Electron Spin–Lattice Relaxation of Substitutional Nitrogen in Silicon: The Role of Disorder and Motional Effects
Abstract
1. Introduction
2. Materials and Methods
3. Results
3.1. SL5 Center Angular Variation
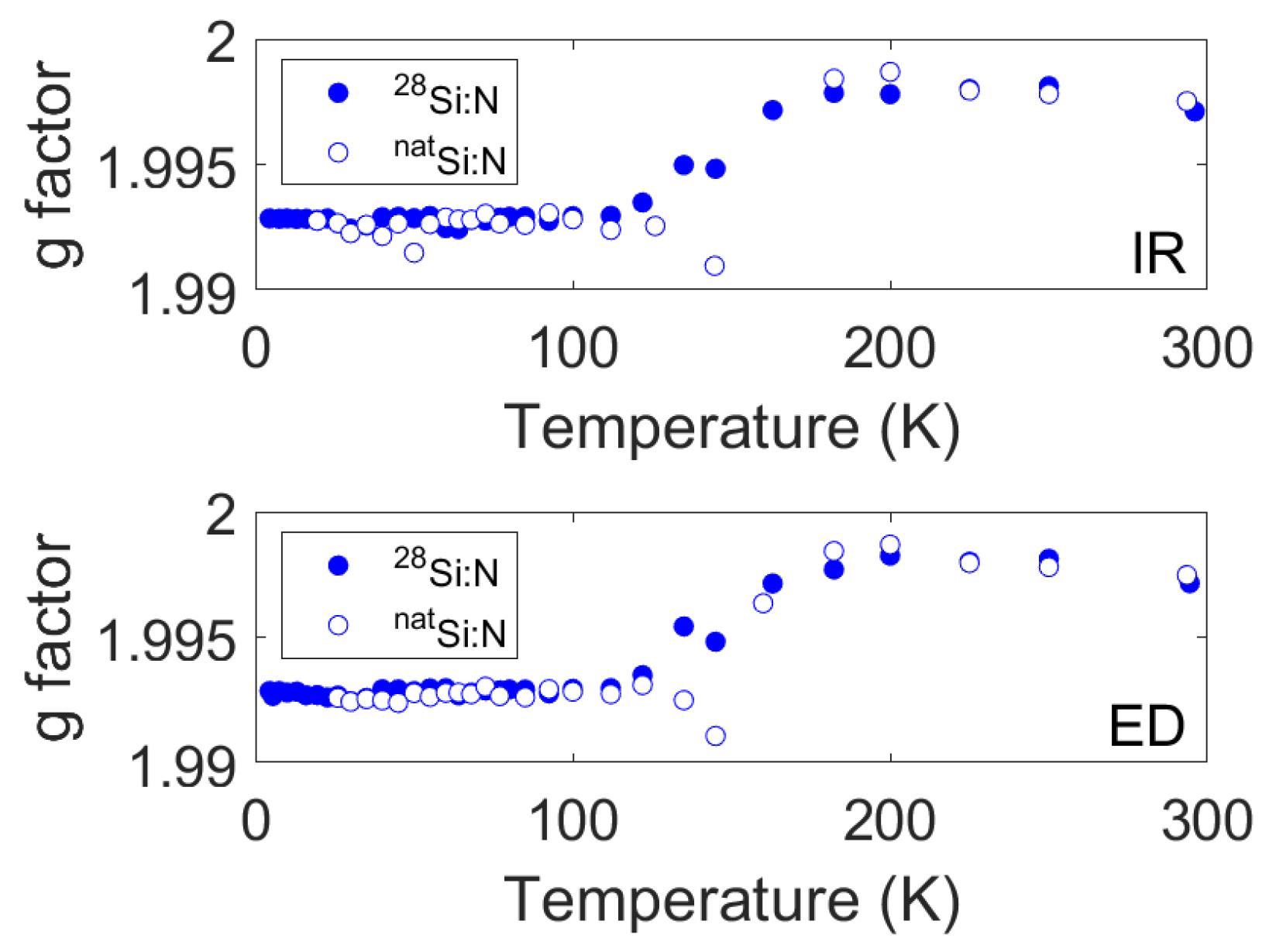
3.2. Spin–Relaxation Rates
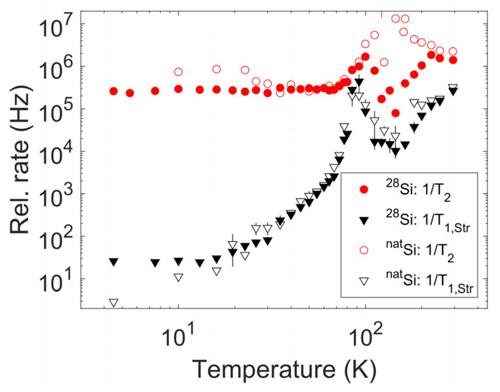
3.3. Spin–Spin Relaxation
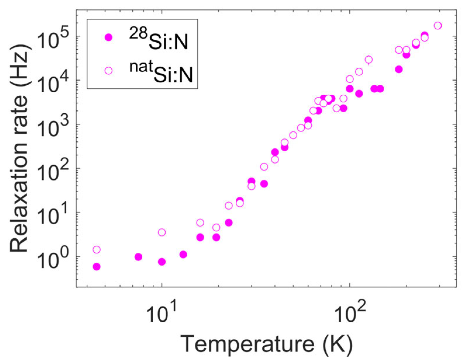
3.4. Spin–Lattice Relaxation
4. Discussion
- Each single NSi center is characterized by four potential wells corresponding to the four equivalent <111> directions due to the lattice symmetry. In the case of noninteracting centers, we expect these potential wells to be identical (Figure 9a); however, mutual interaction, Si atom displacements, and second-order effects occur to remove their degeneracy (Figure 9b). Here, we neglect a 5th potential well corresponding to the on-center N configuration, reported as 73 meV above the other wells with a slightly higher energy barrier [27];
- At very low temperatures, the system is frozen in a disordered situation due to the cool-down from room temperature (Figure 9c). Each NSi state corresponds to a random well that is not necessarily the true ground state, and the thermal energy does not enable the energy barrier between the different configurations to be overcome. Hence, the initial low temperature high disorder occurs;
- By heating, the thermal energy becomes (barely) sufficient to assist configurational jumps between the four different possible displacements along the <111> directions (Figure 9d). The donors can probe different local configurations, although the thermal energy is not sufficient to promote frequent jumps. Eventually, the system intrinsically selects the configuration characterized by the lowest energy on a local basis. Thus, the system is characterized by reduced disorder; hence, the spin–lattice relaxation distribution narrows, and the stretch exponent approaches one. Since this situation starts at approximately 30 K, we can estimate that the levels corresponding to the different potential wells are characterized by a difference of approximately ~2–3 meV;
- Upon further heating, more thermal energy is available, and the thermal jumps between the different configurations become more frequent (Figure 9e). The probability for the nitrogen donors in nearby cells to be displaced along random <111> directions becomes higher, and each donor experiences a local configuration that varies frequently during the time scale of resonance experiments. The distribution of spin–lattice relaxation rates broadens again since the dynamics induce disorder in the ensemble probed by the resonance measurement;
- With additional heating, configurational jumps occur at a higher rate, and the onset of motional narrowing is observed (Figure 9f). This situation still shows a high degree of disorder, but the motional averaging reduces its effect. We can consider that in this regime, the time scale of the relaxation experiments probes the averaged configuration rather than the instantaneous configuration of the system at low temperature. Thus, the system recovers an apparent, partially ordered situation, which can explain the reduction in the spin–lattice distribution width and the increase in the stretch exponent.
