High-Accuracy Neural Network Interatomic Potential for Silicon Nitride
Abstract
1. Introduction
2. Materials and Methods
2.1. AIMD Calculations
2.2. Deep Potential Training Process
3. Results and Discussions
3.1. The Accuracy of NNP
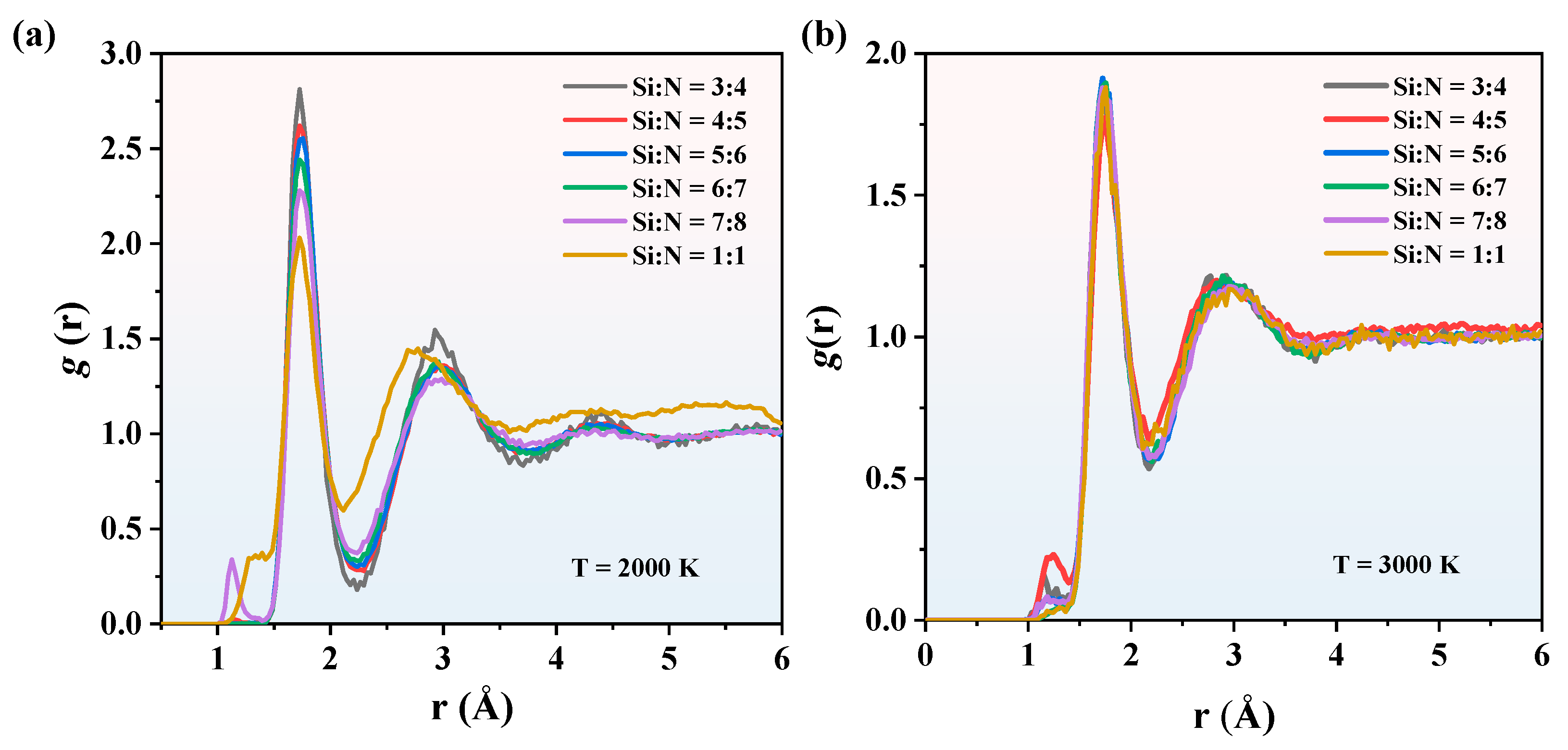
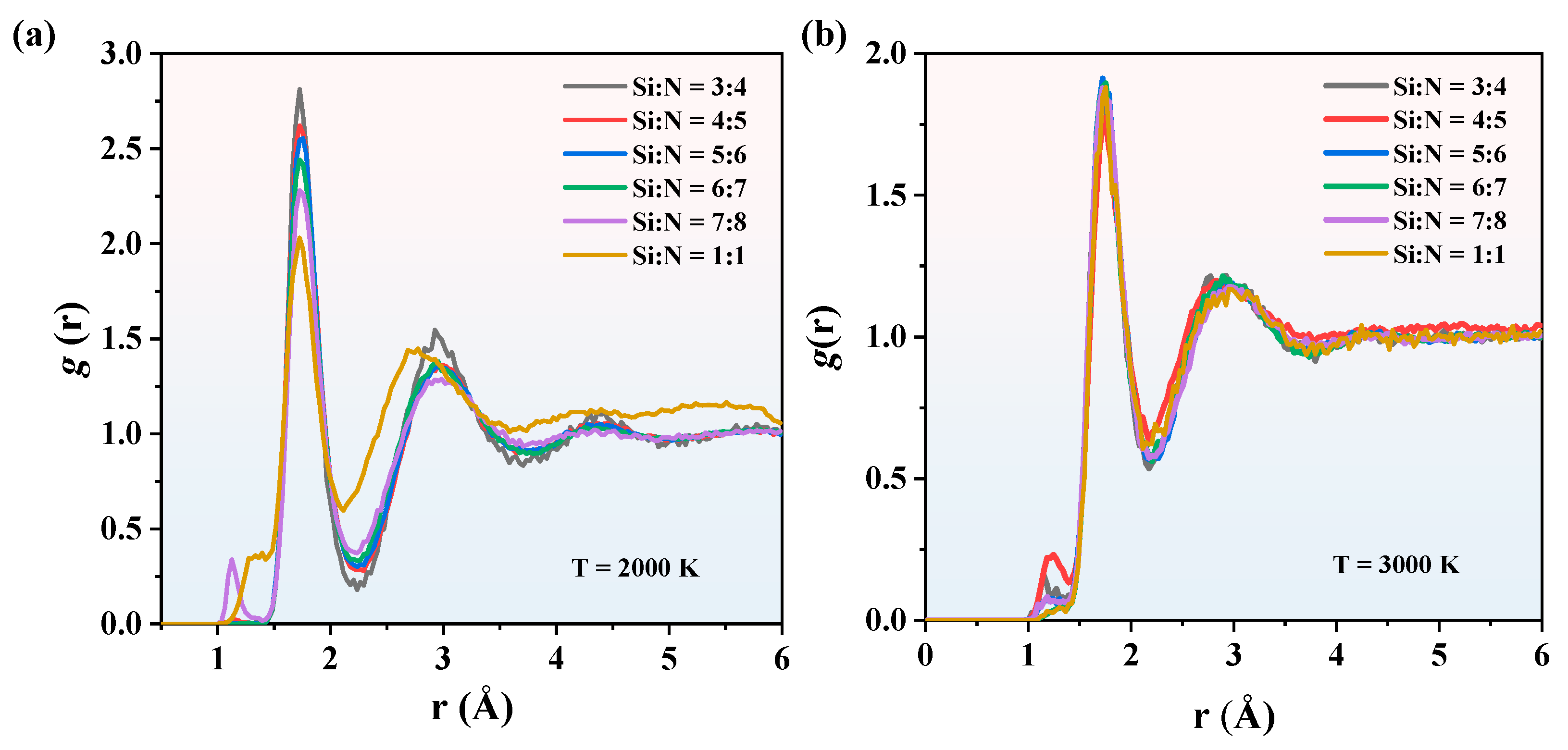
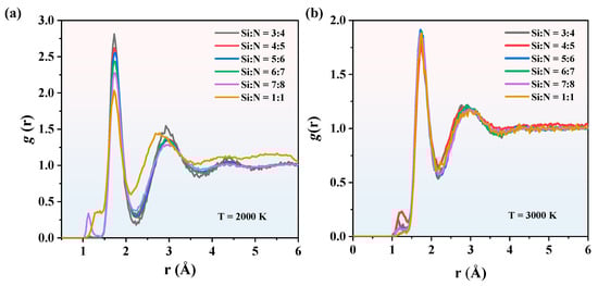
3.2. The NPP Applied for Structure Information
3.3. The NNP Applied for Tensile Tests
4. Conclusions
Supplementary Materials
Author Contributions
Funding
Data Availability Statement
Conflicts of Interest
References
- Car, R.; Parrinello, M. Unified approach for molecular dynamics and density-functional theory. Phys. Rev. Lett. 1985, 55, 2471–2474. [Google Scholar] [CrossRef]
- Bergstra, J.A.; Bethke, I. Molecular dynamics. J. Logic. Algebr. Program. 2002, 51, 193–214. [Google Scholar] [CrossRef]
- Geerlings, P.; Boon, G.; Van Alsenoy, C.; De Proft, F. Density functional theory and quantum similarity. Int. J. Quantum Chem. 2005, 101, 722–732. [Google Scholar] [CrossRef]
- Morgon, N.H.; Custodio, R. The density-functional theory. Quim. Nova. 1995, 18, 44–55. [Google Scholar]
- Sandre, E.; Pasturel, A. An introduction to ab-initio molecular dynamics schemes. Mol. Simul. 1997, 20, 63–77. [Google Scholar] [CrossRef]
- Verlet, L. Computer “experiments” on classical fluids. I. thermodynamical properties of Lennard-Jones molecules. Phys. Rev. 1967, 159, 98. [Google Scholar] [CrossRef]
- Finnis, M.; Sinclair, J. A simple empirical N-body potential for transition metals. Philos. Mag. A 1984, 50, 45–55. [Google Scholar] [CrossRef]
- Daw, M.S.; Baskes, M.I. Embedded-atom method: Derivation and application to impurities, surfaces, and other defects in metals. Phys. Rev. B 1984, 29, 6443. [Google Scholar] [CrossRef]
- Vink, R.; Barkema, G.; Van der Weg, W.; Mousseau, N. Fitting the Stillinger–Weber potential to amorphous silicon. J. Non-Cryst. Solids. 2001, 282, 248–255. [Google Scholar] [CrossRef]
