Controllable Pseudospin Topological Add-Drop Filter Based on Magnetic–Optical Photonic Crystals
Abstract
1. Introduction
2. Materials and Methods
2.1. Basic Honeycomb PC and Band Structure Analyses
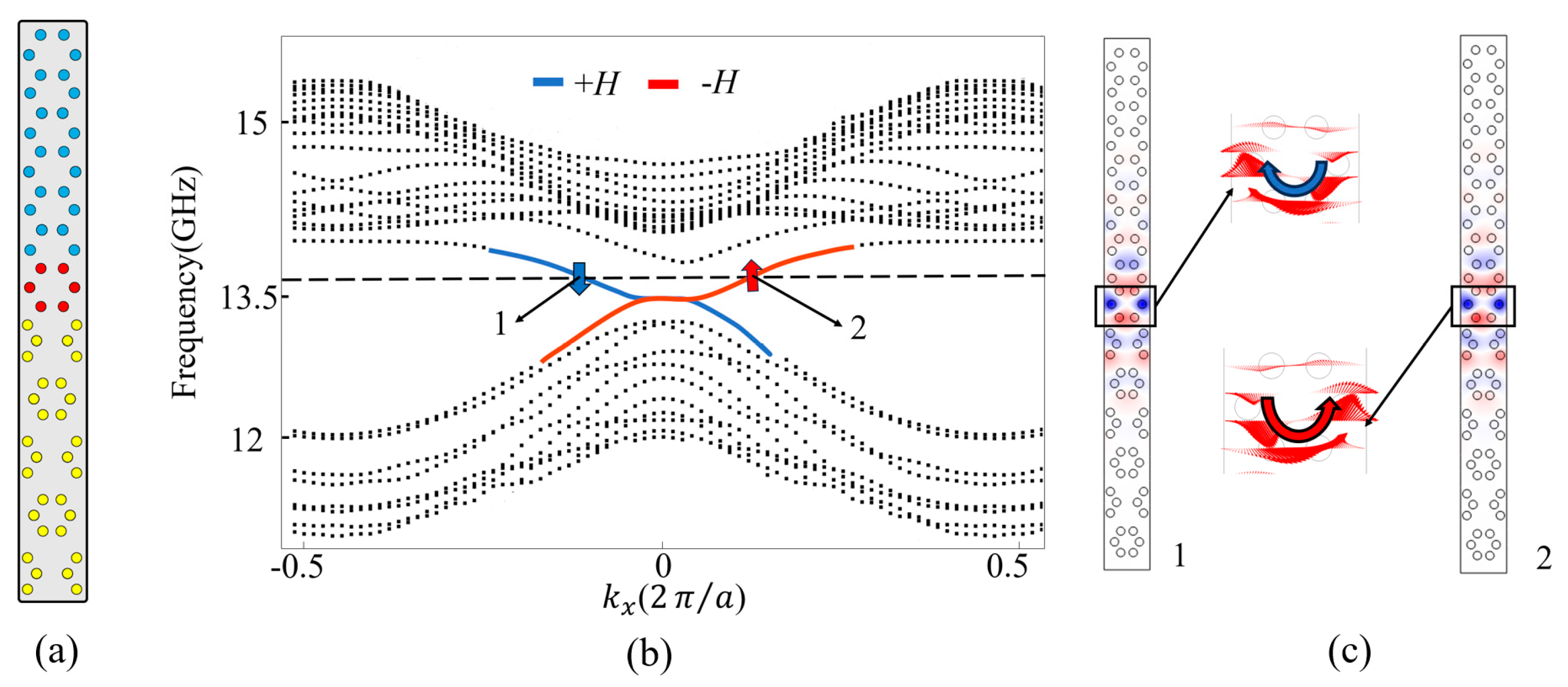
2.2. Projected Band Structure of ACB Sandwiched Waveguide
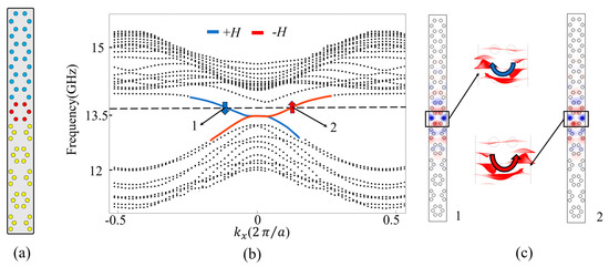
2.3. Hexagonal Topological PCRR
2.4. Single Waveguide Coupling with PCRR
3. Results
3.1. Controllable Four-Port ADF
3.2. Power Ratio Analyses of the ADF
4. Conclusions
Supplementary Materials
Author Contributions
Funding
Data Availability Statement
Conflicts of Interest
Appendix A
| Precision | Coordinate system selection | Global coordinate system |
| Boundary selection | Scattering boundary selection | |
| Orthonormal block limit | 10,000,000 | |
| Pivoting perturbation | 1.0 × 10−8 | |
| Number of iterations | Maximum number of eigenvalue iterations | 300 |
| Number of iterations in control entities | 8 | |
| Details of spatial mesh | Spatial mesh | Free triangular mesh |
| Predefined | Finer | |
| Maximum element size | 0.00766 m | |
| Minimum element size | 2.59 × 10−5 m | |
| Curvature factor | 0.25 |
References
- John, S. Strong Localization of Photons in Certain Disordered Dielectric Super Lattices. Phys. Rev. Lett. 1987, 58, 2486–2489. [Google Scholar] [CrossRef]
- Yablonovitch, E. Inhibited spontaneous emission in solid-state physics and electronics. Phys. Rev. Lett. 1987, 58, 2059–2062. [Google Scholar] [CrossRef] [PubMed]
- Haldane, F.D.M.; Raghu, S. Possible realization of directional optical waveguides in photonic crystals with broken time-reversal symmetry. Phys. Rev. Lett. 2008, 100, 013904. [Google Scholar] [CrossRef]
- Raghu, S.; Haldane, F.D.M. Analogs of quantum-Hall-effect edge states in photonic crystals. Phys. Rev. A 2008, 78, 033834. [Google Scholar] [CrossRef]
- Wang, Z.; Chong, Y.D.; Joannopoulos, J.D.; Soljacic, M. Observation of unidirectional backscattering-immune topological electromagnetic states. Nature 2009, 461, 772–775. [Google Scholar] [CrossRef] [PubMed]
- Hafezi, M.; Demler, E.A.; Lukin, M.D.; Taylor, J.M. Robust optical delay lines with topological protection. Nat. Phys. 2011, 7, 907–912. [Google Scholar] [CrossRef]
- Hafezi, M.; Mittal, S.; Fan, J.; Migdall, A.; Taylor, J.M. Imaging topological edge states in silicon photonics. Nat. Photonics 2013, 7, 1001–1005. [Google Scholar] [CrossRef]
