Direct Synthesis of MOF-74 Materials on Carbon Fiber Electrodes for Structural Supercapacitors
Abstract
1. Introduction
2. Materials and Methods
2.1. Preparation of Electrodes
2.2. Preparation of the Supercapacitors
2.3. Characterization
3. Results and Discussion
3.1. Characterization of MOF-74 Electrodes
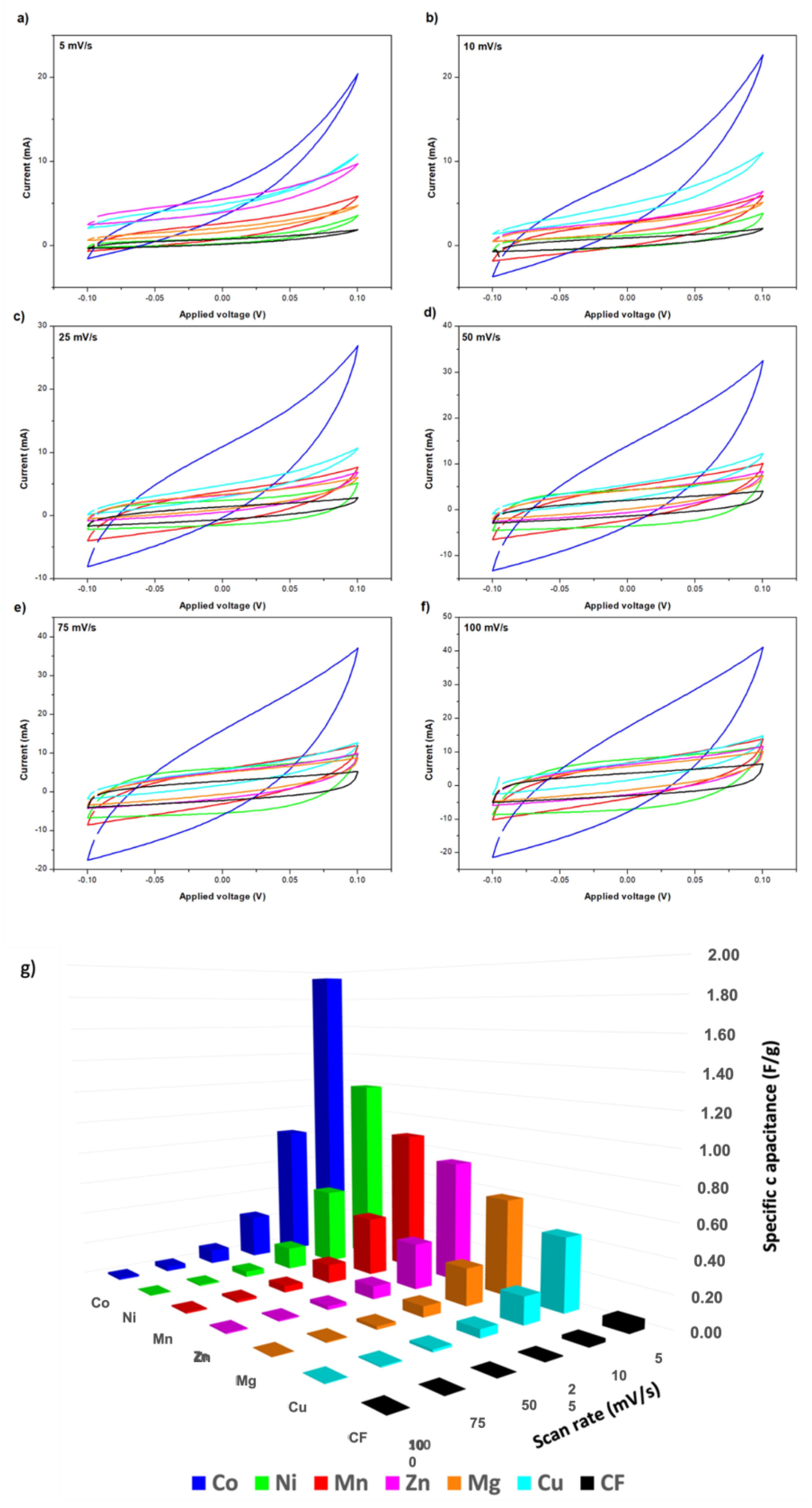
3.2. Electrochemical Properties of MOF-74 Electrodes
3.3. Electrochemical Properties of Structural Supercapacitors
4. Conclusions
Supplementary Materials
Author Contributions
Funding
Data Availability Statement
Acknowledgments
Conflicts of Interest
References
- International Energy Agency. World Energy Outlook 2022. 2022. Available online: https://www.iea.org/reports/world-energy-outlook-2022?language=es (accessed on 7 September 2023).
