Ruthenium Nanoparticles Stabilized with Methoxy-Functionalized Ionic Liquids: Synthesis and Structure–Performance Relations in Styrene Hydrogenation
Abstract
1. Introduction
2. Materials and Methods
2.1. General Methods
2.2. Characterization Methods
2.3. Synthesis of Functionalized Ionic Liquids (FILs)
2.4. Synthesis of FIL-Stabilized Ru Nanoparticles (RuNPs/FIL)
2.5. Catalytic Hydrogenation of Styrene
2.6. Product Analysis from Catalytic Reactions
2.7. Solubility Measurements
3. Results and Discussion
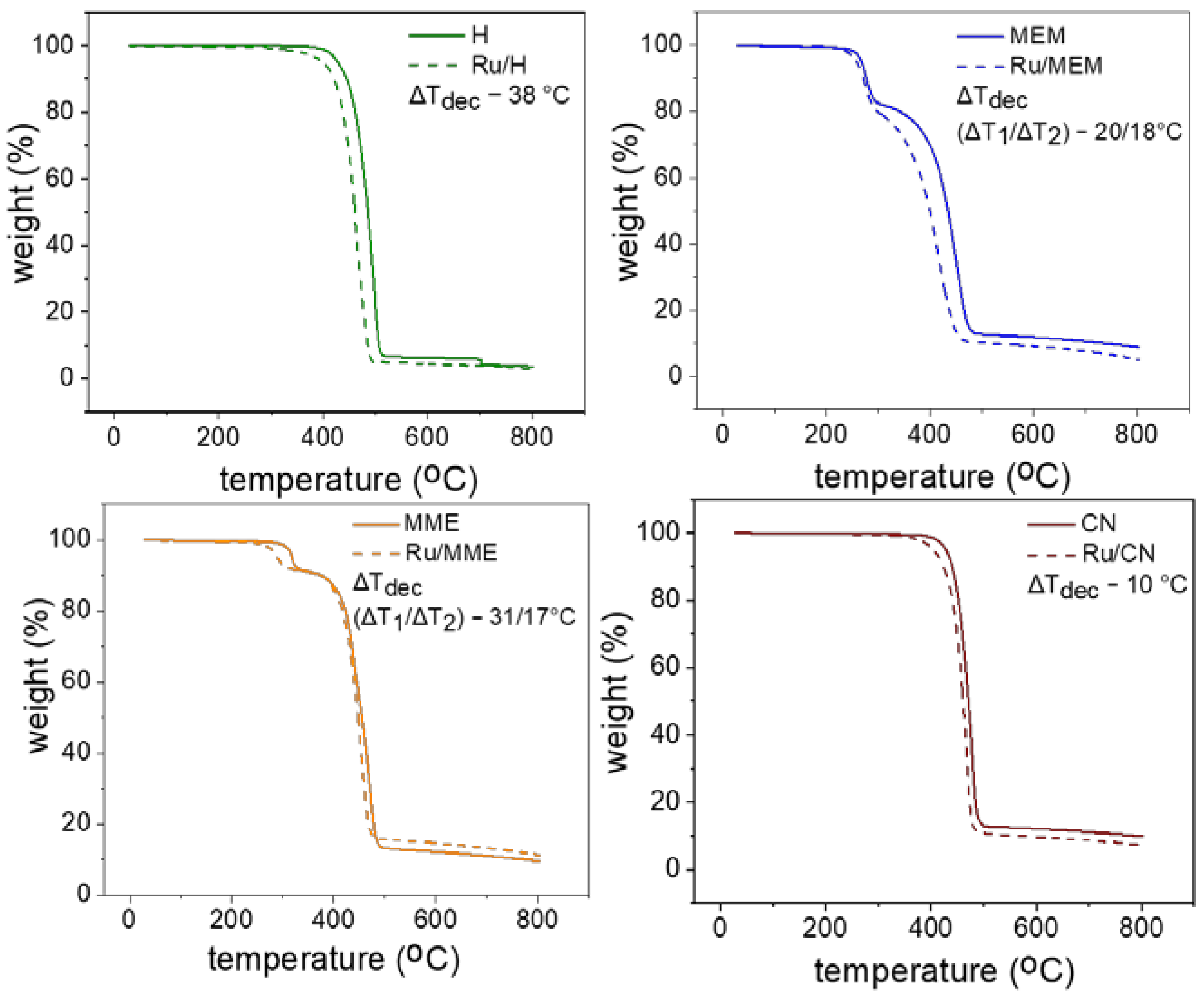
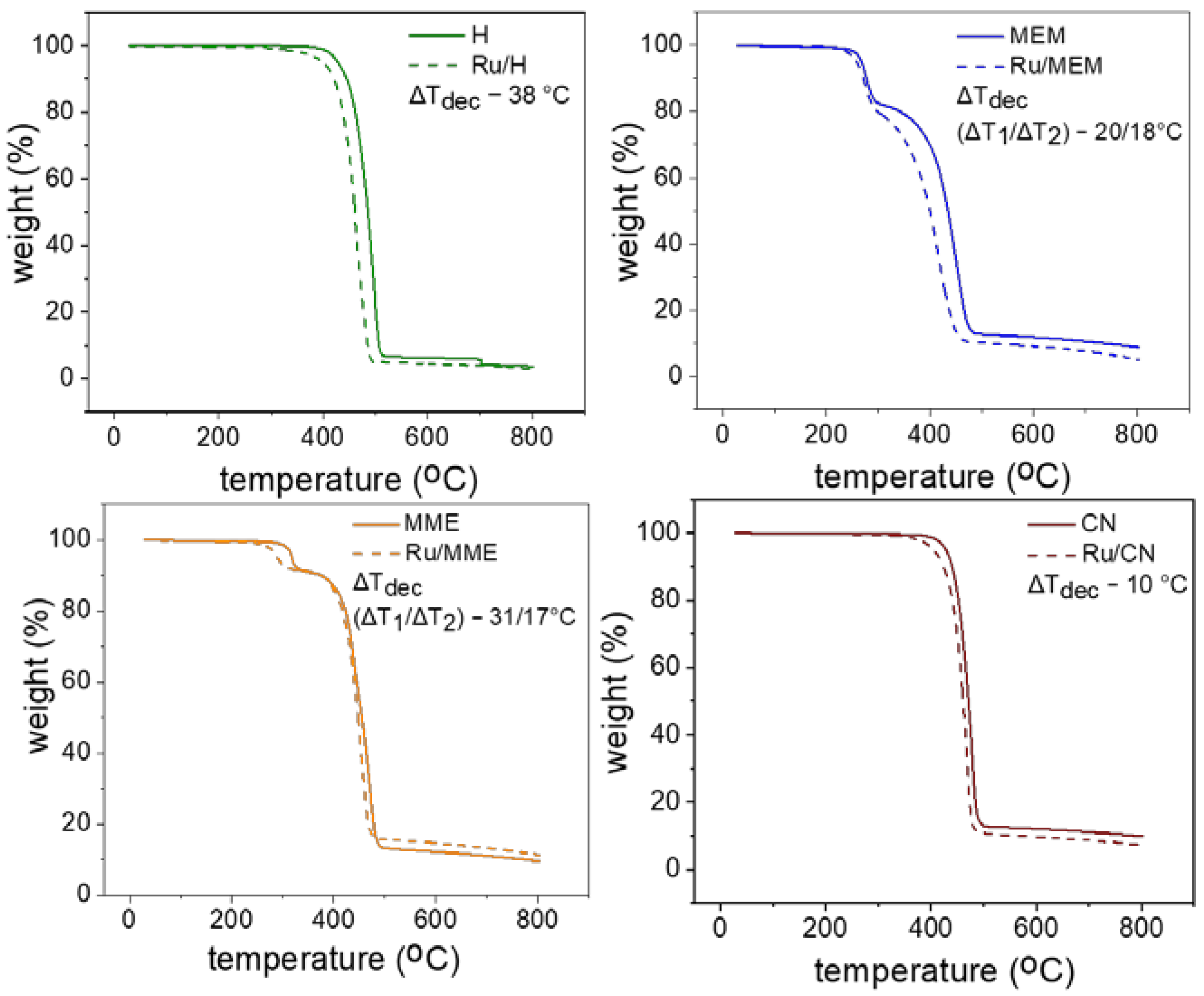
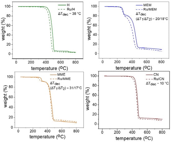
3.1. Synthesis and Characterization of RuNPs/ILs
3.2. Catalysis with RuNPs/ILs
4. Conclusions
Supplementary Materials
Author Contributions
Funding
Institutional Review Board Statement
Informed Consent Statement
Data Availability Statement
Acknowledgments
Conflicts of Interest
References
- Dupont, J.; Scholten, J.D. On the Structural and Surface Properties of Transition-Metal Nanoparticles in Ionic Liquids. Chem. Soc. Rev. 2010, 39, 1780–1804. [Google Scholar] [CrossRef] [PubMed]
- Seitkalieva, M.M.; Samoylenko, D.E.; Lotsman, K.A.; Rodygin, K.S.; Ananikov, V.P. Metal Nanoparticles in Ionic Liquids: Synthesis and Catalytic Applications. Coord. Chem. Rev. 2021, 445, 213982. [Google Scholar] [CrossRef]
- Gutel, T.; Santini, C.C.; Philippot, K.; Padua, A.; Pelzer, K.; Chaudret, B.; Chauvin, Y.; Basset, J.M. Organized 3D-Alkyl Imidazolium Ionic Liquids Could Be Used to Control the Size of in Situ Generated Ruthenium Nanoparticles? J. Mater. Chem. 2009, 19, 3624–3631. [Google Scholar] [CrossRef]
- Yuan, X.; Yan, N.; Katsyuba, S.A.; Zvereva, E.E.; Kou, Y.; Dyson, P.J. A Remarkable Anion Effect on Palladium Nanoparticle Formation and Stabilization in Hydroxyl-Functionalized Ionic Liquids. Phys. Chem. Chem. Phys. 2012, 14, 6026–6033. [Google Scholar] [CrossRef] [PubMed]
- Redel, E.; Thomann, R.; Janiak, C. First Correlation of Nanoparticle Size-Dependent Formation with the Ionic Liquid Anion Molecular Volume. Inorg. Chem. 2008, 47, 14–16. [Google Scholar] [CrossRef] [PubMed]
