A Low-Cost and Lithium-Free Hole Transport Layer for Efficient and Stable Normal Perovskite Solar Cells
Abstract
1. Introduction
2. Materials and Methods
2.1. Materials
2.2. Device Fabrication
2.3. Device Characterization
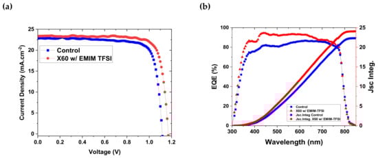
3. Results
Stability
4. Conclusions
Author Contributions
Funding
Institutional Review Board Statement
Informed Consent Statement
Data Availability Statement
Conflicts of Interest
References
- Kim, M.; Jeong, J.; Lu, H.; Lee, T.K.; Eickemeyer, F.T.; Liu, Y.; Choi, I.W.; Choi, S.J.; Jo, Y.; Kim, H.-B.; et al. Conformal Quantum Dot–SnO2 Layers as Electron Transporters for Efficient Perovskite Solar Cells. Science 2022, 375, 302–306. [Google Scholar] [CrossRef] [PubMed]
- Kasparavicius, E.; Franckevičius, M.; Malinauskiene, V.; Genevičius, K.; Getautis, V.; Malinauskas, T. Oxidized Spiro-OMeTAD: Investigation of Stability in Contact with Various Perovskite Compositions. ACS Appl. Energy Mater. 2021, 4, 13696–13705. [Google Scholar] [CrossRef] [PubMed]
- Tzoganakis, N.; Feng, B.; Loizos, M.; Krassas, M.; Tsikritzis, D.; Zhuang, X.; Kymakis, E. Ultrathin PTAA Interlayer in Conjunction with Azulene Derivatives for the Fabrication of Inverted Perovskite Solar Cells. J. Mater. Chem. C 2021, 9, 14709–14719. [Google Scholar] [CrossRef]
- Hawash, Z.; Ono, L.K.; Raga, S.R.; Lee, M.V.; Qi, Y. Air-Exposure Induced Dopant Redistribution and Energy Level Shifts in Spin-Coated Spiro-Meotad Films. Chem. Mater. 2015, 27, 562–569. [Google Scholar] [CrossRef]
- Adeyinka, A.M.; Mbelu, O.V.; Adediji, Y.B.; Yahya, D.I. A Review of Current Trends in Thin Film Solar Cell Technologies. Int. J. Energy Power Eng. 2023, 17, 1–10. [Google Scholar]
- Kaur, J.; Shelke, H.D.; Jadkar, S.R.; Pathan, H.M.; Kumar, R. Optimization of Photovoltaic Characteristics of CIGS/Si (Copper Indium Gallium Selenide/Silicon) Heterojunction Solar Cells. ES Energy Environ. 2022, 17, 56–63. [Google Scholar]
- Pastuszak, J.; Węgierek, P. Photovoltaic Cell Generations and Current Research Directions for Their Development. Materials 2022, 15, 5542. [Google Scholar] [CrossRef]
- Raval, P.; Dhennin, M.; Vezin, H.; Pawlak, T.; Roussel, P.; Nguyen, T.Q.; Manjunatha Reddy, G.N. Understanding the P-Doping of SpiroOMeTAD by Tris(Pentafluorophenyl)Borane. Electrochim. Acta 2022, 424, 140602. [Google Scholar] [CrossRef]
- Huang, L.; Hu, Z.; Xu, J.; Zhang, K.; Zhang, J.; Zhang, J.; Zhu, Y. Efficient and Stable Planar Perovskite Solar Cells with a Non-Hygroscopic Small Molecule Oxidant Doped Hole Transport Layer. Electrochim. Acta 2016, 196, 328–336. [Google Scholar] [CrossRef]
- Sathiyan, G.; Syed, A.A.; Chen, C.; Wu, C.; Tao, L.; Ding, X.; Miao, Y.; Li, G.; Cheng, M.; Ding, L. Dual Effective Dopant Based Hole Transport Layer for Stable and Efficient Perovskite Solar Cells. Nano Energy 2020, 72, 104673. [Google Scholar] [CrossRef]