- Ugurlu, A.; Oztuna, S. How liquid hydrogen production methods affect emissions in liquid hydrogen powered vehicles? Int. J. Hydrogen Energy 2020, 45, 35269–35280. [Google Scholar] [CrossRef]
- Ugurlu, A. An emission analysis study of hydrogen powered vehicles. Int. J. Hydrogen Energy 2020, 45, 26522–26535. [Google Scholar] [CrossRef]
- Sanguesa, J.A.; Torres-Sanz, V.; Garrido, P.; Martinez, F.J.; Marquez-Barja, J.M. A review on electric vehicles: Technologies and challenges. Smart Cities 2021, 4, 372–404. [Google Scholar] [CrossRef]
- Raccichini, R.; Varzi, A.; Passerini, S.; Scrosati, B. The role of graphene for electrochemical energy storage. Nat. Mater. 2015, 14, 271–279. [Google Scholar] [CrossRef] [PubMed]
- Cakici, M.; Reddy, K.R.; Alonso-Marroquin, F. Advanced electrochemical energy storage supercapacitors based on the flexible carbon fiber fabric-coated with uniform coral-like MnO2 structured electrodes. Chem. Eng. J. 2017, 309, 151–158. [Google Scholar] [CrossRef]
- Martinez-Diaz, D.; Leo, P.; Sanz, R.; Carrero, A.; Calles, J.A.; Alique, D. Life cycle assessment of H2-selective Pd membranes fabricated by electroless pore-plating. J. Clean. Prod. 2021, 316, 128229. [Google Scholar] [CrossRef]
- Xu, Y.; Xiao, M.; Liu, T.; Lin, R.; Meng, Y.; Zhang, Y.; Zhu, F. Nitrogen, boron and fluorine tri-doped carbon nanotubes on carbon cloth as the electrode materials for supercapacitors. J. Electroanal. Chem. 2023, 948, 117812. [Google Scholar] [CrossRef]
- Dunn, B.; Kamath, H.; Tarascon, J.-M. Electrical Energy Storage for the Grid: A Battery of Choices System power ratings, module size. Science 1979 2011, 334, 928–935. [Google Scholar] [CrossRef]
- Simon, P.; Gogotsi, Y. Materials for electrochemical capacitors. Nat. Mater. 2008, 7, 845–854. [Google Scholar] [CrossRef]
- Bograchev, D.A.; Volfkovich, Y.M.; Martemianov, S. Diagnostics of supercapacitors using cyclic voltammetry: Modeling and experimental applications. J. Electroanal. Chem. 2023, 935, 117322. [Google Scholar] [CrossRef]
- Arbizzani, C.; Yu, Y.; Li, J.; Xiao, J.; Xia, Y.Y.; Yang, Y.; Santato, C.; Raccichini, R.; Passerini, S. Good practice guide for papers on supercapacitors and related hybrid capacitors for the Journal of Power Sources. J. Power Sources 2020, 450, 1016. [Google Scholar] [CrossRef]
- Conway, B.E. Electrochemical Supercapacitors: Scientific Fundamentals and Technological Applications; Springer: New York, NY, USA, 1999. [Google Scholar] [CrossRef]
- Wang, L.; Han, Y.; Feng, X.; Zhou, J.; Qi, P.; Wang, B. Metal-organic frameworks for energy storage: Batteries and supercapacitors. Coord. Chem. Rev. 2016, 307, 361–381. [Google Scholar] [CrossRef]
- Xia, X.; Tu, J.; Zhang, Y.; Wang, X.; Gu, C.; Zhao, X.B.; Fan, H.J. High-quality metal oxide core/shell nanowire arrays on conductive substrates for electrochemical energy storage. ACS Nano 2012, 6, 5531–5538. [Google Scholar] [CrossRef] [PubMed]