5. Conclusions
Supplementary Materials
Author Contributions
Funding
Data Availability Statement
Acknowledgments
Conflicts of Interest
References
- Belli, M.; Fanciulli, M.; Batani, D. Electron spin resonance of substitutional nitrogen in silicon. Phys. Rev. B 2014, 89, 115207. [Google Scholar] [CrossRef]
- Kane, B.E. A silicon-based nuclear spin quantum computer. Nature 1998, 393, 133–137. [Google Scholar] [CrossRef]
- Kane, B.E.; McAlpine, N.S.; Dzurak, A.S.; Clark, R.G.; Milburn, G.J.; Sun, H.B.; Wiseman, H. Single-spin measurement using single-electron transistors to probe two-electron systems. Phys. Rev. B 2000, 61, 2961–2972. [Google Scholar] [CrossRef]
- Morello, A.; Pla, J.J.; Bertet, P.; Jamieson, D.N. Donor spins in silicon for quantum technologies. Adv. Quantum Technol. 2020, 3, 2000005. [Google Scholar] [CrossRef]
- Fanciulli, M.; Höfer, P.; Ponti, A. Shallow donor electron spins as qubits in Si and SiGe: A pulsed ESR study. Phys. B 2003, 340–342, 895–902. [Google Scholar] [CrossRef]
- Ferretti, A.; Fanciulli, M.; Ponti, A.; Schweiger, A. Electron spin-echo relaxation and envelope modulation of shallow phosphorus donors in silicon. Phys. Rev. B 2005, 72, 235201. [Google Scholar] [CrossRef]
- Tyryshkin, A.M.; Morton, J.J.L.; Benjamin, S.C.; Ardavan, A.; Briggs, G.A.D.; Ager, J.W.; Lyon, S.A. Coherence of spin qubits in silicon. J. Phys. Condens. Matter 2006, 18, S783–S794. [Google Scholar] [CrossRef]
- Tyryshkin, A.M.; Tojo, S.; Morton, J.J.L.; Riemann, H.; Abrosimov, N.V.; Becker, P.; Pohl, H.-J.; Schenkel, T.; Thewalt, M.L.W.; Itoh, K.M.; et al. Electron spin coherence exceeding seconds in high-purity silicon. Nat. Mater. 2012, 11, 143–147. [Google Scholar] [CrossRef]
- Belli, M.; Fanciulli, M.; Abrosimov, N.V. Pulse electron spin resonance investigation of bismuth-doped silicon: Relaxation and electron spin echo envelope modulation. Phys. Rev. B 2011, 83, 235204. [Google Scholar] [CrossRef]
- George, R.E.; Witzel, W.; Riemann, H.; Abrosimov, N.V.; Nötzel, N.; Thewalt, M.L.W.; Morton, J.J.L. Electron spin coherence and electron nuclear double resonance of Bi donors in natural Si. Phys. Rev. Lett. 2010, 105, 067601. [Google Scholar] [CrossRef]
- Mohammady, M.H.; Morley, G.W.; Monteiro, T.S. Bismuth qubits in silicon: The role of EPR cancellation resonances. Phys. Rev. Lett. 2010, 105, 067602. [Google Scholar] [CrossRef]
- Balian, S.J.; Kunze, M.B.A.; Mohammady, M.H.; Morley, G.W.; Witzel, W.M.; Kay, C.W.M.; Monteiro, T.S. Measuring central-spin interaction with a spin bath by pulsed ENDOR: Towards suppression of spin diffusion decoherence. Phys. Rev. B 2012, 86, 104428. [Google Scholar] [CrossRef]
- Lo Nardo, R.; Wolfowicz, G.; Simmons, S.; Tyryshkin, A.M.; Riemann, H.; Abrosimov, N.V.; Becker, P.; Pohl, H.-J.; Steger, M.; Lyon, S.A.; et al. Spin relaxation and donor-acceptor recombination of Se+ in 28-silicon. Phys. Rev. B 2015, 92, 165201. [Google Scholar] [CrossRef]
- Šimėnas, M.; O’Sullivan, J.; Kennedy, O.W.; Lin, S.; Fearn, S.; Zollitsch, C.W.; Dold, G.; Schmitt, T.; Schüffelgen, P.; Liu, R.-B.; et al. Near-Surface 125Te+ Spins with Millisecond Coherence Lifetime. Phys. Rev. Lett. 2022, 129, 117701. [Google Scholar] [CrossRef]