- Costa, J.C.S.; Carvalho, R.M.; Silva, R.M.A.; Lobo Ferreira, A.I.M.C.; Santos, L.M.N.B.F. The Effect of Oxidation State and Tert-Butyl Substituents on the Thermal Behavior and Thin-Film Morphology of Cobalt-Complexes (FK 102 and FK 209). J. Chem. Thermodyn. 2022, 174, 106856. [Google Scholar] [CrossRef]
- Krishnamoorthy, T.; Kunwu, F.; Boix, P.P.; Li, H.; Koh, T.M.; Leong, W.L.; Powar, S.; Grimsdale, A.; Grätzel, M.; Mathews, N.; et al. A Swivel-Cruciform Thiophene Based Hole-Transporting Material for Efficient Perovskite Solar Cells. J. Mater. Chem. A 2014, 2, 6305–6309. [Google Scholar] [CrossRef]
- Pellaroque, A.; Noel, N.K.; Habisreutinger, S.N.; Zhang, Y.; Barlow, S.; Marder, S.R.; Snaith, H.J. Efficient and Stable Perovskite Solar Cells Using Molybdenum Tris(Dithiolene)s as p-Dopants for Spiro-OMeTAD. ACS Energy Lett. 2017, 2, 2044–2050. [Google Scholar] [CrossRef]
- Xu, M.; Rong, Y.; Ku, Z.; Mei, A.; Li, X.; Han, H. Improvement in Solid-State Dye Sensitized Solar Cells by p-Type Doping with Lewis Acid Sncl4. J. Phys. Chem. C 2013, 117, 22492–22496. [Google Scholar] [CrossRef]
- Li, M.; Wang, Z.K.; Yang, Y.G.; Hu, Y.; Feng, S.L.; Wang, J.M.; Gao, X.Y.; Liao, L.S. Copper Salts Doped Spiro-OMeTAD for High-Performance Perovskite Solar Cells. Adv. Energy Mater. 2016, 6, 1601156. [Google Scholar] [CrossRef]
- Tumen-Ulzii, G.; Qin, C.; Matsushima, T.; Leyden, M.R.; Balijipalli, U.; Klotz, D.; Adachi, C. Understanding the Degradation of Spiro-OMeTAD-Based Perovskite Solar Cells at High Temperature. Sol. RRL 2020, 4, 2000305. [Google Scholar] [CrossRef]
- Sanchez, R.S.; Mas-Marza, E. Light-Induced Effects on Spiro-OMeTAD Films and Hybrid Lead Halide Perovskite Solar Cells. Sol. Energy Mater. Sol. Cells 2016, 158, 189–194. [Google Scholar] [CrossRef]
- Ren, G.; Han, W.; Deng, Y.; Wu, W.; Li, Z.; Guo, J.; Bao, H.; Liu, C.; Guo, W. Strategies of Modifying Spiro-OMeTAD Materials for Perovskite Solar Cells: A Review. J. Mater. Chem. A 2021, 9, 4589–4625. [Google Scholar] [CrossRef]
- Hwang, H.; Park, S.; Heo, J.H.; Kim, W.; Ahn, H.; Kim, T.S.; Im, S.H.; Son, H.J. Enhancing Performance and Stability of Perovskite Solar Cells Using Hole Transport Layer of Small Molecule and Conjugated Polymer Blend. J. Power Sources 2019, 418, 167–175. [Google Scholar] [CrossRef]
- Zhang, L.; Zhou, X.; Liu, C.; Wang, X.; Xu, B. A Review on Solution-Processable Dopant-Free Small Molecules as Hole-Transporting Materials for Efficient Perovskite Solar Cells. Small Methods 2020, 4, 1–23. [Google Scholar] [CrossRef]
- Azmi, R.; Nam, S.Y.; Sinaga, S.; Akbar, Z.A.; Lee, C.L.; Yoon, S.C.; Jung, I.H.; Jang, S.Y. High-Performance Dopant-Free Conjugated Small Molecule-Based Hole-Transport Materials for Perovskite Solar Cells. Nano Energy 2018, 44, 191–198. [Google Scholar] [CrossRef]
- Xu, B.; Zhang, J.; Hua, Y.; Liu, P.; Wang, L.; Ruan, C.; Li, Y.; Boschloo, G.; Johansson, E.M.J.; Kloo, L.; et al. Tailor-Making Low-Cost Spiro[Fluorene-9,9′-Xanthene]-Based 3D Oligomers for Perovskite Solar Cells. Chem 2017, 2, 676–687. [Google Scholar] [CrossRef]