- Wu, L.-H.; Hu, X. Scheme for Achieving a Topological Photonic Crystal by Using Dielectric Material. Phys. Rev. Lett. 2015, 114, 223901. [Google Scholar] [CrossRef]
- Chen, Z.-G.; Mei, J.; Sun, X.-C.; Zhang, X.; Zhao, J.; Wu, Y. Multiple topological phase transitions in a gyromagnetic photonic crystal. Phys. Rev. A 2017, 95, 043827. [Google Scholar] [CrossRef]
- Chen, M.L.N.; Jiang, L.j.; Lan, Z.; Sha, W.E.I. Pseudospin-Polarized Topological Line Defects in Dielectric Photonic Crystals. IEEE Trans. Antennas Propag. 2020, 68, 609–613. [Google Scholar] [CrossRef]
- Yang, Y.; Xu, Y.F.; Xu, T.; Wang, H.-X.; Jiang, J.-H.; Hu, X.; Hang, Z.H. Visualization of a Unidirectional Electromagnetic Waveguide Using Topological Photonic Crystals Made of Dielectric Materials. Phys. Rev. Lett. 2018, 120, 217401. [Google Scholar] [CrossRef] [PubMed]
- Wang, M.; Zhang, R.Y.; Zhang, L.; Wang, D.; Guo, Q.; Zhang, Z.Q.; Chan, C.T. Topological One-Way Large-Area Waveguide States in Magnetic Photonic Crystals. Phys. Rev. Lett. 2021, 126, 067401. [Google Scholar] [CrossRef] [PubMed]
- Qu, T.; Wang, N.; Wang, M.; Zhang, L.; Chen, J. Flexible electromagnetic manipulation by topological one-way large-area waveguide states. Phys. Rev. B 2022, 105, 195432. [Google Scholar] [CrossRef]
- Li, S.; Chen, M.L.N.; Lan, Z.; Li, P. Coexistence of large-area topological pseudospin and valley states in a tri-band heterostructure system. Opt. Lett. 2023, 48, 4693–4696. [Google Scholar] [CrossRef] [PubMed]
- Lan, Z.; Chen, M.L.N.; You, J.W.; Sha, W.E.I. Large-area quantum-spin-Hall waveguide states in a three-layer topological photonic crystal heterostructure. Phys. Rev. A 2023, 107, L041501. [Google Scholar] [CrossRef]
- Yu, X.; Chen, J.; Li, Z.-Y.; Liang, W. Topological large-area one-way transmission in pseudospin-field-dependent waveguides using magneto-optical photonic crystals. Photonics Res. 2023, 11, 1105–1112. [Google Scholar] [CrossRef]
- Seifouri, M.; Fallahi, V.; Olyaee, S. Ultra-high-Q optical filter based on photonic crystal ring resonator. Photonic Netw. Commun. 2018, 35, 225–230. [Google Scholar] [CrossRef]
- Fu, J.-X.; Lian, J.; Liu, R.-J.; Gan, L.; Li, Z.-Y. Unidirectional channel-drop filter by one-way gyromagnetic photonic crystal waveguides. Appl. Phys. Lett. 2011, 98, 211104. [Google Scholar] [CrossRef]
