Immobilization of Alendronate on Zirconium Phosphate Nanoplatelets
Abstract
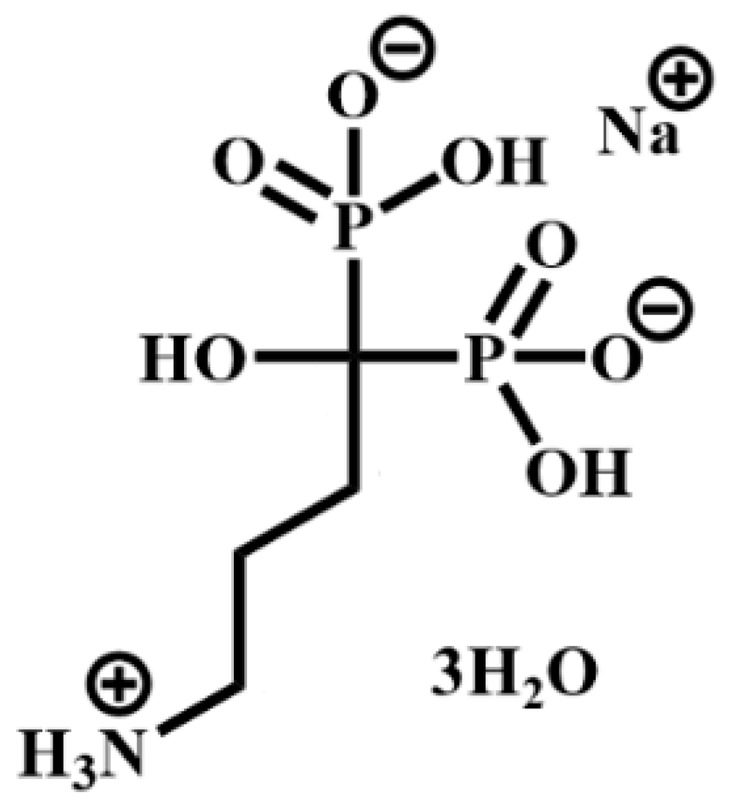
1. Introduction
2. Materials and Methods
2.1. Materials
2.2. Synthesis of αZP and γZP
2.3. Delamination of αZP and γZP
2.4. Preparation of ZP ALN-Based Compounds
2.5. Analytical Procedures
2.6. Cell Cultures
2.7. Resazurin Reduction Assay
3. Results and Discussion
4. Conclusions
Supplementary Materials
Author Contributions
Funding
Institutional Review Board Statement
Informed Consent Statement
Data Availability Statement
Conflicts of Interest
References
- Amghouz, Z.; García, J.R.; Adawy, A. A Review on the Synthesis and Current and Prospective Applications of Zirconium and Titanium Phosphates. Eng 2022, 3, 161–174. [Google Scholar] [CrossRef]
- Queffélec, C.; Petit, M.; Janvier, P.; Knight, D.A.; Bujoli, B. Surface Modification Using Phosphonic Acids and Esters. Chem. Rev. 2012, 112, 3777–3807. [Google Scholar] [CrossRef] [PubMed]
- Alberti, G.; Giontella, E.; Murcia-Mascarós, S.; Vivani, R. Mechanism of the Topotactic Formation of γ-Zirconium Phosphate Covalently Pillared with Diphosphonate Groups. Inorg. Chem. 1998, 37, 4672–4676. [Google Scholar] [CrossRef] [PubMed]
- Hix, G.B.; Kitchin, S.J.; Harris, K.D.M. Topotactic Synthesis of -Zirconium Phenylphosphonate from -Zirconium Phosphate. J. Chem. Soc. Dalton Trans. 1998, 2315–2319. [Google Scholar] [CrossRef]
- Pica, M.; Donnadio, A.; D’Amato, R.; Capitani, D.; Taddei, M.; Casciola, M. Layered Metal(IV) Phosphonates with Rigid Pendant Groups: New Synthetic Approaches to Nanosized Zirconium Phosphate Phenylphosphonates. Inorg. Chem. 2014, 53, 2222–2229. [Google Scholar] [CrossRef] [PubMed]
- Shearan, S.J.I.; Stock, N.; Emmerling, F.; Demel, J.; Wright, P.A.; Demadis, K.D.; Vassaki, M.; Costantino, F.; Vivani, R.; Sallard, S.; et al. New Directions in Metal Phosphonate and Phosphinate Chemistry. Crystals 2019, 9, 270. [Google Scholar] [CrossRef]
- Boanini, E.; Panseri, S.; Arroyo, F.; Montesi, M.; Rubini, K.; Tampieri, A.; Covarrubias, C.; Bigi, A. Alendronate Functionalized Mesoporous Bioactive Glass Nanospheres. Materials 2016, 9, 135. [Google Scholar] [CrossRef]
- Zheng, D.; Neoh, K.G.; Kang, E.-T. Immobilization of Alendronate on Titanium via Its Different Functional Groups and the Subsequent Effects on Cell Functions. J. Colloid Interface Sci. 2017, 487, 1–11. [Google Scholar] [CrossRef] [PubMed]
- Bjelić, D.; Finšgar, M. Bioactive Coatings with Anti-Osteoclast Therapeutic Agents for Bone Implants: Enhanced Compliance and Prolonged Implant Life. Pharmacol. Res. 2022, 176, 106060. [Google Scholar] [CrossRef]