- Zhang, F.; Wang, Z.; Zhu, H.; Pellet, N.; Luo, J.; Yi, C.; Liu, X.; Liu, H.; Wang, S.; Li, X.; et al. Over 20% PCE Perovskite Solar Cells with Superior Stability Achieved by Novel and Low-Cost Hole-Transporting Materials. Nano Energy 2017, 41, 469–475. [Google Scholar] [CrossRef]
- Zhang, J.; Xu, B.; Yang, L.; Ruan, C.; Wang, L.; Liu, P.; Zhang, W.; Vlachopoulos, N.; Kloo, L.; Boschloo, G.; et al. The Importance of Pendant Groups on Triphenylamine-Based Hole Transport Materials for Obtaining Perovskite Solar Cells with over 20% Efficiency. Adv. Energy Mater. 2018, 8, 1701209. [Google Scholar] [CrossRef]
- Wang, W.; Zhou, J.; Tang, W. Design of Dopant-Free Small Molecular Hole Transport Materials for Perovskite Solar Cells: A Viewpoint from Defect Passivation. J. Mater. Chem. A 2022, 10, 1150–1178. [Google Scholar] [CrossRef]
- Xia, R.; Fei, Z.; Drigo, N.; Bobbink, F.D.; Huang, Z.; Jasiūnas, R.; Franckevičius, M.; Gulbinas, V.; Mensi, M.; Fang, X.; et al. Retarding Thermal Degradation in Hybrid Perovskites by Ionic Liquid Additives. Adv. Funct. Mater. 2019, 29, 1902021. [Google Scholar] [CrossRef]
- Wang, J.; Ye, X.; Wang, Y.; Wang, Z.; Wong, W.; Li, C. Halide Perovskite Based on Hydrophobic Ionic Liquid for Stability Improving and Its Application in High-Efficient Photovoltaic Cell. Electrochim. Acta 2019, 303, 133–139. [Google Scholar] [CrossRef]
- Salado, M.; Ramos, F.J.; Manzanares, V.M.; Gao, P.; Nazeeruddin, M.K.; Dyson, P.J.; Ahmad, S. Extending the Lifetime of Perovskite Solar Cells Using a Perfluorinated Dopant. ChemSusChem 2016, 9, 2708–2714. [Google Scholar] [CrossRef]
- Huang, C.; Lin, P.; Fu, N.; Sun, K.; Ye, M.; Liu, C.; Zhou, X.; Shu, L.; Hao, X.; Xu, B.; et al. Ionic Liquid Modified SnO2 Nanocrystals as a Robust Electron Transporting Layer for Efficient Planar Perovskite Solar Cells. J. Mater. Chem. A 2018, 6, 22086–22095. [Google Scholar] [CrossRef]
- Gao, X.X.; Ding, B.; Kanda, H.; Fei, Z.; Luo, W.; Zhang, Y.; Shibayama, N.; Züttel, A.; Tirani, F.F.; Scopelliti, R.; et al. Engineering Long-Term Stability into Perovskite Solar Cells via Application of a Multi-Functional TFSI-Based Ionic Liquid. Cell Rep. Phys. Sci. 2021, 2, 100475. [Google Scholar] [CrossRef]
- Zhang, H.; Shi, Y.; Yan, F.; Wang, L.; Wang, K.; Xing, Y.; Dong, Q.; Ma, T. A Dual Functional Additive for the HTM Layer in Perovskite Solar Cells. Chem. Commun. 2014, 50, 5020–5022. [Google Scholar] [CrossRef] [PubMed]
- Wu, Q.; Zhou, W.; Liu, Q.; Zhou, P.; Chen, T.; Lu, Y.; Qiao, Q.; Yang, S. Solution-Processable Ionic Liquid as an Independent or Modifying Electron Transport Layer for High-Efficiency Perovskite Solar Cells. ACS Appl. Mater. Interfaces 2016, 8, 34464–34473. [Google Scholar] [CrossRef] [PubMed]
- Huang, X.; Guo, H.; Wang, K.; Liu, X. Ionic Liquid Induced Surface Trap-State Passivation for Efficient Perovskite Hybrid Solar Cells. Org. Electron. 2017, 41, 42–48. [Google Scholar] [CrossRef]