- Redel, E.; Thomann, R.; Janiak, C. Use of Ionic Liquids (ILs) for the IL-Anion Size-Dependent Formation of Cr, Mo and W Nanoparticles from Metal Carbonyl M(CO)6 Precursors. Chem. Commun. 2008, 15, 1789–1791. [Google Scholar] [CrossRef]
- Prechtl, M.H.G. Nanocatalysis in Ionic Liquids; Wiley-VCH: Weinheim, Germany, 2017; ISBN 9783527693283. [Google Scholar]
- Maciejewski, H. Ionic Liquids in Catalysis. Catalysts 2021, 11, 367. [Google Scholar] [CrossRef]
- Qadir, M.I.; Simon, N.M.; Dupont, J. Catalytic Properties of Metal Nanoparticles Confined in Ionic Liquids, 1st ed.; Philippot, K., Roucoux, A., Eds.; Wiley-VCH: Weinheim, Germany, 2021; pp. 123–138. ISBN 9783527346073. [Google Scholar]
- Luska, K.L.; Moores, A. Functionalized Ionic Liquids for the Synthesis of Metal Nanoparticles and Their Application in Catalysis. ChemCatChem 2012, 4, 1534–1546. [Google Scholar] [CrossRef]
- MacFarlane, D.; Kar, M.; Pringle, J. Fundamentals of Ionic Liquids for Chemistry to Applications, 1st ed.; Wiley-VCH: Weinheim, Germany, 2017; ISBN 978-3-527-34000-2. [Google Scholar]
- Zhang, H.; Cui, H. Synthesis and Characterization of Functionalized Ionic Liquid-Stabilized Metal (Gold and Platinum) Nanoparticles and Metal Nanoparticle/Carbon Nanotube Hybrids. Langmuir 2009, 25, 2604–2612. [Google Scholar] [CrossRef]
- Jiang, H.Y.; Zheng, X.X. Tuning the Chemoselective Hydrogenation of Aromatic Ketones, Aromatic Aldehydes and Quinolines Catalyzed by Phosphine Functionalized Ionic Liquid Stabilized Ruthenium Nanoparticles. Catal. Sci. Technol. 2015, 5, 3728–3734. [Google Scholar] [CrossRef]
- Moura, L.; Darwich, W.; Santini, C.C.; Costa Gomes, M.F. Imidazolium-Based Ionic Liquids with Cyano Groups for the Selective Absorption of Ethane and Ethylene. Chem. Eng. J. 2015, 280, 755–762. [Google Scholar] [CrossRef]
- Schrekker, H.S.; Gelesky, M.A.; Stracke, M.P.; Schrekker, C.M.L.; Machado, G.; Teixeira, S.R.; Rubim, J.C.; Dupont, J. Disclosure of the Imidazolium Cation Coordination and Stabilization Mode in Ionic Liquid Stabilized Gold(0) Nanoparticles. J. Colloid Interface Sci. 2007, 316, 189–195. [Google Scholar] [CrossRef]