- Roy, N.; Mangiri, R.; Phaneendra Reddy, G.; Manohar, A.; Chung, E.; Deva Prasad Raju, B.; Rajasekhara Reddy, G.; Woo Joo, S. Carbon nanofiber-supported elongated square bipyramid-like MnWO4 composite electrodes for high-performance battery-type supercapacitors: Enhanced electrochemical performance via synergistic effect. J. Electroanal. Chem. 2023, 947, 117764. [Google Scholar] [CrossRef]
- Cheng, F.; Yang, X.; Zhang, S.; Lu, W. Boosting the supercapacitor performances of activated carbon with carbon nanomaterials. J. Power Sources 2020, 450, 227678. [Google Scholar] [CrossRef]
- Liang, Y.; Liu, X.; Qi, X. Hierarchical nanoarchitectonics of ordered mesoporous carbon from lignin for high-performance supercapacitors. Int. J. Biol. Macromol. 2022, 213, 610–620. [Google Scholar] [CrossRef]
- Qiu, Y.; Wang, Z.; Jin, M.; Chen, J.; Miao, C.; Zhang, S.; Lai, L. Amorphous carbon interweaved mesoporous all-carbon electrode for wide-temperature range supercapacitors. Electrochim. Acta 2022, 424, 140622. [Google Scholar] [CrossRef]
- Li, W.; Wang, G.; Sui, W.; Xu, T.; Li, Z.; Parvez, A.M.; Si, C. Facile and scalable preparation of cage-like mesoporous carbon from lignin-based phenolic resin and its application in supercapacitor electrodes. Carbon N. Y. 2022, 196, 819–827. [Google Scholar] [CrossRef]
- Sánchez-Romate, X.F.; del Bosque, A.; Artigas-Arnaudas, J.; Muñoz, B.K.; Sánchez, M.; Ureña, A. A proof of concept of a structural supercapacitor made of graphene coated woven carbon fibers: EIS study and mechanical performance. Electrochim. Acta 2021, 370, 137746. [Google Scholar] [CrossRef]
- Artigas-Arnaudas, J.; Muñoz, B.K.; Sánchez, M.; de Prado, J.; Utrilla, M.V.; Ureña, A. Surface Modifications of Carbon Fiber Electrodes for Structural Supercapacitors. Appl. Compos. Mater. 2022, 29, 889–900. [Google Scholar] [CrossRef]
- Morenghi, A.; Scaravonati, S.; Magnani, G.; Sidoli, M.; Aversa, L.; Verucchi, R.; Bertoni, G.; Riccò, M.; Pontiroli, D. Asymmetric supercapacitors based on nickel decorated graphene and porous graphene electrodes. Electrochim. Acta 2022, 424, 140626. [Google Scholar] [CrossRef]
- Lv, S.; Ma, L.; Shen, X.; Tong, H. One-step copper-catalyzed synthesis of porous carbon nanotubes for high-performance supercapacitors. Microporous Mesoporous Mater. 2021, 310, 110670. [Google Scholar] [CrossRef]
- Kaushik, P.; Rastogi, C.K.; Channegowda, M.; Patel, A.; Gyanprakash, M. Investigating electrochemical properties of iron oxide-carbon nanotube composite for supercapacitor application. Mater Today Proc. 2023, 74, 324–328. [Google Scholar] [CrossRef]
- Raje, P.G.; Gurav, S.R.; Waikar, M.R.; Rasal, A.S.; Chang, J.Y.; Sonkawade, R.G. The review of different dimensionalities based pristine metal organic frameworks for supercapacitor application. J. Energy Storage 2022, 56, 105700. [Google Scholar] [CrossRef]