- Hossain, M.; Hao, T.; Silverman, B. Stillinger–Weber potential for elastic and fracture properties in graphene and carbon nanotubes. J. Phys. Condens. Matter. 2018, 30, 055901. [Google Scholar] [CrossRef]
- Tersoff, J. New empirical approach for the structure and energy of covalent systems. Phys. Rev. B 1988, 37, 6991. [Google Scholar] [CrossRef] [PubMed]
- Liang, T.; Shan, T.-R.; Cheng, Y.-T.; Devine, B.D.; Noordhoek, M.; Li, Y.; Lu, Z.; Phillpot, S.R.; Sinnott, S.B. Classical atomistic simulations of surfaces and heterogeneous interfaces with the charge-optimized many body (COMB) potentials. Mater. Sci. Eng. R Rep. 2013, 74, 255–279. [Google Scholar] [CrossRef]
- De Tomas, C.; Suarez-Martinez, I.; Marks, N.A. Graphitization of amorphous carbons: A comparative study of interatomic potentials. Carbon 2016, 109, 681–693. [Google Scholar] [CrossRef]
- Deringer, V.L.; Csányi, G. Machine learning based interatomic potential for amorphous carbon. Phys. Rev. B 2017, 95, 094203. [Google Scholar] [CrossRef]
- Rowe, P.; Csányi, G.; Alfè, D.; Michaelides, A. Development of a machine learning potential for graphene. Phys. Rev. B 2018, 97, 054303. [Google Scholar] [CrossRef]
- Behler, J.; Parrinello, M. Generalized neural-network representation of high-dimensional potential-energy surfaces. Phys. Rev. Lett. 2007, 98, 146401. [Google Scholar] [CrossRef] [PubMed]
- Zhang, L.; Han, J.; Wang, H.; Car, R.; Weinan, E. Deep potential molecular dynamics: A scalable model with the accuracy of quantum mechanics. Phys. Rev. Lett. 2018, 120, 143001. [Google Scholar] [CrossRef] [PubMed]
- Bonati, L.; Parrinello, M. Silicon liquid structure and crystal nucleation from ab-initio deep metadynamics. Phys. Rev. Lett. 2018, 121, 265701. [Google Scholar] [CrossRef]
- Wen, T.; Wang, C.-Z.; Kramer, M.; Sun, Y.; Ye, B.; Wang, H.; Liu, X.; Zhang, C.; Zhang, F.; Ho, K.-M. Development of a deep machine learning interatomic potential for metalloid-containing Pd-Si compounds. Phys. Rev. B 2019, 100, 174101. [Google Scholar] [CrossRef]
- Xu, N.; Shi, Y.; He, Y.; Shao, Q. A deep-learning potential for crystalline and amorphous Li–Si alloys. J. Phys. Chem. C 2020, 124, 16278–16288. [Google Scholar] [CrossRef]