- Quiñones Vélez, G.; París Santiago, A.; Soto Nieves, D.; Figueroa Guzmán, A.; Peterson-Peguero, E.; López-Mejías, V. Functionalization of Titanium Dioxide by In Situ Surface Crystallization of Bisphosphonate-Based Coordination Complexes. Inorg. Chem. 2023, 62, 201–212. [Google Scholar] [CrossRef]
- Saxena, V.; Diaz, A.; Clearfield, A.; Batteas, J.D.; Hussain, M.D. Zirconium phosphate nanoplatelets: A biocompatible nanomaterial for drug delivery to cancer. Nanoscale 2013, 5, 2328–2336. [Google Scholar] [CrossRef] [PubMed]
- Yu, S.; Gao, X.; Baigude, H.; Hai, X.; Zhang, R.; Gao, X.; Shen, B.; Li, Z.; Tan, Z.; Su, H. Inorganic Nanovehicle for Potential Targeted Drug Delivery to Tumor Cells, Tumor Optical Imaging. ACS Appl. Mater. Interfaces 2015, 7, 5089–5096. [Google Scholar] [CrossRef] [PubMed]
- Hosseinzadeh, R.; Khorsandi, K. Photodynamic effect of Zirconium phosphate biocompatible nano-bilayers containing methylene blue on cancer and normal cells. Sci. Rep. 2019, 9, 14899. [Google Scholar] [CrossRef] [PubMed]
- Donnadio, A.; Ambrogi, V.; Pietrella, D.; Pica, M.; Sorrentino, G.; Casciola, M. Carboxymethylcellulose films containing chlorhexidine–zirconium phosphate nanoparticles: Antibiofilm activity and cytotoxicity. RSC Adv. 2016, 6, 46249–46257. [Google Scholar] [CrossRef]
- Pica, M.; Messere, N.; Felicetti, T.; Sabatini, T.; Pietrella, D.; Nocchetti, M. Biofunctionalization of Poly(lactide-co-glycolic acid) using potent NorA efflux pump inhibitors immobilized on nanometric alpha-Zirconium phosphate to reduce biofilm formation. Materials 2021, 14, 670. [Google Scholar] [CrossRef]
- Capitani, D.; Casciola, M.; Donnadio, A.; Vivani, R. High Yield Precipitation of Crystalline α-Zirconium Phosphate from Oxalic Acid Solutions. Inorg. Chem. 2010, 49, 9409–9415. [Google Scholar] [CrossRef]
- Alberti, G.; Dionigi, C.; Giontella, E. Formation of Colloidal Dispersions of Layered G-Zirconium Phosphate in Water/Acetone Mixtures. J. Colloid Interface Sci. 1997, 188, 27–31. [Google Scholar] [CrossRef]
- Casciola, M.; Alberti, G.; Donnadio, A.; Pica, M.; Marmottini, F.; Bottino, A.; Piaggio, P. Gels of Zirconium Phosphate in Organic Solvents and Their Use for the Preparation of Polymeric Nanocomposites. J. Mater. Chem. 2005, 15, 4262. [Google Scholar] [CrossRef]
- Giannelli, M.; Barbalinardo, M.; Riminucci, A.; Belvedere, K.; Boccalon, E.; Sotgiu, G.; Corticelli, F.; Ruani, G.; Zamboni, G.; Aluigi, A.; et al. Magnetic Keratin hydrotalcites Sponges as Potential scaffolds for tissue regeneration. Appl. Clay Sci. 2021, 207, 106090. [Google Scholar] [CrossRef]