- Xie, X.X.; Yang, Y.C.; Dou, B.H.; Li, Z.F.; Li, G. Proton conductive carboxylate-based metal–organic frameworks. Coord. Chem. Rev. 2020, 403, 213100. [Google Scholar] [CrossRef]
- Wang, Y.C.; Li, W.B.; Zhao, L.; Xu, B.Q. MOF-derived binary mixed metal/metal oxide @carbon nanoporous materials and their novel supercapacitive performances. Phys. Chem. Chem. Phys. 2016, 18, 17941–17948. [Google Scholar] [CrossRef] [PubMed]
- Al-Furjan, M.S.H.; Shan, L.; Shen, X.; Zarei, M.S.; Hajmohamma, M.H.; Kolahchi, R. A review on fabrication techniques and tensile properties of glass, carbon, and Kevlar fiber reinforced rolymer composites. J. Mater. Res. Technol. 2022, 19, 2930–2959. [Google Scholar] [CrossRef]
- Peijs, T.; Kirschbaum, R.; Lemstra, P.J. Chapter 5: A critical review of carbon fiber and related products from an industrial perspective. Adv. Ind. Eng. Polym. Res. 2022, 5, 90–106. [Google Scholar] [CrossRef]
- Forintos, N.; Czigany, T. Multifunctional application of carbon fiber reinforced polymer composites: Electrical properties of the reinforcing carbon fibers—A short review. Compos. Part B 2019, 162, 331–343. [Google Scholar] [CrossRef]
- Yang, S.; Cheng, Y.; Xiao, X.; Pang, H. Development and application of carbon fiber in batteries. Chem. Eng. J. 2020, 384, 123294. [Google Scholar] [CrossRef]
- Leo, P.; Orcajo, G.; Briones, D.; Martínez, F.; Calleja, G. Direct α-arylation of ketones efficiently catalyzed by Cu-MOF-74. Catal. Today 2020, 345, 251–257. [Google Scholar] [CrossRef]
- Xie, L.S.; Skorupskii, G.; Dincǎ, M. Electrically Conductive Metal-Organic Frameworks. Chem. Rev. 2020, 120, 8536–8580. [Google Scholar] [CrossRef] [PubMed]
- Xie, S.; Qin, Q.; Liu, H.; Jin, L.; Wei, X.; Liu, J.; Liu, X.; Yao, Y.; Dong, L.; Li, B. MOF-74-M (M = Mn, Co, Ni, Zn, MnCo, MnNI, and MnZn) for low-temperature NH3-SCR and in situ Drifts study reaction mechanism. ACS Appl. Mater. Interfaces 2020, 12, 48476–48485. [Google Scholar] [CrossRef] [PubMed]
- Caskey, S.R.; Wong-Foy, A.G.; Matzger, A.J. Dramatic tuning of carbon dioxide uptake via metal substitution in a coordination polymer with cylindrical pores. J. Am. Chem. Soc. 2008, 130, 10870–10871. [Google Scholar] [CrossRef] [PubMed]
- Rowsell, J.L.C.; Yaghi, O.M. Effects of functionalization, catenation, and variation of the metal oxide and organic linking units on the low-pressure hydrogen adsorption properties of metal-organic frameworks. J. Am. Chem. Soc. 2006, 128, 1304–1315. [Google Scholar] [CrossRef] [PubMed]
- Abedini, H.; Shariati, A.; Khosravi-Nikou, M.R. Adsorption of propane and propylene on M-MOF-74 (M = Cu, Co): Equilibrium and Kinetic study. Chem. Eng. Res. Des. 2020, 153, 96–106. [Google Scholar] [CrossRef]
- del Bosque, A.; Muñoz, B.K.; Sánchez, M.; Ureña, A. Thermomechanically Robust Ceramic/Polymer Nanocomposites Modified with Ionic Liquid for Hybrid Polymer Electrolyte Applications. ACS Appl. Energy Mater. 2022, 5, 4247–4258. [Google Scholar] [CrossRef]