- Tang, G.; Huang, Y.; Chen, J.; Li, Z.-Y.; Liang, W. A Topological Multichannel Add-Drop Filter Based on Gyromagnetic Photonic Crystals. Nanomaterials 2023, 13, 1711. [Google Scholar] [CrossRef]
- Tao, K.; Xiao, J.-J.; Yin, X. Nonreciprocal photonic crystal add-drop filter. Appl. Phys. Lett. 2014, 105, 211105. [Google Scholar] [CrossRef]
- Almasian, M.R.; Abedi, K. Performance improvement of wavelength division multiplexing based on photonic crystal ring resonator. Optik 2015, 126, 2612–2615. [Google Scholar] [CrossRef]
- Li, H.; Luo, C.; Zhang, T.; Xu, J.; Zhou, X.; Shen, Y.; Deng, X. Topological Refraction in Kagome Split-Ring Photonic Insulators. Nanomaterials 2022, 12, 1493. [Google Scholar] [CrossRef] [PubMed]
- Fallahi, V.; Seifouri, M.; Mohammadi, M. A new design of optical add/drop filters and multi-channel filters based on hexagonal PhCRR for WDM systems. Photonic Netw. Commun. 2019, 37, 100–109. [Google Scholar] [CrossRef]
- Rafiee, E.; Emami, F. Realization of tunable optical channel drop filter based on photonic crystal octagonal shaped structure. Optik 2018, 171, 798–802. [Google Scholar] [CrossRef]
- Hou, T.; Ge, R.; Tan, W.; Liu, J.J. One-way rotating state of multi-periodicity frequency bands in circular photonic crystal. J. Phys. D—Appl. Phys. 2020, 53, 075104. [Google Scholar] [CrossRef]
- Chen, J.; Liang, W.; Li, Z. Progress of Topological Photonic State in Magneto-Optical Photonic Crystal. Acta Opt. Sin. 2021, 41, 0823015. [Google Scholar] [CrossRef]
- Singh, B.K.; Tiwari, S.; Chaudhari, M.K.; Pandey, P.C. Tunable photonic defect modes in one-dimensional photonic crystals containing exponentially and linearly graded index defect. Optik 2016, 127, 6452–6462. [Google Scholar] [CrossRef]
- Chen, Z.-G.; Wu, Y. Tunable Topological Phononic Crystals. Phys. Rev. Appl. 2016, 5, 054021. [Google Scholar] [CrossRef]
- Liu, C.-X.; Qi, X.-L.; Zhang, H.; Dai, X.; Fang, Z.; Zhang, S.-C. Model Hamiltonian for topological insulators. Phys. Rev. B 2010, 82, 045112. [Google Scholar] [CrossRef]
- Yang, Y.; Xu, Z.; Sheng, L.; Wang, B.; Xing, D.Y.; Sheng, D.N. Time-Reversal-Symmetry-Broken Quantum Spin Hall Effect. Phys. Rev. Lett. 2011, 107, 066602. [Google Scholar] [CrossRef]
- Sheng, L.; Li, H.-C.; Yang, Y.-Y.; Sheng, D.-N.; Xing, D.-Y. Spin Chern numbers and time-reversal-symmetry-broken quantum spin Hall effect. Chin. Phys. B 2013, 22, 067201. [Google Scholar] [CrossRef]