- Dorjnamjin, D.; Ariunaa, M.; Shim, Y.K. Synthesis of Silver Nanoparticles Using Hydroxyl Functionalized Ionic Liquids and Their Antimicrobial Activity. Int. J. Mol. Sci. 2008, 9, 807–820. [Google Scholar] [CrossRef] [PubMed]
- Amiens, C.; Ciuculescu-Pradines, D.; Philippot, K. Controlled Metal Nanostructures: Fertile Ground for Coordination Chemists. Coord. Chem. Rev. 2016, 308, 409–432. [Google Scholar] [CrossRef]
- Serp, P.; Philippot, K. Nanomaterials in Catalysis, 1st ed.; Wiley-VCH: Weinheim, Germany, 2012; ISBN 9783527331246. [Google Scholar]
- Axet, M.R.; Philippot, K. Catalysis with Colloidal Ruthenium Nanoparticles. Chem. Rev. 2020, 120, 1085–1145. [Google Scholar] [CrossRef] [PubMed]
- Campbell, P.S.; Santini, C.C.; Bayard, F.; Chauvin, Y.; Colliere, V.; Podgoršek, A.; Costa Gomes, M.F.; Sá, J. Olefin Hydrogenation by Ruthenium Nanoparticles in Ionic Liquid Media: Does Size Matter? J. Catal. 2010, 275, 99–107. [Google Scholar] [CrossRef]
- Luska, K.L.; Moores, A. Ruthenium Nanoparticle Catalysts Stabilized in Phosphonium and Imidazolium Ionic Liquids: Dependence of Catalyst Stability and Activity on the Ionicity of the Ionic Liquid. Green Chem. 2012, 14, 1736–1742. [Google Scholar] [CrossRef]
- Prechtl, M.H.G.; Scholten, J.D.; Dupont, J. Tuning the Selectivity of Ruthenium Nanoscale Catalysts with Functionalised Ionic Liquids: Hydrogenation of Nitriles. J. Mol. Catal. A Chem. 2009, 313, 74–78. [Google Scholar] [CrossRef]
- Pensado, A.S.; Pádua, A.A.H. Solvation and Stabilization of Metallic Nanoparticles in Ionic Liquids. Angew. Chem. Int. Ed. 2011, 50, 8683–8687. [Google Scholar] [CrossRef]
- Wang, J.; Jiang, J.; Sun, Y.; Zhong, Z.; Wang, X.; Xia, H.; Liu, G.; Pang, S.; Wang, K.; Li, M.; et al. Recycling Benzene and Ethylbenzene from In-Situ Catalytic Fast Pyrolysis of Plastic Wastes. Energy Convers. Manag. 2019, 200, 112088. [Google Scholar] [CrossRef]
- Harraz, F.A.; El-Hout, S.E.; Killa, H.M.; Ibrahim, I.A. Palladium Nanoparticles Stabilized by Polyethylene Glycol: Efficient, Recyclable Catalyst for Hydrogenation of Styrene and Nitrobenzene. J. Catal. 2012, 286, 184–192. [Google Scholar] [CrossRef]