- Zuluaga, S.; Fuentes-Fernandez, E.M.A.; Tan, K.; Xu, F.; Li, J.; Chabal, Y.J.; Thonhauser, T. Understanding and controlling water stability of MOF-74. J. Mater. Chem. A Mater. 2016, 4, 5176–5183. [Google Scholar] [CrossRef]
- Kökçam-Demir, Ü.; Goldman, A.; Esrafili, L.; Gharib, M.; Morsali, A.; Weingart, O.; Janiak, C. Coordinatively unsaturated metal sites (open metal sites) in metal-organic frameworks: Design and applications. Chem. Soc. Rev. 2020, 49, 2751–2798. [Google Scholar] [CrossRef]
- Dhandapani, E.; Thangarasu, S.; Ramesh, S.; Ramesh, K.; Vasudevan, R.; Duraisamy, N. Recent development and prospective of carbonaceous material, conducting polymer and their composite electrode materials for supercapacitor—A review. J. Energy Storage 2022, 52, 104937. [Google Scholar] [CrossRef]
- Kim, H.; Hong, C.S. MOF-74-type frameworks: Tunable pore environment and functionality through metal and ligand modification. CrystEngComm 2021, 23, 1377–1387. [Google Scholar] [CrossRef]
- Xu, L.; Jiang, A.; Yang, Z.; Guan, H.; Jia, H.; Min, M. Mechanical properties of CFF/MC/SF composite prepared using vacuum infusion impregnation method. Results Phys. 2017, 7, 1016–1021. [Google Scholar] [CrossRef]
- Díaz-García, M.; Mayoral, Á.; Díaz, I.; Sánchez-Sánchez, M. Nanoscaled M-MOF-74 materials prepared at room temperature. Cryst. Growth Des. 2014, 14, 2479–2487. [Google Scholar] [CrossRef]
- Elgrishi, N.; Rountree, K.J.; McCarthy, B.D.; Rountree, E.S.; Eisenhart, T.T.; Dempsey, J.L. A Practical Beginner’s Guide to Cyclic Voltammetry. J. Chem. Educ. 2018, 95, 197–206. [Google Scholar] [CrossRef]
- Yang, L.; Zhu, Q.; Yang, K.; Xu, X.; Huang, J.; Chen, H.; Wang, H. A Review on the Application of Cobalt-Based Nanomaterials in Supercapacitors. Nanomaterials 2022, 12, 4065. [Google Scholar] [CrossRef] [PubMed]
- Vadivel, S.; Naveen, A.N.; Theerthagiri, J.; Madhavan, J.; Priya, T.S.; Balasubramanian, N. Solvothermal synthesis of BiPO4 nanorods/MWCNT (1D-1D) composite for photocatalyst and supercapacitor applications. Ceram. Int. 2016, 42, 14196–14205. [Google Scholar] [CrossRef]
- Jadhav, S.; Kalubarme, R.S.; Suzuki, N.; Terashima, C.; Kale, B.; Gosavi, S.W.; Ashokkumar, M.; Fujishima, A. Probing electrochemical charge storage of 3D porous hierarchical cobalt oxide decorated rGO in ultra-high-performance supercapacitor. Surf. Coat. Technol. 2021, 419, 127287. [Google Scholar] [CrossRef]
- Xu, Z.; Younis, A.; Chu, D.; Ao, Z.; Xu, H.; Li, S. Electrodeposition of mesoporous Co3O4 nanosheets on carbon foam for high performance supercapacitors. J. Nanomater. 2014, 2014, 902730. [Google Scholar] [CrossRef]
- Li, R.; Shen, Z.; Zheng, H.; Jin, L.; Zhang, Y.; Yuan, W.; Wang, X. Three-dimensional nitrogen and oxygen co-doped hierarchical porous carbons prepared from polyacrylonitrile/polyamic acid composite films for supercapacitors. J. Energy Storage 2023, 73, 109521. [Google Scholar] [CrossRef]