- Lin, Y.H.; Sakai, N.; Da, P.; Wu, J.; Sansom, H.C.; Ramadan, A.J.; Mahesh, S.; Liu, J.; Oliver, R.D.J.; Lim, J.; et al. A Piperidinium Salt Stabilizes Efficient Metal-Halide Perovskite Solar Cells. Science 2020, 369, 96–102. [Google Scholar] [CrossRef] [PubMed]
- Du, J.; Wang, Y.; Zhang, Y.; Zhao, G.; Jia, Y.; Zhang, X.; Liu, Y. Ionic Liquid-Assisted Improvements in the Thermal Stability of CH3NH3PbI3 Perovskite Photovoltaics. Phys. Status Solidi-Rapid Res. Lett. 2018, 12, 1800130. [Google Scholar] [CrossRef]
- Chen, Y.; Wang, Y.; Wu, D.; Wu, W.; Wu, Y.; Li, S.; Qin, C.; Lin, H.; Shen, H.; Shi, C. Fluorene-Terminated Hole Transporting Materials with a Spiro[Fluorene-9,9′-Xanthene] Core for Perovskite Solar Cells. New J. Chem. 2021, 45, 5497–5502. [Google Scholar] [CrossRef]
- Li, Z.; Yun, Y.; Huang, H.; Ding, Z.; Li, X.; Zhao, B.; Huang, W. Fluorine Substitution Position Effects on Spiro(Fluorene-9,9′-Xanthene) Cored Hole Transporting Materials for High-Performance Planar Perovskite Solar Cells. J. Energy Chem. 2021, 57, 341–350. [Google Scholar] [CrossRef]
- Fu, Y.; Li, Y.; Zeng, Q.; Wu, H.; Wang, L.; Tang, H.; Xing, G.; Cao, D. Influence of Donor Units on Spiro[Fluorene-9,9′-Xanthene]-Based Dopant-Free Hole Transporting Materials for Perovskite Solar Cells. Sol. Energy 2021, 216, 180–187. [Google Scholar] [CrossRef]
- Bi, D.; Xu, B.; Gao, P.; Sun, L.; Grätzel, M.; Hagfeldt, A. Facile Synthesized Organic Hole Transporting Material for Perovskite Solar Cell with Efficiency of 19.8%. Nano Energy 2016, 23, 138–144. [Google Scholar] [CrossRef]
- Wu, M.; Li, J.; Zhang, R.; Tian, X.; Han, Z.; Lu, X.; Guo, K.; Liu, Z.; Wang, Z. Synthesis and Properties of Dithiafulvenyl Functionalized Spiro[Fluorene-9,9′-Xanthene] Molecules. Org. Lett. 2018, 20, 780–783. [Google Scholar] [CrossRef]
- Xu, B.; Bi, D.; Hua, Y.; Liu, P.; Cheng, M.; Grätzel, M.; Kloo, L.; Hagfeldt, A.; Sun, L. A Low-Cost Spiro[Fluorene-9,9′-Xanthene]-Based Hole Transport Material for Highly Efficient Solid-State Dye-Sensitized Solar Cells and Perovskite Solar Cells. Energy Environ. Sci. 2016, 9, 873–877. [Google Scholar] [CrossRef]
- Su, Z.; Hui, W.; Dong, Y.; Wang, C.; Hu, J.; Shen, K.; Wen, W.; Xiong, Y.; Cao, L.; Chen, Y.; et al. Decisive Role of Elevated Mobility in X55 and X60 Hole Transport Layers for High-Performance Perovskite Solar Cells. ACS Appl. Energy Mater. 2021, 4, 7681–7690. [Google Scholar] [CrossRef]
- Qu, J.; Jiang, X.; Yu, Z.; Lai, J.; Zhao, Y.; Hu, M.; Yang, X.; Sun, L. Improved Performance and Air Stability of Perovskite Solar Cells Based on Low-Cost Organic Hole-Transporting Material X60 by Incorporating Its Dicationic Salt. Sci. China Chem. 2018, 61, 172–179. [Google Scholar] [CrossRef]
- Maciejczyk, M.; Ivaturi, A.; Robertson, N. SFX as a Low-Cost “Spiro” Hole-Transport Material for Efficient Perovskite Solar Cells. J. Mater. Chem. A 2016, 4, 4855–4863. [Google Scholar] [CrossRef]