- Gritsenko, V.A. Electronic structure of silicon nitride. Physics-Uspekhi 2012, 55, 498–507. [Google Scholar] [CrossRef]
- Kaloyeros, A.E.; Pan, Y.L.; Goff, J.; Arkles, B. Review-silicon nitride and silicon nitride-rich thin film technologies: State-of-the-art processing technologies, properties, and applications. ECS J. Solid State Sci. Technol. 2020, 9. [Google Scholar] [CrossRef]
- Popper, P. Applications of Silicon-Nitride. In Silicon Nitride 93; Hoffmann, M.J., Becher, P.F., Petzow, G., Eds.; Trans Tech Publications: Clausthal Zellerfe, 1994; Volumes 89–91, pp. 719–723. [Google Scholar]
- Li, L.Q.; Wang, S.F.; Ovcharenko, A.; Wang, W.Y. Molecular Dynamics Study of Nano-Tribological Properties of Silicon Nitride Films. In Proceedings of the ASME Design Engineering Technical Conferences and Computers and Information in Engineering Conference (DETC), Buffalo, NY, USA, 17–20 August 2014. [Google Scholar]
- Rettore, R.P.; Brito, M.A.M. Mechanical properties of silicon-nitride bonded silicon-carbide refractory and its relation microstructure. In Silicon Nitride 93; Hoffmann, M.J., Becher, P.F., Petzow, G., Eds.; Trans Tech Publications: Clausthal Zellerfe, 1994; Volumes 89–91, pp. 553–557. [Google Scholar]
- Wiederhorn, S.M.; Quinn, G.D.; Krause, R. High-temperature structural reliability of silicon-nitride. In Silicon Nitride 93; Hoffmann, M.J., Becher, P.F., Petzow, G., Eds.; Trans Tech Publications: Clausthal Zellerfe, 1994; Volumes 89–91, pp. 575–580. [Google Scholar]
- Gismatulin, A.A.; Gritsenko, V.A.; Yen, T.J.; Chin, A. Charge transport mechanism in SiNx-based memristor. Appl. Phys. Lett. 2019, 115, 253502. [Google Scholar] [CrossRef]
- Gismatulin, A.A.; Kamaev, G.N.; Kruchinin, V.N.; Gritsenko, V.A.; Orlov, O.M.; Chin, A. Charge transport mechanism in the forming-free memristor based on silicon nitride. Sci. Rep. 2021, 11. [Google Scholar] [CrossRef] [PubMed]