- Wang, X.; Fei, Y.; Chen, J.; Pan, Y.; Yuan, W.; Zhang, L.Y.; Guo, C.X.; Li, C.M. Directionally In Situ Self-Assembled, High-Density, Macropore-Oriented, CoP-Impregnated, 3D Hierarchical Porous Carbon Sheet Nanostructure for Superior Electrocatalysis in the Hydrogen Evolution Reaction. Small 2022, 18, 2103866. [Google Scholar] [CrossRef]





| Material | Solvent | Metal Source (mmol) | Organic Ligand (mmol) | Temperature (°C) | Time (h) | Ref. |
|---|---|---|---|---|---|---|
| Mn-MOF-74 | 25 mL 15DMF:1ethanol:1H2O | MnCl2·6H2O 1.111 | 0.366 | 135 | 24 | [35] |
| Ni-MOF-74 | 20 mL 1DMF:1ethanol:1H2O | Ni(NO3)2·6H2O 0.818 | 0.241 | 100 | 24 | [36] |
| Co-MOF-74 | 20 mL 1DMF:1ethanol:1H2O | Co(NO3)2·6H2O 0.867 | 0.243 | 100 | 24 | [36] |
| Cu-MOF-74 | 25 mL 20DMF:1isopropanol | Cu(NO3)2·3H2O 1.119 | 1.119 | 80 | 18 | [33] |
| Zn-MOF-74 | 25 mL 20DMF:1H2O | Zn(NO3)2·4H2O 0.729 | 0.243 | 100 | 20 | [37] |
| Mg-MOF-74 | 25 mL 15DMF:1ethanol:1H2O | Mg(NO3)2·6H2O 0.926 | 0.280 | 125 | 20 | [36] |
| Material | SBET (m2/g) | Vp (cm3/g) |
|---|---|---|
| Mn-MOF-74 | 867 | 0.43 |
| Ni-MOF-74 | 1121 | 0.49 |
| Co-MOF-74 | 1127 | 0.54 |
| Cu-MOF-74 | 1126 | 0.55 |
| Zn-MOF-74 | 995 | 0.44 |
| Mg-MOF-74 | 710 | 0.43 |
| Supercapacitor Charging Time (min) | LED Lighting Time (min) |
|---|---|
| 1 | 4 |
| 5 | 11 |
| 15 | 19 |
| 30 | 38 |
Disclaimer/Publisher’s Note: The statements, opinions and data contained in all publications are solely those of the individual author(s) and contributor(s) and not of MDPI and/or the editor(s). MDPI and/or the editor(s) disclaim responsibility for any injury to people or property resulting from any ideas, methods, instructions or products referred to in the content. |
© 2024 by the authors. Licensee MDPI, Basel, Switzerland. This article is an open access article distributed under the terms and conditions of the Creative Commons Attribution (CC BY) license (https://creativecommons.org/licenses/by/4.0/).
Share and Cite
Martinez-Diaz, D.; Leo, P.; Crespo, D.M.; Sánchez, M.; Ureña, A. Direct Synthesis of MOF-74 Materials on Carbon Fiber Electrodes for Structural Supercapacitors. Nanomaterials 2024, 14, 227. https://doi.org/10.3390/nano14020227
Martinez-Diaz D, Leo P, Crespo DM, Sánchez M, Ureña A. Direct Synthesis of MOF-74 Materials on Carbon Fiber Electrodes for Structural Supercapacitors. Nanomaterials. 2024; 14(2):227. https://doi.org/10.3390/nano14020227
Chicago/Turabian StyleMartinez-Diaz, David, Pedro Leo, David Martín Crespo, María Sánchez, and Alejandro Ureña. 2024. "Direct Synthesis of MOF-74 Materials on Carbon Fiber Electrodes for Structural Supercapacitors" Nanomaterials 14, no. 2: 227. https://doi.org/10.3390/nano14020227
APA StyleMartinez-Diaz, D., Leo, P., Crespo, D. M., Sánchez, M., & Ureña, A. (2024). Direct Synthesis of MOF-74 Materials on Carbon Fiber Electrodes for Structural Supercapacitors. Nanomaterials, 14(2), 227. https://doi.org/10.3390/nano14020227