- Gunn, F.; Ghosh, P.; Maciejczyk, M.; Cameron, J.; Nordlund, D.; Krishnamurthy, S.; Tuttle, T.; Skabara, P.; Robertson, N.; Ivaturi, A. Understanding the Dopant Induced Effects on SFX-MeOTAD for Perovskite Solar Cells: A Spectroscopic and Computational Investigation. J. Mater. Chem. C 2021, 9, 16226–16239. [Google Scholar] [CrossRef]
- Pydzińska, K.; Florczak, P.; Nowaczyk, G.; Ziółek, M. Effects of Different Small Molecule Hole Transporters on the Performance and Charge Transfer Dynamics of Perovskite Solar Cells. Synth. Met. 2017, 232, 181–187. [Google Scholar] [CrossRef]
- Elawad, M.; Lee, H.; Yu, Z.; Sun, L. Ionic Liquid Doped Organic Hole Transporting Material for Efficient and Stable Perovskite Solar Cells. Phys. B Condens. Matter 2020, 586, 412124. [Google Scholar] [CrossRef]
- Zheng, Z.; Li, F.; Gong, J.; Ma, Y.; Gu, J.; Liu, X.; Chen, S.; Liu, M. Pre-Buried Additive for Cross-Layer Modification in Flexible Perovskite Solar Cells with Efficiency Exceeding 22%. Adv. Mater. 2022, 34, 2109879. [Google Scholar] [CrossRef]
- Liu, T.; Guo, J.; Lu, D.; Xu, Z.; Fu, Q.; Zheng, N.; Xie, Z.; Wan, X.; Zhang, X.; Liu, Y.; et al. Spacer Engineering Using Aromatic Formamidinium in 2D/3D Hybrid Perovskites for Highly Efficient Solar Cells. ACS Nano 2021, 15, 7811–7820. [Google Scholar] [CrossRef]
- Wang, S.; Huang, Z.; Wang, X.; Li, Y.; Günther, M.; Valenzuela, S.; Parikh, P.; Cabreros, A.; Xiong, W.; Meng, Y.S. Unveiling the Role of TBP-LiTFSI Complexes in Perovskite Solar Cells. J. Am. Chem. Soc. 2018, 140, 16720–16730. [Google Scholar] [CrossRef]
- Zhang, M.; Wu, F.; Chi, D.; Shi, K.; Huang, S. High-Efficiency Perovskite Solar Cells with Poly(Vinylpyrrolidone)-Doped SnO2as an Electron Transport Layer. Mater. Adv. 2020, 1, 617–624. [Google Scholar] [CrossRef]
- Xie, H.; Wang, Z.; Chen, Z.; Pereyra, C.; Pols, M.; Gałkowski, K.; Anaya, M.; Fu, S.; Jia, X.; Tang, P.; et al. Decoupling the Effects of Defects on Efficiency and Stability through Phosphonates in Stable Halide Perovskite Solar Cells. Joule 2021, 5, 1246–1266. [Google Scholar] [CrossRef]
- Li, Z.; Tinkham, J.; Schulz, P.; Yang, M.; Kim, D.H.; Berry, J.; Sellinger, A.; Zhu, K. Acid Additives Enhancing the Conductivity of Spiro-OMeTAD Toward High-Efficiency and Hysteresis-Less Planar Perovskite Solar Cells. Adv. Energy Mater. 2017, 7, 1601451. [Google Scholar] [CrossRef]
- Yang, Y.; Wu, J.; Liu, X.; Guo, Q.; Wang, X.; Liu, L.; Ding, Y.; Dai, S.; Lin, J.Y. Dual Functional Doping of KMnO4 in Spiro-OMeTAD for Highly Effective Planar Perovskite Solar Cells. ACS Appl. Energy Mater. 2019, 2, 2188–2196. [Google Scholar] [CrossRef]
- Tsikritzis, D.; Chatzimanolis, K.; Tzoganakis, N.; Bellani, S.; Zappia, M.I.; Bianca, G.; Curreli, N.; Buha, J.; Kriegel, I.; Antonatos, N.; et al. Two-Dimensional BiTeI as a Novel Perovskite Additive for Printable Perovskite Solar Cells. Sustain. Energy Fuels 2022, 6, 5345–5359. [Google Scholar] [CrossRef]