- Barbalinardo, M.; Gentili, D.; Lazzarotto, F.; Valle, F.; Brucale, M.; Melucci, M.; Favaretto, L.; Zambianchi, M.; Borrachero-Conejo, A.I.; Emanuela Saracino, E.; et al. Data-Matrix Technology for Multiparameter Monitoring of Cell Cultures. Small 2018, 2, 1700377. [Google Scholar] [CrossRef]
- Barbalinardo, M.; Biagetti, M.; Valle, F.; Cavallini, M.; Falini, G.; Montroni, D. Green Biocompatible Method for the Synthesis of Collagen/Chitin Composites to Study Their Composition and Assembly Influence on Fibroblasts Growth. Biomacromolecules 2021, 22, 3357–3365. [Google Scholar] [CrossRef] [PubMed]
- Yamanaka, S. Synthesis and Characterization of the Organic Derivatives of Zirconium Phosphate. Inorg. Chem. 1976, 15, 2811–2817. [Google Scholar] [CrossRef]
- Alberti, G.; Giontella, E.; Murcia-Mascarós, S. Mechanism of the Formation of Organic Derivatives of γ-Zirconium Phosphate by Topotactic Reactions with Phosphonic Acids in Water and Water−Acetone Media. Inorg. Chem. 1997, 36, 2844–2849. [Google Scholar] [CrossRef]
- Clearfield, A.; Garces, J.M. Exchange of alkaline metal ion on γ-zirconium phosphate. J. Inorg. Nucl. Chem. 1979, 41, 879–884. [Google Scholar] [CrossRef]
- Bakhmutov, V.I.; Kan, Y.; Sheikh, J.A.; González-Villegas, J.; Colón, J.L.; Clearfield, A. Modification and Intercalation of Layered Zirconium Phosphates: A Solid-State NMR Monitoring: Solid-State NMR. Magn. Reson. Chem. 2017, 55, 648–654. [Google Scholar] [CrossRef]
- Pica, M.; Donnadio, A.; Mariangeloni, G.; Zuccaccia, C.; Casciola, M. A Combined Strategy for the Synthesis of Double Functionalized α-Zirconium Phosphate Organic Derivatives. N. J. Chem. 2016, 40, 8390–8396. [Google Scholar] [CrossRef]
- Rajeh, A.O.; Szirtes, L. FT-IR Studies on Intercalates and Organic Derivatives of Crystalline (α- and γ-Forms) Zirconium Phosphate and Zirconium Phosphate-Phosphite. J. Radioanal. Nucl. Chem. 1999, 241, 9. [Google Scholar] [CrossRef]
- Schmidt, C.; Stock, N. Systematic Investigation of Zinc Aminoalkylphosphonates: Influence of the Alkyl Chain Lengths on the Structure Formation. Inorg. Chem. 2012, 51, 3108–3118. [Google Scholar] [CrossRef]
- Samanamu, C.R.; Zamora, E.N.; Montchamp, J.-L.; Richards, A.F. Synthesis of Homo and Hetero Metal-Phosphonate Frameworks from Bi-Functional Aminomethylphosphonic Acid. J. Solid State Chem. 2008, 181, 1462–1471. [Google Scholar] [CrossRef]
- Stanghellini, P.L.; Boccaleri, E.; Diana, E.; Alberti, G.; Vivani, R. Vibrational Study of Some Layered Structures Based on Titanium and Zirconium Phosphates. Inorg. Chem. 2004, 43, 5698–5703. [Google Scholar] [CrossRef] [PubMed]
