Full-Space Wavefront Shaping of Broadband Vortex Beam with Switchable Terahertz Metasurface Based on Vanadium Dioxide
Abstract
:1. Introduction
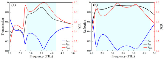
2. Design and Simulation of Metasurface Unit Cells
3. Result and Discussions
3.1. Deflected Vortex Beams in Full-Space
3.2. Focused Vortex Beams in Full-Space
3.3. Non-Diffraction Vortex Beams in Full-Space
3.4. Divergence Characteristics of Different Types of Vortex Beams
4. Conclusions
Author Contributions
Funding
Data Availability Statement
Conflicts of Interest
References
- Yin, X.; Zhao, Z.; Hao, P.; Li, J. Spin-orbit interactions of a circularly polarized vortex beam in paraxial propagation. Opt. Express 2023, 31, 1832–1843. [Google Scholar] [CrossRef] [PubMed]
- Bai, X.; Kong, F.; Sun, Y.; Wang, G.; Qian, J.; Li, X.; Cao, A.; He, C.; Liang, X.; Jin, R.; et al. High-efficiency transmissive programmable metasurface for multimode OAM generation. Adv. Opt. Mater. 2020, 8, 2000570. [Google Scholar] [CrossRef]
- Kotlyar, V.V.; Kovalev, A.A.; Telegin, A.M. Angular and Orbital Angular Momenta in the Tight Focus of a Circularly Polarized Optical Vortex. Photonics 2023, 10, 160. [Google Scholar] [CrossRef]
- BLiu, B.; He, Y.; Wong, S.; Li, Y. Multifunctional Vortex Beam Generation by a Dynamic Reflective Metasurface. Adv. Opt. Mater. 2020, 9, 2001689. [Google Scholar]
- Liu, T.H.; Li, W.H.; Meng, Y.Y.; Ma, H.; Tang, W.X.; Li, G.Q.; Shi, H.Y.; Sui, S.; Wang, J.F.; Qu, S.B. Six-Mode Orbital Angular Momentum Generator Enabled by Helicity-Assisted Full-Space Metasurface with Flexible Manipulation of Phase, Polarization, and Spatial Information. Adv. Opt. Mater. 2022, 10, 2102638. [Google Scholar] [CrossRef]
- Shi, H.Y.; Wang, L.Y.; Li, G.Q.; Yi, J.J.; Liu, H.W.; Zhang, A.X.; Xu, Z. Guided-Wave Inspired Metasurfaces for Multifunctional Vortex Beam Generation and Manipulation. J. Light. Technol. 2023, 41, 2094. [Google Scholar] [CrossRef]
- Mahmouli, F.E.; Walker, S.D. 4-Gbps uncompressed video transmission over a 60-GHz orbital angular momentum wireless channel. IEEE Wirel. Commun. Lett. 2013, 2, 223–226. [Google Scholar] [CrossRef]
- Lee, D.; Sasaki, H.; Fukumoto, H.; Yagi, Y.; Shimizu, T. An evaluation of orbital angular momentum multiplexing technology. Appl. Sci. 2019, 9, 1729. [Google Scholar] [CrossRef]
- Li, W.W.; Zhang, L.C.; Zhu, J.B.; Tao, Z.; Liu, Q.H. Constructing dual-frequency OAM circular patch antenna using characteristic mode theory. J. Appl. Phys. 2019, 126, 064501. [Google Scholar] [CrossRef]
- Zhang, C.B.; Wang, G.M.; Xu, H.X.; Zhang, X.; Li, H.P. Helicity-Dependent Multifunctional Metasurfaces for Full-Space Wave Control, Adv. Opt. Mater. 2020, 8, 1901719. [Google Scholar] [CrossRef]