- Yang, C.; Wang, H.; Miao, Y.; Chen, C.; Zhai, M.; Bao, Q.; Ding, X.; Yang, X.; Cheng, M. Interfacial Molecular Doping and Energy Level Alignment Regulation for Perovskite Solar Cells with Efficiency Exceeding 23%. ACS Energy Lett. 2021, 6, 2690–2696. [Google Scholar] [CrossRef]
- Yang, G.; Wang, C.; Lei, H.; Zheng, X.; Qin, P.; Xiong, L.; Zhao, X.; Yan, Y.; Fang, G. Interface Engineering in Planar Perovskite Solar Cells: Energy Level Alignment, Perovskite Morphology Control and High Performance Achievement. J. Mater. Chem. A 2017, 5, 1658–1666. [Google Scholar] [CrossRef]
- Wolff, C.M.; Caprioglio, P.; Stolterfoht, M.; Neher, D. Nonradiative Recombination in Perovskite Solar Cells: The Role of Interfaces. Adv. Mater. 2019, 31, 1902762. [Google Scholar] [CrossRef]
- Le Corre, V.M.; Duijnstee, E.A.; El Tambouli, O.; Ball, J.M.; Snaith, H.J.; Lim, J.; Koster, L.J.A. Revealing Charge Carrier Mobility and Defect Densities in Metal Halide Perovskites via Space-Charge-Limited Current Measurements. ACS Energy Lett. 2021, 6, 1087–1094. [Google Scholar] [CrossRef]
- Almora, O.; Aranda, C.; Mas-Marzá, E.; Garcia-Belmonte, G. On Mott-Schottky Analysis Interpretation of Capacitance Measurements in Organometal Perovskite Solar Cells. Appl. Phys. Lett. 2016, 109, 173903. [Google Scholar] [CrossRef]
- De Bastiani, M.; Aydin, E.; Allen, T.; Walter, D.; Fell, A.; Peng, J.; Gasparini, N.; Troughton, J.; Baran, D.; Weber, K.; et al. Interfacial Dynamics and Contact Passivation in Perovskite Solar Cells. Adv. Electron. Mater. 2019, 5, 1800500. [Google Scholar] [CrossRef]
- Tzoganakis, N.; Feng, B.; Loizos, M.; Chatzimanolis, K.; Krassas, M.; Tsikritzis, D.; Zuang, X.; Kymakis, E. Performance and Stability Improvement of Inverted Perovskite Solar Cells by Interface Modification of Charge Transport Layers Using an Azulene–Pyridine Molecule. Energy Technol. 2022, 2201017. [Google Scholar] [CrossRef]
- Chatzimanolis, K.; Rogdakis, K.; Tsikritzis, D.; Tzoganakis, N.; Tountas, M.; Krassas, M.; Bellani, S.; Najafi, L.; Martín-García, B.; Oropesa-Nuñez, R.; et al. Inverted Perovskite Solar Cells with Enhanced Lifetime and Thermal Stability Enabled by a Metallic Tantalum Disulfide Buffer Layer. Nanoscale Adv. 2021, 3, 3124–3135. [Google Scholar] [CrossRef] [PubMed]
- Jiménez-López, J.; Méndez, M.; Palomares, E. Influence of the Electron Selective Contact on the Interfacial Recombination in Fresh and Aged Perovskite Solar Cells. Appl. Sci. 2022, 12, 4545. [Google Scholar] [CrossRef]
- Liu, Y.; Chen, Q.; Duan, H.S.; Zhou, H.; Yang, Y.; Chen, H.; Luo, S.; Song, T.B.; Dou, L.; Hong, Z.; et al. A Dopant-Free Organic Hole Transport Material for Efficient Planar Heterojunction Perovskite Solar Cells. J. Mater. Chem. A 2015, 3, 11940–11947. [Google Scholar] [CrossRef]
- Lee, I.; Yun, J.H.; Son, H.J.; Kim, T.S. Accelerated Degradation Due to Weakened Adhesion from Li-TFSI Additives in Perovskite Solar Cells. ACS Appl. Mater. Interfaces 2017, 9, 7029–7035. [Google Scholar] [CrossRef] [PubMed]