- Zhu, X.; Gu, J.; Wang, Y.; Li, B.; Li, Y.; Zhao, W.; Shi, J. Inherent Anchorages in UiO-66 Nanoparticles for Efficient Capture of Alendronate and Its Mediated Release. Chem. Commun. 2014, 50, 8779–8782. [Google Scholar] [CrossRef]
- Casciola, M. From Layered Zirconium Phosphates and Phosphonates to Nanofillers for Ionomeric Membranes. Solid State Ion. 2019, 336, 1–10. [Google Scholar] [CrossRef]
- Cheng, Y.; Chui, S.S.-Y.; Wang, X.D.T.; Jaenicke, S.; Chuah, G.-K. One-Pot Synthesis of Layered Disodium Zirconium Phosphate: Crystal Structure and Application in the Remediation of Heavy-Metal-Contaminated Wastewater. Inorg. Chem. 2019, 58, 13020–13029. [Google Scholar] [CrossRef] [PubMed]
- Paul, G.; Bisio, C.; Braschi, I.; Cossi, M.; Gatti, G.; Gianotti, E.; Marchese, L. Combined Solid-State NMR, FT-IR and Computational Studies on Layered and Porous Materials. Chem. Soc. Rev. 2018, 47, 5684–5739. [Google Scholar] [CrossRef]
- Clayden, N.J. Solid-State Nuclear Magnetic Resonance Spectroscopic Study of y-Zirconium Phosphate. J. Chem. Soc. Dalton Trans. 1987, 5, 1877–1881. [Google Scholar] [CrossRef]
- Melánová, K.; Brus, J.; Zima, V.; Beneš, L.; Svoboda, J.; Kobera, L.; Kutálek, P. Formation of Layered Proton-Conducting Zirconium and Titanium Organophosphonates by Topotactic Reaction: Physicochemical Properties, Proton Dynamics, and Atomic-Resolution Structure. Inorg. Chem. 2020, 59, 505–513. [Google Scholar] [CrossRef]
- Pica, M.; Donnadio, A.; Troni, E.; Capitani, D.; Casciola, M. Looking for New Hybrid Polymer Fillers: Synthesis of Nanosized α-Type Zr(IV) Organophosphonates through an Unconventional Topotactic Anion Exchange Reaction. Inorg. Chem. 2013, 52, 7680–7687. [Google Scholar] [CrossRef]
- Nakayama, H.; Eguchi, T.; Nakamura, N.; Yamaguchi, S.; Danjyo, M.; Tsuhako, M. Structural Study of Phosphate Groups in Layered Metal Phosphates by High-Resolution Solid-State 31P NMR Spectroscopy. J. Mater. Chem. 1997, 7, 1063–1066. [Google Scholar] [CrossRef]
- Kaneno, M.; Yamaguchi, S.; Nakayama, H.; Miyakubo, K.; Ueda, T.; Eguchi, T.; Nakamura, N. Syntheses of Intercalation Compounds of Tetraamine in α-Zr(HPO4)2H2O and the Structures of Guest Molecules by Solid State NMR. Int. J. Inorg. Mater. 1999, 1, 379–384. [Google Scholar] [CrossRef]
- Casciola, M.; Capitani, D.; Comite, A.; Donnadio, A.; Frittella, V.; Pica, M.; Sganappa, M.; Varzi, A. Nafion–Zirconium Phosphate Nanocomposite Membranes with High Filler Loadings: Conductivity and Mechanical Properties. Fuel Cells 2008, 8, 217–224. [Google Scholar] [CrossRef]
- Paul, G.; Steuernagel, S.; Koller, H. Non-Covalent Interactions of a Drug Molecule Encapsulated in a Hybrid Silica Gel. Chem. Commun. 2007, 48, 5194. [Google Scholar] [CrossRef] [PubMed]