- Pantelides, S.T.; Sah, C.T. Theory of localized states in semiconductors. II. The pseudo impurity theory application to shallow and deep donors in silicon. Phys. Rev. B 1974, 10, 638–658. [Google Scholar] [CrossRef]
- Yadav, P.; Arora, H.; Samanta, A. Nitrogen in silicon for room temperature single-electron tunneling devices. Appl. Phys. Lett. 2023, 122, 083502. [Google Scholar] [CrossRef]
- Watkins, G.D. Metastable defects in silicon: Hints for DX and EL2? Semicond. Sci. Technol. 1991, 6, B111–B120. [Google Scholar] [CrossRef]
- Ewels, C.P.; Jones, R.; Öberg, S.; Miro, J.; Deák, P. Shallow thermal donor defects in silicon. Phys. Rev. Lett. 1996, 77, 865–868. [Google Scholar] [CrossRef]
- Pantelides, S.T.; Harrison, W.A.; Yndurain, F. Pseudo-Jahn-Teller effect and chemical rebonding: Two distinct physical phenomena. Phys. Rev. B 1988, 37, 1016–1018. [Google Scholar] [CrossRef]
- Goss, J.P.; Hahn, I.; Jones, R.; Briddon, P.R.; Öberg, S. Vibrational modes and electronic properties of nitrogen defects in silicon. Phys. Rev. B 2003, 67, 045206. [Google Scholar] [CrossRef]
- Sferco, S.J.; Passeggi, M.C.G. EHT cluster calculations of deep-level defects in Si without dangling bonds. J. Phys. C Solid State Phys. 1985, 18, 3717–3727. [Google Scholar] [CrossRef]
- DeLeo, G.G.; Fowler, W.B.; Watkins, G.D. Theory of off-center impurities in silicon: Substitutional nitrogen and oxygen. Phys. Rev. B 1984, 29, 3193–3207. [Google Scholar] [CrossRef]
- Vergés, J.A. A simple tight-binding model for deep impurity levels: Application to the Jahn-Teller-distorted nitrogen donor in silicon. J. Phys. C Solid State Phys. 1981, 14, 365–373. [Google Scholar] [CrossRef]
- Schultz, P.A.; Messmer, R.P. Valence-bond theory of off-center impurities in silicon: Substitutional nitrogen. Phys. Rev. B 1986, 34, 2532–2553. [Google Scholar] [CrossRef]
- Brower, K.L. Jahn-Teller-distorted nitrogen donor in laser-annealed silicon. Phys. Rev. Lett. 1980, 44, 1627–1629. [Google Scholar] [CrossRef]
- Brower, K.L. Deep-level nitrogen centers in laser-annealed ion-implanted silicon. Phys. Rev. B 1982, 26, 6040–6052. [Google Scholar] [CrossRef]
- Murakami, K.; Kuribayashi, H.; Masuda, K. Motional effects between on-center and off-center substitutional nitrogen in silicon. Phys. Rev. B 1988, 38, 1589–1592. [Google Scholar] [CrossRef]
- Murakami, K.; Masuda, K.; Aoyagi, Y.; Namba, S. Experimental tests of non-thermal effect for pulsed-laser annealing by time-resolved reflectivity and EPR measurements. Phys. B+C 1983, 116, 564–569. [Google Scholar] [CrossRef]
- Murakami, K.; Itoh, H.; Takita, K.; Masuda, K. Substitutional nitrogen impurities in pulsed-laser annealed silicon. Appl. Phys. Lett. 1984, 45, 176–178. [Google Scholar] [CrossRef][Green Version]
- Simha, C.; Herrero-Saboya, G.; Giacomazzi, L.; Martin-Samos, L.; Hemeryck, A.; Richard, N. Deep Levels and Electron Paramagnetic Resonance Parameters of Substitutional Nitrogen in Silicon from First Principles. Nanomaterials 2023, 13, 2123. [Google Scholar] [CrossRef]