- Li, Z.; Xiao, C.; Yang, Y.; Harvey, S.P.; Kim, D.H.; Christians, J.A.; Yang, M.; Schulz, P.; Nanayakkara, S.U.; Jiang, C.S.; et al. Extrinsic Ion Migration in Perovskite Solar Cells. Energy Environ. Sci. 2017, 10, 1234–1242. [Google Scholar] [CrossRef]
- Jiang, L.L.; Wang, Z.K.; Li, M.; Li, C.H.; Fang, P.F.; Liao, L.S. Flower-like MoS 2 Nanocrystals: A Powerful Sorbent of Li + in the Spiro-OMeTAD Layer for Highly Efficient and Stable Perovskite Solar Cells. J. Mater. Chem. A 2019, 7, 3655–3663. [Google Scholar] [CrossRef]
- Harindu Hemasiri, N.; Kazim, S.; Calio, L.; Paek, S.; Salado, M.; Pozzi, G.; Lezama, L.; Nazeeruddin, M.K.; Ahmad, S. Elucidating the Doping Mechanism in Fluorene-Dithiophene-Based Hole Selective Layer Employing Ultrahydrophobic Ionic Liquid Dopant. ACS Appl. Mater. Interfaces 2020, 12, 9395–9403. [Google Scholar] [CrossRef]
- Pan, S.; Yang, X.; Cai, B.; Yang, K.; Ge, M.; Zhang, T.; Cui, H.; Sun, L.; Ji, W. N-Bromosuccinimide as a p-Type Dopant for a Spiro-OMeTAD Hole Transport Material to Enhance the Performance of Perovskite Solar Cells. Sustain. Energy Fuels 2021, 5, 2294–2300. [Google Scholar] [CrossRef]
- Wang, X.; Wu, J.; Yang, Y.; Li, G.; Song, Z.; Liu, X.; Sun, W.; Lan, Z.; Gao, P. Chromium Trioxide Modified Spiro-OMeTAD for Highly Efficient and Stable Planar Perovskite Solar Cells. J. Energy Chem. 2021, 61, 386–394. [Google Scholar] [CrossRef]
- Ye, X.; Yu, P.; Shen, W.; Hu, S.; Akasaka, T.; Lu, X. Er@C82 as a Bifunctional Additive to the Spiro-OMeTAD Hole Transport Layer for Improving Performance and Stability of Perovskite Solar Cells. Sol. RRL 2021, 5, 2100463. [Google Scholar] [CrossRef]
- Du, Q.; Shen, Z.; Chen, C.; Li, F.; Jin, M.; Li, H.; Dong, C.; Zheng, J.; Ji, M.; Wang, M. Spiro-OMeTAD:Sb2S3 Hole Transport Layer with Triple Functions of Overcoming Lithium Salt Aggregation, Long-Term High Conductivity, and Defect Passivation for Perovskite Solar Cells. Sol. RRL 2021, 5, 2100622. [Google Scholar] [CrossRef]
- Rong, Y.; Jin, M.; Du, Q.; Shen, Z.; Feng, Y.; Wang, M.; Li, F.; Liu, R.; Li, H.; Chen, C. Simultaneous Ambient Long-Term Conductivity Promotion, Interfacial Modification, Ion Migration Inhibition and Anti-Deliquescence by MWCNT:NiO in Spiro-OMeTAD for Perovskite Solar Cells. J. Mater. Chem. A 2022, 22592–22604. [Google Scholar] [CrossRef]
- Dong, Y.; Yang, Y.; Qiu, L.; Dong, G.; Xia, D.; Liu, X.; Li, M.; Fan, R. Polyoxometalate-Based Inorganic-Organic Hybrid [Cu(Phen)2]2[(α-Mo8O26)]: A New Additive to Spiro-OMeTAD for Efficient and Stable Perovskite Solar Cells. ACS Appl. Energy Mater. 2019, 2, 4224–4233. [Google Scholar] [CrossRef]






| Sample | wt% | PCE (%) | FF (%) | Jsc (mA·cm−2) | Voc (V) |
|---|---|---|---|---|---|
| Control | 19.67 ± 0.46 (20.11) | 77.42 ± 1.23 (79.16) | 22.82 ± 0.20 (22.97) | 1.11 ± 0.03 (1.106) | |
| X60 w/EMIM-TFSI | 4% | 7.19 ± 0.81 (8.31) | 47.37 ± 3.83 (54.28) | 15.44 ± 0.73 (15.64) | 0.981 ± 0.010 (0.979) |