- Casciola, M.; Capitani, D.; Donnadio, A.; Munari, G.; Pica, M. Organically Modified Zirconium Phosphate by Reaction with 1,2-Epoxydodecane as Host Material for Polymer Intercalation: Synthesis and Physicochemical Characterization. Inorg. Chem. 2010, 49, 3329–3336. [Google Scholar] [CrossRef] [PubMed]
- Yongabi, D.; Mehran Khorshid, M.; Gennaro, A.; Duwé, S.J.S.; Deschaume, O.; Losada-Pérez, P.; Dedecker, P.; Bartic, C.; Wübbenhorst, M.; Wagner, P. QCM-D Study of Time-Resolved Cell Adhesion and Detachment: Effect of Surface Free Energy on Eukaryotes and Prokaryotes. ACS Appl. Mater. Interfaces 2020, 12, 18258–18272. [Google Scholar] [CrossRef] [PubMed]












| Sample | P/Zr Molar Ratio (a) | Aphosphate/ Aphosphonate (b) | Rs |
|---|---|---|---|
| γZP05 | 2.20 | 1/0.39 | 0.31 |
| γZP1 | 2.24 | 1/0.43 | 0.34 |
| αZP05 | 2.22 | 1/0.77 | 0.48 |
| αZP1 | 2.46 | 1/2.37 | 0.86 |
| αZP2 | 2.52 | 1/3.76 | 1 |
Disclaimer/Publisher’s Note: The statements, opinions and data contained in all publications are solely those of the individual author(s) and contributor(s) and not of MDPI and/or the editor(s). MDPI and/or the editor(s) disclaim responsibility for any injury to people or property resulting from any ideas, methods, instructions or products referred to in the content. |
© 2023 by the authors. Licensee MDPI, Basel, Switzerland. This article is an open access article distributed under the terms and conditions of the Creative Commons Attribution (CC BY) license (https://creativecommons.org/licenses/by/4.0/).
Share and Cite
Donnadio, A.; Paul, G.; Barbalinardo, M.; Ambrogi, V.; Pettinacci, G.; Posati, T.; Bisio, C.; Vivani, R.; Nocchetti, M. Immobilization of Alendronate on Zirconium Phosphate Nanoplatelets. Nanomaterials 2023, 13, 742. https://doi.org/10.3390/nano13040742
Donnadio A, Paul G, Barbalinardo M, Ambrogi V, Pettinacci G, Posati T, Bisio C, Vivani R, Nocchetti M. Immobilization of Alendronate on Zirconium Phosphate Nanoplatelets. Nanomaterials. 2023; 13(4):742. https://doi.org/10.3390/nano13040742
Chicago/Turabian StyleDonnadio, Anna, Geo Paul, Marianna Barbalinardo, Valeria Ambrogi, Gabriele Pettinacci, Tamara Posati, Chiara Bisio, Riccardo Vivani, and Morena Nocchetti. 2023. "Immobilization of Alendronate on Zirconium Phosphate Nanoplatelets" Nanomaterials 13, no. 4: 742. https://doi.org/10.3390/nano13040742
APA StyleDonnadio, A., Paul, G., Barbalinardo, M., Ambrogi, V., Pettinacci, G., Posati, T., Bisio, C., Vivani, R., & Nocchetti, M. (2023). Immobilization of Alendronate on Zirconium Phosphate Nanoplatelets. Nanomaterials, 13(4), 742. https://doi.org/10.3390/nano13040742