- Li, J.; Zhang, B.; Chen, Y.; Zhang, J.; Yang, H.; Zhang, J.; Lu, X.; Li, G.; Qin, Y. Styrene Hydrogenation Performance of Pt Nanoparticles with Controlled Size Prepared by Atomic Layer Deposition. Catal. Sci. Technol. 2015, 5, 4218–4223. [Google Scholar] [CrossRef]
- Jiang, Y.F.; Yuan, C.Z.; Xie, X.; Zhou, X.; Jiang, N.; Wang, X.; Imran, M.; Xu, A.W. A Novel Magnetically Recoverable Ni-CeO2-x/Pd Nanocatalyst with Superior Catalytic Performance for Hydrogenation of Styrene and 4-Nitrophenol. ACS Appl. Mater. Interfaces 2017, 9, 9756–9762. [Google Scholar] [CrossRef] [PubMed]
- Parida, D.; Bakkali-Hassani, C.; Lebraud, E.; Schatz, C.; Grelier, S.; Taton, D.; Vignolle, J. Tuning the Activity and Selectivity of Polymerised Ionic Liquid-Stabilised Ruthenium Nanoparticles through Anion Exchange Reactions. Nanoscale 2022, 14, 4635–4643. [Google Scholar] [CrossRef]
- Wu, Z.; Jiang, H. Efficient Palladium and Ruthenium Nanocatalysts Stabilized by Phosphine Functionalized Ionic Liquid for Selective Hydrogenation. RSC Adv. 2015, 5, 34622–34629. [Google Scholar] [CrossRef]
- Dzyuba, S.V.; Bartsch, R.A. Efficient Synthesis of 1-Alkyl(Aralkyl)-3-Methyl(Ethyl)Imidazolium Halides: Precursors for Room-Temperature Ionic Liquids. J. Heterocycl. Chem. 2001, 38, 265–268. [Google Scholar] [CrossRef]
- Nokami, T.; Matsumoto, K.; Itoh, T.A.; Fukaya, Y.; Itoh, T. Synthesis of Ionic Liquids Equipped with 2-Methoxyethoxymethyl/Methoxymethyl Groups Using a Simple Microreactor System. Org. Process Res. Dev. 2014, 18, 1367–1371. [Google Scholar] [CrossRef]
- Ishikawa, J.; Seo, S.; Yokoi, R.; Kadoma, H.; Hirose, T. Compound, Nonaqueous Electrolyte, and Power Storage Device. U.S. Patent 2015140449, 9 November 2014. [Google Scholar]
- Zhao, D.; Fei, Z.; Scopelliti, R.; Dyson, P.J. Synthesis and Characterization of Ionic Liquids Incorporating the Nitrile Functionality. Inorg. Chem. 2004, 43, 2197–2205. [Google Scholar] [CrossRef]
- Chancelier, L.; Boyron, O.; Gutel, T.; Santini, C.C. Thermal Stability of Imidazolium-Based Ionic Liquids. Fr.-Ukr. J. Chem. 2016, 4, 51–64. [Google Scholar] [CrossRef]