| 8% | 14.09 ± 0.32 (14.63) | 69.53 ± 1.86 (68.75) | 20.40 ± 0.41 (21.08) | 0.993 ± 0.010 (1.010) | |
| 12% | 21.65 ± 0.34 (21.85) | 80.75 ± 1.45 (80.77) | 23.95 ± 0.46 (23.90) | 1.119 ± 0.008 (1.132) | |
| 16% | 19.85 ± 0.23 (20.28) | 79.02 ± 0.82 (79.01) | 22.62 ± 0.19 (22.84) | 1.111 ± 0.009 (1.124) |
| Sample | Scan Direction | PCE (%) | FF (%) | Jsc (mA·cm−2) | Voc (V) | HI (%) |
|---|---|---|---|---|---|---|
| Control | (RS) (FS) | (20.11) (19.08) | (79.16) (76.32) | (22.97) (22.86) | (1.106) (1.094) | 0.051 |
| X60 w/EMIM-TFSI (12 %wt) | (RS) (FS) | (21.85) (21.27) | (80.77) (79.65) | (23.90) (23.68) | (1.132) (1.128) | 0.027 |
| Sample | PCE (%) | Aging Time (h) | PCE loss (%) | Reference |
|---|---|---|---|---|
| X60:EMIM-TFSi (Control) | 21.85 | 1200 | 12 | This work |
| X60: BuPyIm-TFSi | 14.65 | 840 | 7 | [47] |
| X60(TFSi)2 | 19.00 | 800 | 10 | [43] |
| FDT: BMPy-TFSI | 18.24 | 1200 | 10 | [69] |
| Spiro-OMeTAD: N-Bromosuccinimide | 19.24 | 700 | 12.7 | [70] |
| Spiro-OMeTAD: CrO3 | 22.57 | 720 | 10 | [71] |
| Spiro-OMeTAD: Er@C82 | 19.22 | 400 | 20 | [72] |
| Spiro-OMeTAD: Sb2S3 | 22.13 | 1100 | 5 | [73] |
| Spiro-OMeTAD: MWCNT:NiO | 21.68 | 1200 | 10 | [74] |
| Spiro-OMeTAD: KMnO4 | 20.03 | 720 | 11 | [54] |
| Spiro-OMeTAD: CMP | 18.72 | 650 | 15 | [75] |
Disclaimer/Publisher’s Note: The statements, opinions and data contained in all publications are solely those of the individual author(s) and contributor(s) and not of MDPI and/or the editor(s). MDPI and/or the editor(s) disclaim responsibility for any injury to people or property resulting from any ideas, methods, instructions or products referred to in the content. |
© 2023 by the authors. Licensee MDPI, Basel, Switzerland. This article is an open access article distributed under the terms and conditions of the Creative Commons Attribution (CC BY) license (https://creativecommons.org/licenses/by/4.0/).
Share and Cite
Tzoganakis, N.; Tsikritzis, D.; Chatzimanolis, K.; Zhuang, X.; Kymakis, E. A Low-Cost and Lithium-Free Hole Transport Layer for Efficient and Stable Normal Perovskite Solar Cells. Nanomaterials 2023, 13, 883. https://doi.org/10.3390/nano13050883
Tzoganakis N, Tsikritzis D, Chatzimanolis K, Zhuang X, Kymakis E. A Low-Cost and Lithium-Free Hole Transport Layer for Efficient and Stable Normal Perovskite Solar Cells. Nanomaterials. 2023; 13(5):883. https://doi.org/10.3390/nano13050883
Chicago/Turabian StyleTzoganakis, Nikolaos, Dimitris Tsikritzis, Konstantinos Chatzimanolis, Xiaodong Zhuang, and Emmanuel Kymakis. 2023. "A Low-Cost and Lithium-Free Hole Transport Layer for Efficient and Stable Normal Perovskite Solar Cells" Nanomaterials 13, no. 5: 883. https://doi.org/10.3390/nano13050883
APA StyleTzoganakis, N., Tsikritzis, D., Chatzimanolis, K., Zhuang, X., & Kymakis, E. (2023). A Low-Cost and Lithium-Free Hole Transport Layer for Efficient and Stable Normal Perovskite Solar Cells. Nanomaterials, 13(5), 883. https://doi.org/10.3390/nano13050883