- Liu, J.Y.; Fan, F.; Tan, Z.Y.; Zhao, H.J.; Cheng, J.R.; Chang, S.J. Active Terahertz-Beam Deflection in a Double-Sided All-Dielectric Metadevice Modulated by both Polarization Rotation and Optical Pumping. Phys. Rev. Appl. 2023, 19, 054086. [Google Scholar] [CrossRef]
- Chen, B.W.; Wang, X.R.; Li, W.L.; Li, C.; Wang, Z.S.; Guo, H.B.; Wu, J.B.; Fan, K.B.; Zhang, C.H.; He, Y.B.; et al. Electrically addressable integrated intelligent terahertz metasurface. Sci. Adv. 2022, 8, eadd1296. [Google Scholar] [CrossRef] [PubMed]
- Lu, H.; Zheng, B.; Cai, T.; Qian, C.; Yang, Y.H.; Wang, Z.J.; Chen, H.S. Frequency-Controlled Focusing Using Achromatic Metasurface, Adv. Opt. Mater. 2020, 9, 2001311. [Google Scholar] [CrossRef]
- Lu, H.; Zhao, J.W.; Zheng, B.; Qian, C.; Cai, T.; Li, E.P.; Chen, H.S. Eye accommodation-inspired neuro metasurface focusing. Nat. Commun. 2023, 14, 3301. [Google Scholar] [CrossRef] [PubMed]
- Martins, R.J.; Marinov, E.; Youssef, M.A.B.; Kyrou, C.; Joubert, M.; Colmagro, C.; Gâté, V.; Turbil, C.; Coulon, P.M.; Turover, D.; et al. Metasurface-enhanced light detection and ranging technology. Nat. Commun. 2022, 13, 5724. [Google Scholar] [CrossRef] [PubMed]
- So, S.; Kim, J.; Badloe, T.; Lee, C.; Yang, Y.; Kang, H.; Rho, J. Multicolor and 3D Holography Generated by Inverse-Designed Single-Cell Metasurfaces. Adv. Mater. 2023, 35, 2208520. [Google Scholar] [CrossRef]
- Yang, J.; Zhao, R.; Li, Y.; Xiong, H.; Li, Y.; Li, X.; Li, J.; Wang, Y.; Huang, L. Generation of the Bessel Beam of Longitudinally Varied Polarization with Dielectric Metasurfaces, Adv. Opt. Mater. 2023, 11, 2202896. [Google Scholar] [CrossRef]
- Feng, R.; Ratni, B.; Yi, J.J.; Jiang, Z.H.; Zhang, H.L.; Lustrac, A.D.; Burokur, S.N. Flexible Manipulation of Bessel-Like Beams with a Reconfigurable Metasurface, Adv. Opt. Mater. 2020, 8, 2001084. [Google Scholar] [CrossRef]
- Bao, Y.J.; Ni, J.C.; Qiu, C.W. A Minimalist Single-Layer Metasurface for Arbitrary and Full Control of Vector Vortex Beams. Adv. Mater. 2019, 32, e1905659. [Google Scholar] [CrossRef]
- Wang, H.G.; Song, Q.Y.; Cai, Y.; Lin, Q.G.; Lu, X.W.; Shangguan, H.C.; Ai, Y.X.; Xu, S.X. Recent advances in generation of terahertz vortex beams and their applications. Chin. Phys. B 2020, 29, 097404. [Google Scholar] [CrossRef]
- He, J.W.; Wang, X.K.; Hu, D.; Ye, J.S.; Feng, S.F.; Kan, Q.; Zhang, Y. Generation and evolution of the terahertz vortex beam. Opt. Express 2013, 21, 20230–20239. [Google Scholar] [CrossRef] [PubMed]
- Dharmavarapu, R.; Izumi, K.; Katayama, I.; Ng, S.H.; Vongsvivut, J.; Tobin, M.J.; Kuchmizhak, A.; Nishijima, Y.; Bhattacharya, S.; Juodkazis, S. Dielectric cross-shaped-resonator-based metasurface for vortex beam generation at mid-IR and THz wavelengths. Nanophotonics 2019, 8, 1263–1270. [Google Scholar] [CrossRef]