- Ngo, H.L.; LeCompte, K.; Hargens, L.; McEwen, A.B. Thermal Properties of Imidazolium Ionic Liquids. Thermochim. Acta 2000, 357–358, 97–102. [Google Scholar] [CrossRef]
- Gieshoff, T.N.; Welther, A.; Kessler, M.T.; Prechtl, M.H.G.; Jacobi von Wangelin, A. Stereoselective Iron-Catalyzed Alkyne Hydrogenation in Ionic Liquids. Chem. Commun. 2014, 50, 2261–2264. [Google Scholar] [CrossRef] [PubMed]
- Venkatesan, R.; Prechtl, M.H.G.; Scholten, J.D.; Pezzi, R.P.; Machado, G.; Dupont, J. Palladium Nanoparticle Catalysts in Ionic Liquids: Synthesis, Characterisation and Selective Partial Hydrogenation of Alkynes to Z-Alkenes. J. Mater. Chem. 2011, 21, 3030–3036. [Google Scholar] [CrossRef]
- Konnerth, H.; Prechtl, M.H.G. Selective Partial Hydrogenation of Alkynes to (Z)-Alkenes with Ionic Liquid-Doped Nickel Nanocatalysts at near Ambient Conditions. Chem. Commun. 2016, 52, 9129–9132. [Google Scholar] [CrossRef]
- Beattie, D.A.; Arcifa, A.; Delcheva, I.; le Cerf, B.A.; MacWilliams, S.V.; Rossi, A.; Krasowska, M. Adsorption of Ionic Liquids onto Silver Studied by XPS. Colloids Surfaces A Physicochem. Eng. Asp. 2018, 544, 78–85. [Google Scholar] [CrossRef]
- Smith, E.F.; Rutten, F.J.M.; Villar-Garcia, I.J.; Briggs, D.; Licence, P. Ionic Liquids in Vacuo: Analysis of Liquid Surfaces Using Ultra-High-Vacuum Techniques. Langmuir 2006, 22, 9386–9392. [Google Scholar] [CrossRef] [PubMed]
- Heller, B.S.J.; Kolbeck, C.; Niedermaier, I.; Dommer, S.; Schatz, J.; Hunt, P.; Maier, F.; Steinrück, H.P. Surface Enrichment in Equimolar Mixtures of Non-Functionalized and Functionalized Imidazolium-Based Ionic Liquids. ChemPhysChem 2018, 19, 1733–1745. [Google Scholar] [CrossRef]
- Kolbeck, C.; Killian, M.; Maier, F.; Paape, N.; Wasserscheid, P.; Steinrück, H.P. Surface Characterization of Functionalized Imidazolium-Based Ionic Liquids. Langmuir 2008, 24, 9500–9507. [Google Scholar] [CrossRef]
- Bernardi, F.; Scholten, J.D.; Fecher, G.H.; Dupont, J.; Morais, J. Probing the Chemical Interaction between Iridium Nanoparticles and Ionic Liquid by XPS Analysis. Chem. Phys. Lett. 2009, 479, 113–116. [Google Scholar] [CrossRef]