- Gritsenko, V.A.; Gismatulin, A.A.; Baraban, A.P.; Chin, A. Mechanism of stress induced leakage current in Si3N4. Mater. Res. Express. 2019, 6, 076401. [Google Scholar] [CrossRef]
- Gritsenko, V.A.; Gismatulin, A.A.; Chin, A. Multiphonon trap ionization transport in nonstoichiometric SiNx. Mater. Res. Express. 2019, 6, 036304. [Google Scholar] [CrossRef]
- Sun, C.; Liu, A.Y.; Samadi, A.; Chan, C.; Ciesla, A.; Macdonald, D. Transition metals in a cast-monocrystalline silicon ingot studied by silicon nitride gettering. Phys. Status Solidi-R. 2019, 13. [Google Scholar] [CrossRef]
- Liu, A.Y.; Sun, C.; Sio, H.C.; Zhang, X.Y.; Jin, H.; Macdonald, D. Gettering of transition metals in high-performance multicrystalline silicon by silicon nitride films and phosphorus diffusion. J. Appl. Phys. 2019, 125. [Google Scholar] [CrossRef]
- Wang, H.; Zhang, L.; Han, J.; Weinan, E. DeePMD-kit: A deep learning package for many-body potential energy representation and molecular dynamics. Comput. Phys. Commun. 2018, 228, 178–184. [Google Scholar] [CrossRef]
- Kresse, G.; Furthmüller, J. Efficient iterative schemes for ab initio total-energy calculations using a plane-wave basis set. Phys. Rev. B 1996, 54, 11169. [Google Scholar] [CrossRef]
- Perdew, J.P.; Burke, K.; Ernzerhof, M. Generalized gradient approximation made simple. Phys. Rev. Lett. 1996, 77, 3865. [Google Scholar] [CrossRef] [PubMed]
- Plimpton, S. Fast parallel algorithms for short-range molecular dynamics. J. Comput. Phys. 1995, 117, 1–19. [Google Scholar] [CrossRef]
- Peng, Y.; Wang, S.F.; Zhang, Y.; Gao, Y.N. Simulation and application of molecular dynamics in materials science. Adv. Mater. Res. 2012, 572, 232–236. [Google Scholar] [CrossRef]
- Kossowsky, R.; Miller, D.G.; Diaz, E.S. Tensile and creep strengths of hot-pressed Si3N4. J. Mater. Sci. 1975, 10, 983–997. [Google Scholar] [CrossRef]
- Yao, D.X.; Chen, H.B.; Zuo, K.H.; Xia, Y.F.; Yin, J.W.; Liang, H.Q.; Zeng, Y.P. High temperature mechanical properties of porous Si3N4 prepared via SRBSN. Ceram. Int. 2018, 44, 11966–11971. [Google Scholar] [CrossRef]