- Becker, P.; Friedrich, H.; Fujii, K.; Giardini, W.; Mana, G.; Picard, A.; Pohl, H.-J.; Riemann, H.; Valkiers, S. The Avogadro constant determination via enriched silicon-28. Meas. Sci. Technol. 2009, 20, 092002. [Google Scholar] [CrossRef]
- Stoll, S.; Schweiger, A. EasySpin, a comprehensive software package for spectral simulation and analysis in EPR. J. Magn. Reson. 2006, 178, 42–55. [Google Scholar] [CrossRef]
- Gutowsky, H.S.; Woessner, D.E. Spin-Lattice Relaxation Resonances in Solids. Phys. Rev. Lett. 1958, 1, 6–8. [Google Scholar] [CrossRef]
- Hoffmann, S.K.; Goslar, J.; Lijewski, S. Suppression of Raman electron spin relaxation of radicals in crystals. Comparison of Cu2+ and free radical relaxation in triglycine sulfate and Tutton salt single crystals. J. Phys. Condens. Matter 2011, 23, 345403. [Google Scholar] [CrossRef]
- Watkins, G.D.; Corbett, J.W. Defects in Irradiated Silicon: Electron Paramagnetic Resonance and Electron-Nuclear Double Resonance of the Si-E Center. Phys. Rev. B 1964, 134, A1359–A1377. [Google Scholar] [CrossRef]
- Fanciulli, M.; Jin, S.; Moustakas, T.D. Nitrogen in diamond thin films. Physica B 1996, 229, 27–36. [Google Scholar] [CrossRef]
- Stein, N.; Mainali, L.; Hyde, J.S.; Subczynski, W.K. Characterization of the Distribution of Spin–Lattice Relaxation Rates of Lipid Spin Labels in Fiber Cell Plasma Membranes of Eye Lenses with a Stretched Exponential Function. Appl. Magn. Reson. 2019, 50, 903–918. [Google Scholar] [CrossRef]
- Tedoldi, F.; Campana, A.; Carretta, P. µSR evidence of low frequency spin fluctuations in the AF phase of hole-doped NiO. Eur. Phys. J. B 1999, 7, 219–223. [Google Scholar] [CrossRef]
- Filibian, M.; Carretta, P.; Miyake, T.; Taguchi, Y.; Iwasa, Y. Low-energy excitations in the electron-doped metal phthalocyanine from and NMR. Phys. Rev. B 2007, 75, 085107. [Google Scholar] [CrossRef]
- Pollard, H. The representation of e-x^λ as a Laplace integral. Bull. Am. Math. Soc. 1946, 52, 908–910. [Google Scholar] [CrossRef]
- Johnston, D.C. Stretched exponential relaxation arising from a continuous sum of exponential decays. Phys. Rev. B 2006, 74, 184430. [Google Scholar] [CrossRef]
- Choi, H.; Vinograd, I.; Chaffey, C.; Curro, N.J. Inverse Laplace transformation analysis of stretched exponential relaxation. J. Magn. Reson. 2021, 331, 107050. [Google Scholar] [CrossRef]
- Feher, G.; Gere, E.A. Electron spin resonance experiments on donors in silicon. II. Electron spin relaxation effects. Phys. Rev. B 1959, 114, 1245–1256. [Google Scholar] [CrossRef]
- Castner, T.G., Jr. Raman spin-lattice relaxation of shallow donors in silicon. Phys. Rev. 1963, 130, 58–75. [Google Scholar] [CrossRef]
- Castle, J.G., Jr.; Feldman, D.W.; Klemens, P.G.; Weeks, R.A. Electron Spin-Lattice Relaxation at Defect Sites; E′ Centers in Synthetic Quartz at 3 Kilo-Oersteds. Phys. Rev. 1963, 130, 577–588. [Google Scholar] [CrossRef]
- Breen, D.P.; Krupka, D.C.; Williams, F.I.B. Relaxation in a Jahn-Teller system. I. Copper in octahedral water coordination. Phys. Rev. 1969, 179, 241–254. [Google Scholar] [CrossRef]