- Morgan, D.J. Resolving Ruthenium: XPS Studies of Common Ruthenium Materials. Surf. Interface Anal. 2015, 47, 1072–1079. [Google Scholar] [CrossRef]
- Tang, M.; Deng, J.; Li, M.; Li, X.; Li, H.; Chen, Z.; Wang, Y. 3D-Interconnected Hierarchical Porous N-Doped Carbon Supported Ruthenium Nanoparticles as an Efficient Catalyst for Toluene and Quinoline Hydrogenation. Green Chem. 2016, 18, 6082–6090. [Google Scholar] [CrossRef]
- Gonzalez-Galvez, D.; Lara, P.; Rivada-Wheelaghan, O.; Conejero, S.; Chaudret, B.; Philippot, K.; van Leeuwen, P.W.N.M. NHC-Stabilized Ruthenium Nanoparticles as New Catalysts for the Hydrogenation of Aromatics. Catal. Sci. Technol. 2013, 3, 99–105. [Google Scholar] [CrossRef]
- Bresó-Femenia, E.; Chaudret, B.; Castillón, S. Selective Catalytic Hydrogenation of Polycyclic Aromatic Hydrocarbons Promoted by Ruthenium Nanoparticles. Catal. Sci. Technol. 2015, 5, 2741–2751. [Google Scholar] [CrossRef]
- Hammer, B.; Nielsen, O.H. Structure Sensitivity in Adsorption: CO Interaction with Stepped and Reconstructed Pt Surfaces. Catal. Lett. 1997, 46, 31–35. [Google Scholar] [CrossRef]
- Chen, C.S.; Lin, J.H.; Chen, H.W.; Wang, C.Y. Infrared Study of Benzene Hydrogenation on Pt/SiO2 Catalyst by Co-Adsorption of CO and Benzene. Catal. Lett. 2005, 105, 149–155. [Google Scholar] [CrossRef]






| Ionic Liquid | Ru Content (wt.%) a | RuNPs/ILs | RuNP Mean Size (nm) b |
|---|---|---|---|
![]() | 0.16 | Ru/H | 1.5 ± 0.8 |
![]() | 0.20 | Ru/MEM | 2.2 ± 0.3 |
![]() | 0.17 | Ru/MME | 1.3 ± 0.1 |
![]() | 0.20 | Ru/CN | 1.3 ± 0.2 |
| Ionic Liquid | ΔE Cation (eV) | ΔE Anion (eV) | ||||||||
|---|---|---|---|---|---|---|---|---|---|---|
| C2 1s | C3 1s | C4 1s | N 1s | C5 1s | N 1s | F 1s | O 1s | S 2p3/2 | S 2p1/2 | |
| H | 0.10 | 0.27 | 0.07 | 0.09 | 0.07 | 0.16 | 0.12 | 0.04 | 0.15 | 0.17 |
| MEM | −0.05 | 0.09 | 0.20 | 0.28 | −0.08 | 0.23 | 0.29 | 0.41 * | 0.11 | 0.14 |
| MME | 0.06 | 0.29 | 0.01 | 0.29 | 0.16 | 0.31 | 0.36 | 0.20 * | 0.40 | 0.47 |
| CN | 0.01 | -0.09 | 0.03 | 0.27 | 0.07 | 0.24 | 0.13 | −0.04 | 0.35 | 0.28 |
| RuNPs/ILs | Time (h) | Conversion (%) b | Selectivity (%) b | TOF (h−1) c | |
|---|---|---|---|---|---|