- Nakajima, H.; Chang, T.F.M.; Chen, C.Y.; Konishi, T.; Machida, K.; Toshiyoshi, H.; Yamane, D.; Masu, K.; Sone, M. A Study on Young’s Modulus of Electroplated Gold Cantilevers for MEMS Devices. In Proceedings of the 12th IEEE Annual International Conference on Nano/Micro Engineered and Molecular Systems (IEEE-NEMS), Los Angeles, CA, USA, 9–12 April 2017; pp. 264–267. [Google Scholar]












| Si:N | x (Å) | y (Å) | z (Å) | Atoms |
|---|---|---|---|---|
| 4:5 | 54 | 54 | 54 | 13500 |
| 5:6 | 54 | 54 | 54 | 13750 |
| 6:7 | 54 | 54 | 54 | 14625 |
| 7:8 | 54 | 54 | 54 | 13125 |
| 1:1 | 54 | 54 | 54 | 13500 |
Disclaimer/Publisher’s Note: The statements, opinions and data contained in all publications are solely those of the individual author(s) and contributor(s) and not of MDPI and/or the editor(s). MDPI and/or the editor(s) disclaim responsibility for any injury to people or property resulting from any ideas, methods, instructions or products referred to in the content. |
© 2023 by the authors. Licensee MDPI, Basel, Switzerland. This article is an open access article distributed under the terms and conditions of the Creative Commons Attribution (CC BY) license (https://creativecommons.org/licenses/by/4.0/).
Share and Cite
Xu, H.; Li, Z.; Zhang, Z.; Liu, S.; Shen, S.; Guo, Y. High-Accuracy Neural Network Interatomic Potential for Silicon Nitride. Nanomaterials 2023, 13, 1352. https://doi.org/10.3390/nano13081352
Xu H, Li Z, Zhang Z, Liu S, Shen S, Guo Y. High-Accuracy Neural Network Interatomic Potential for Silicon Nitride. Nanomaterials. 2023; 13(8):1352. https://doi.org/10.3390/nano13081352
Chicago/Turabian StyleXu, Hui, Zeyuan Li, Zhaofu Zhang, Sheng Liu, Shengnan Shen, and Yuzheng Guo. 2023. "High-Accuracy Neural Network Interatomic Potential for Silicon Nitride" Nanomaterials 13, no. 8: 1352. https://doi.org/10.3390/nano13081352
APA StyleXu, H., Li, Z., Zhang, Z., Liu, S., Shen, S., & Guo, Y. (2023). High-Accuracy Neural Network Interatomic Potential for Silicon Nitride. Nanomaterials, 13(8), 1352. https://doi.org/10.3390/nano13081352