- Jin, M.-C.; Gao, Y.-F.; Huang, G.-Y.; He, Y.-H.; Sun, J.-P.; Song, H. Manipulation of coupling between waveguide and ring resonator in topological photonic crystals. Phys. E-Low-Dimens. Syst. Nanostructures 2022, 136, 115013. [Google Scholar] [CrossRef]
- Yu, S.-Y.; He, C.; Sun, X.-C.; Wang, H.-F.; Wang, J.-Q.; Zhang, Z.-D.; Xie, B.-Y.; Tian, Y.; Lu, M.-H.; Chen, Y.-F. Critical couplings in topological-insulator waveguide-resonator systems observed in elastic waves. Natl. Sci. Rev. 2021, 8, nwaa262. [Google Scholar] [CrossRef] [PubMed]
- Manolatou, C.; Khan, M.J.; Fan, S.; Villeneuve, P.R.; Haus, H.A.; Joannopoulos, J.D. Coupling of Modes Analysis of Resonant Channel Add–Drop Filters. IEEE J. Quant. Electron. 1999, 35, 1322–1331. [Google Scholar] [CrossRef]
- Olivier, S.; Benisty, H.; Weisbuch, C.; Smith, C.J.M.; Krauss, T.F.; Houdre, R. Coupled-mode theory and propagation losses in photonic crystal waveguides. Opt. Express 2003, 11, 1490–1496. [Google Scholar] [CrossRef]







Disclaimer/Publisher’s Note: The statements, opinions and data contained in all publications are solely those of the individual author(s) and contributor(s) and not of MDPI and/or the editor(s). MDPI and/or the editor(s) disclaim responsibility for any injury to people or property resulting from any ideas, methods, instructions or products referred to in the content. |
© 2024 by the authors. Licensee MDPI, Basel, Switzerland. This article is an open access article distributed under the terms and conditions of the Creative Commons Attribution (CC BY) license (https://creativecommons.org/licenses/by/4.0/).
Share and Cite
Yan, C.; Huang, Y.; Li, Z.-Y.; Liang, W. Controllable Pseudospin Topological Add-Drop Filter Based on Magnetic–Optical Photonic Crystals. Nanomaterials 2024, 14, 919. https://doi.org/10.3390/nano14110919
Yan C, Huang Y, Li Z-Y, Liang W. Controllable Pseudospin Topological Add-Drop Filter Based on Magnetic–Optical Photonic Crystals. Nanomaterials. 2024; 14(11):919. https://doi.org/10.3390/nano14110919
Chicago/Turabian StyleYan, Chao, Yuhao Huang, Zhi-Yuan Li, and Wenyao Liang. 2024. "Controllable Pseudospin Topological Add-Drop Filter Based on Magnetic–Optical Photonic Crystals" Nanomaterials 14, no. 11: 919. https://doi.org/10.3390/nano14110919
APA StyleYan, C., Huang, Y., Li, Z.-Y., & Liang, W. (2024). Controllable Pseudospin Topological Add-Drop Filter Based on Magnetic–Optical Photonic Crystals. Nanomaterials, 14(11), 919. https://doi.org/10.3390/nano14110919

