [Google Scholar] [CrossRef]
- Chronopoulos, T.; Fernandez-Diez, Y.; Maroto-Valer, M.M.; Ocone, R.; Reay, D.A. CO2 desorption via microwave heating for post-combustion carbon capture. Microporous Mesoporous Mater. 2014, 197, 288–290. [Google Scholar] [CrossRef]
- Szczerba, M.; Derkowski, A.; Kalinichev, A.G.; Środoń, J. Molecular modeling of the effects of 40Ar recoil in illite particles on their K-Ar isotope dating. Geochim. Cosmochim. Acta 2015, 159, 162–176. [Google Scholar] [CrossRef]
- Martin, M.G.; Siepmann, J.I. Transferable potentials for phase equilibria. 1. United-atom description of n-alkanes. J. Phys. Chem. B 1998, 102, 2569–2577. [Google Scholar] [CrossRef]
- Lorentz, H.A. Nachtrag zu der Abhandlung: Ueber die Anwendung des Satzes vom Virial in der kinetischen Theorie der Gase. Ann. Phys 1881, 248, 660–661. [Google Scholar] [CrossRef]
- Jin, Z.; Firoozabadi, A. Effect of water on methane and carbon dioxide sorption in clay minerals by Monte Carlo simulations. Fluid Phase Equilibria 2014, 382, 10–20. [Google Scholar] [CrossRef]
- Crozier, P.S.; Rowley, R.L.; Spohr, E.; Henderson, D. Comparison of charged sheets and corrected 3D Ewald calculations of long-range forces in slab geometry electrolyte systems with solvent molecules. J. Chem. Phys. 2000, 112, 9253–9257. [Google Scholar] [CrossRef][Green Version]
- Liu, Y.; Li, H.A.; Tian, Y.; Jin, Z.; Deng, H. Determination of the absolute adsorption/desorption isotherms of CH4 and n-C4H10 on shale from a nano-scale perspective. Fuel 2018, 218, 67–77. [Google Scholar] [CrossRef]
- Hensen EJ, M.; Tambach, T.J.; Bliek, A.; Smit, B. Adsorption isotherms of water in Li-, Na-, and K-montmorillonite by molecular simulations. J. Chem. Phys. 2001, 115, 3322–3329. [Google Scholar] [CrossRef]
- Widom, B. Some topics in the theory of fluids. J. Chem. Phys. 1963, 39, 2808–2812. [Google Scholar] [CrossRef]
- Peng, D.-Y.; Robinson, D.B. A new two-constant equation of state. Ind. Eng. Chem. Fundam. 1976, 15, 59–64. [Google Scholar] [CrossRef]
- Lu, L.; Wang, Q.; Liu, Y. Adsorption and separation of ternary and quaternary mixtures of short linear alkanes in zeolites by molecular simulation. Langmuir 2003, 19, 10617–10623. [Google Scholar] [CrossRef]
- Sun, Z.; Wu, K.; Shi, J.; Zhang, T.; Feng, D.; Huang, L.; Li, X. An analytical model for transport capacity of water confifined in nanopores. Int. J. Heat Mass Transf. 2019, 138, 620–630. [Google Scholar] [CrossRef]
- Yu, X.; Tang, W.; Zhao, T.; Jin, Z.; Zhao, S.; Liu, H. Confinement effect on molecular conformation of alkanes in water-filled cavitands: A combined quantum/classical DFT study. Langmuir 2018, 34, 13491–13496. [Google Scholar] [CrossRef]
- Baek, S.; Akkutlu, I.Y. Produced-flfluid composition redistribution in source rocks for hydrocarbon-in-place and thermodynamic recovery calculations. SPE J. 2019, 24, 1395–1414. [Google Scholar] [CrossRef]
- Buckingham, A.; Disch, R.-L. The quadrupole moment of the carbon dioxide molecule. Proc. R. Soc. Lond. A 1963, 273, 275–289. [Google Scholar]
- Sethia, G.; Somani, R.S.; Bajaj, H.C. Adsorption of carbon monoxide, methane and nitrogen on alkaline earth metal ion exchanged zeolite-X: Structure, cation position and adsorption relationship. RSC Adv. 2015, 5, 12773–12781. [Google Scholar] [CrossRef]






















Disclaimer/Publisher’s Note: The statements, opinions and data contained in all publications are solely those of the individual author(s) and contributor(s) and not of MDPI and/or the editor(s). MDPI and/or the editor(s) disclaim responsibility for any injury to people or property resulting from any ideas, methods, instructions or products referred to in the content. |
© 2024 by the authors. Licensee MDPI, Basel, Switzerland. This article is an open access article distributed under the terms and conditions of the Creative Commons Attribution (CC BY) license (https://creativecommons.org/licenses/by/4.0/).
Share and Cite
Guo, J.; Kong, S.; Li, K.; Ren, G.; Yang, T.; Dong, K.; Liu, Y. CO2 Utilization and Sequestration in Organic and Inorganic Nanopores During Depressurization and Huff-n-Puff Process. Nanomaterials 2024, 14, 1698. https://doi.org/10.3390/nano14211698
Guo J, Kong S, Li K, Ren G, Yang T, Dong K, Liu Y. CO2 Utilization and Sequestration in Organic and Inorganic Nanopores During Depressurization and Huff-n-Puff Process. Nanomaterials. 2024; 14(21):1698. https://doi.org/10.3390/nano14211698
Chicago/Turabian StyleGuo, Jiadong, Shaoqi Kong, Kunjie Li, Guoan Ren, Tao Yang, Kui Dong, and Yueliang Liu. 2024. "CO2 Utilization and Sequestration in Organic and Inorganic Nanopores During Depressurization and Huff-n-Puff Process" Nanomaterials 14, no. 21: 1698. https://doi.org/10.3390/nano14211698
APA StyleGuo, J., Kong, S., Li, K., Ren, G., Yang, T., Dong, K., & Liu, Y. (2024). CO2 Utilization and Sequestration in Organic and Inorganic Nanopores During Depressurization and Huff-n-Puff Process. Nanomaterials, 14(21), 1698. https://doi.org/10.3390/nano14211698