| EB | ECH | ||||
| Ru/H | 0.5 | >99 | >99 | 0 | 1332 |
| Ru/H | 24 | >99 | 93 | 7 | - |
| Ru/MEM | 1 | >99 | >99 | 0 | 629 |
| Ru/MEM | 24 | >99 | 78 | 22 | - |
| Ru/MME | 1.5 | 98 | >99 | 0 | 212 |
| Ru/MME | 24 | 98 | >99 | 0 | - |
| Ru/CN | 6 | >99 | >99 | 0 | 10 |
| Ru/CN | 24 | >99 | >99 | 0 | - |
Disclaimer/Publisher’s Note: The statements, opinions and data contained in all publications are solely those of the individual author(s) and contributor(s) and not of MDPI and/or the editor(s). MDPI and/or the editor(s) disclaim responsibility for any injury to people or property resulting from any ideas, methods, instructions or products referred to in the content. |
© 2023 by the authors. Licensee MDPI, Basel, Switzerland. This article is an open access article distributed under the terms and conditions of the Creative Commons Attribution (CC BY) license (https://creativecommons.org/licenses/by/4.0/).
Share and Cite
Krishnan, D.; Schill, L.; Axet, M.R.; Philippot, K.; Riisager, A. Ruthenium Nanoparticles Stabilized with Methoxy-Functionalized Ionic Liquids: Synthesis and Structure–Performance Relations in Styrene Hydrogenation. Nanomaterials 2023, 13, 1459. https://doi.org/10.3390/nano13091459
Krishnan D, Schill L, Axet MR, Philippot K, Riisager A. Ruthenium Nanoparticles Stabilized with Methoxy-Functionalized Ionic Liquids: Synthesis and Structure–Performance Relations in Styrene Hydrogenation. Nanomaterials. 2023; 13(9):1459. https://doi.org/10.3390/nano13091459
Chicago/Turabian StyleKrishnan, Deepthy, Leonhard Schill, M. Rosa Axet, Karine Philippot, and Anders Riisager. 2023. "Ruthenium Nanoparticles Stabilized with Methoxy-Functionalized Ionic Liquids: Synthesis and Structure–Performance Relations in Styrene Hydrogenation" Nanomaterials 13, no. 9: 1459. https://doi.org/10.3390/nano13091459
APA StyleKrishnan, D., Schill, L., Axet, M. R., Philippot, K., & Riisager, A. (2023). Ruthenium Nanoparticles Stabilized with Methoxy-Functionalized Ionic Liquids: Synthesis and Structure–Performance Relations in Styrene Hydrogenation. Nanomaterials, 13(9), 1459. https://doi.org/10.3390/nano13091459