- Williams, F.I.B.; Krupka, D.C.; Breen, D.P. Relaxation in a Jahn-Teller System. II. Phys. Rev. 1969, 179, 255–271. [Google Scholar] [CrossRef]
- Hoffmann, S.K.; Hilczer, W.; Goslar, J.; Augustyniak-Jablokow, M.A. Raman spin-lattice relaxation, Debye temperature and disorder effects studied with electron spin echo of Cu2+ in Tutton salt crystals. J. Phys. Condens. Matter 2001, 13, 7443–7457. [Google Scholar] [CrossRef]
- Gysin, U.; Rast, S.; Ruff, P.; Meyer, E.; Lee, D.W.; Vettiger, P.; Gerber, C. Temperature dependence of the force sensitivity of silicon cantilevers. Phys. Rev. B 2004, 69, 045403. [Google Scholar] [CrossRef]
- Pajot, B.; Artacho, E.; Ammerlaan, C.A.J.; Spaeth, J.-M. Interstitial O isotope effects in silicon. J. Phys. Condens. Matter 1995, 7, 7077–7085. [Google Scholar] [CrossRef]
- Karaiskaj, D.; Thewalt, M.L.W.; Ruf, T.; Cardona, M. Photoluminescence studies of isotopically enriched silicon. Phys. Status Solidi (b) 2002, 235, 63–74. [Google Scholar] [CrossRef]
- Haneman, D. Electron paramagnetic resonance from clean single-crystal cleavage surfaces of silicon. Phys. Rev. B 1968, 170, 705–718. [Google Scholar] [CrossRef]
- Lemke, B.P.; Haneman, D. Dangling bonds on silicon. Phys. Rev. B 1978, 17, 1893–1907. [Google Scholar] [CrossRef]
- Poindexter, E.H.; Caplan, P.J. Characterization of Si/SiO2 interface defects by electron spin resonance. Prog. Surf. Sci. 1983, 14, 201–294. [Google Scholar] [CrossRef]
- Feher, G. Electron spin resonance experiments on donors in silicon. I. Electronic structure of donors by the electron nuclear double resonance technique. Phys. Rev. B 1959, 114, 1219–1244. [Google Scholar] [CrossRef]









Disclaimer/Publisher’s Note: The statements, opinions and data contained in all publications are solely those of the individual author(s) and contributor(s) and not of MDPI and/or the editor(s). MDPI and/or the editor(s) disclaim responsibility for any injury to people or property resulting from any ideas, methods, instructions or products referred to in the content. |
© 2023 by the authors. Licensee MDPI, Basel, Switzerland. This article is an open access article distributed under the terms and conditions of the Creative Commons Attribution (CC BY) license (https://creativecommons.org/licenses/by/4.0/).
Share and Cite
Belli, M.; Fanciulli, M. Electron Spin–Lattice Relaxation of Substitutional Nitrogen in Silicon: The Role of Disorder and Motional Effects. Nanomaterials 2024, 14, 21. https://doi.org/10.3390/nano14010021
Belli M, Fanciulli M. Electron Spin–Lattice Relaxation of Substitutional Nitrogen in Silicon: The Role of Disorder and Motional Effects. Nanomaterials. 2024; 14(1):21. https://doi.org/10.3390/nano14010021
Chicago/Turabian StyleBelli, Matteo, and Marco Fanciulli. 2024. "Electron Spin–Lattice Relaxation of Substitutional Nitrogen in Silicon: The Role of Disorder and Motional Effects" Nanomaterials 14, no. 1: 21. https://doi.org/10.3390/nano14010021
APA StyleBelli, M., & Fanciulli, M. (2024). Electron Spin–Lattice Relaxation of Substitutional Nitrogen in Silicon: The Role of Disorder and Motional Effects. Nanomaterials, 14(1), 21. https://doi.org/10.3390/nano14010021