- Nie, R.X.; He, C.H.; Zhang, R.X.; Song, Z.Y. Vanadium dioxide-based terahertz metasurfaces for manipulating wavefronts with switchable polarization. Opt. Laser Technol. 2023, 159, 109010. [Google Scholar] [CrossRef]
- Ding, F.; Chen, Y.T.; Bozhevolnyi, S.I. Focused vortex-beam generation using gap-surface plasmon metasurfaces. Nanophotonics 2020, 9, 371–378. [Google Scholar] [CrossRef]
- Wu, X.D.; CAO, H.L.; Peng, J.H.; Meng, Z.Y. Terahertz quasi non-diffraction Bessel vortex beam generation using three lattice types reflective metasurface. Opt. Express 2022, 30, 31653. [Google Scholar] [CrossRef] [PubMed]
- Akram, M.R.; Mehmood, M.Q.; Bai, X.; Jin, R.; Premaratne, M.; Zhu, W. Premaratne, and W. R. Zhu, High Efficiency Ultrathin Transmissive Metasurfaces. Adv. Opt. Mater. 2019, 7, 1801628. [Google Scholar] [CrossRef]
- Kaur, S.; Karmakar, S.; Jana, A.; Rane, S.; Varshney, R.K.; Chowdhury, D.R. Hybrid resonant cavities: A route towards phase engineered THz metasurfaces. iScience 2022, 25, 104024. [Google Scholar] [CrossRef]
- Liu, X.; Li, S.; He, C.; Li, Z.; Huang, G.; Cao, X. Multiple Orbital Angular Momentum Beams withHigh-Purity of Transmission-Coding Metasurface. Adv. Theory Simul. 2023, 6, 2200842. [Google Scholar] [CrossRef]
- Huang, Y.; Kaj, K.; Chen, C.; Yang, Z.; Averitt, R.D.; Zhang, X. Tunable Bound States in the Continuum in a Reconfigurable Terahertz Metamaterial. Adv. Opt. Mater. 2023, 11, 2300559. [Google Scholar] [CrossRef]
- Wang, L.; Li, Q.; Fu, Q.; Ding, X.; Wang, Y.; Zhu, W. Optically Reconfigurable THz Metamaterial with Switchable Wideband Absorption and Transmission. Photonics 2023, 10, 1253. [Google Scholar] [CrossRef]
- Fu, Y.; Song, Z.; Jiang, M.; Ma, H.; Lopez, R.; Wang, J.; Li, Y.; Zhang, X. Plasmonic hot-electron injection driving ultrafast phase transition in self-supported VO2 films for all-optical modulation. ACS Photonics 2022, 9, 3950–3957. [Google Scholar] [CrossRef]
- Xu, C.; Jin, C.; Chen, Z.; Lu, Q.; Cheng, Y.; Zhang, B.; Qi, F.; Chen, J.; Yin, X.; Wang, G.; et al. Transient dynamics of the phase transition in VO2 revealed by mega-electron-volt ultrafast electron diffraction. Nat. Commun. 2023, 14, 1265. [Google Scholar] [CrossRef] [PubMed]
- Johnson, A.S.; Perez-Salinas, D.; Siddiqui, K.M.; Kim, S.; Choi, S.; Volckaert, K.; Majchrzak, P.E.; Ulstrup, S.; Agarwal, N.; Hallman, K.; et al. Ultrafast X-ray imaging of the light-induced phase transition in VO2. Nat. Phys. 2023, 19, 215–220. [Google Scholar] [CrossRef]
- Ma, T.; Liu, G.; Su, L.; Sun, B.; Ma, L.; Liu, H. Thermo-optical and electro-optical tunable dual-band THz absorber based on multi-layer hybrid VO2 phase transition metamateria. Opt. Commun. 2023, 549, 129906. [Google Scholar] [CrossRef]
- Fan, F.; Hou, Y.; Jiang, Z.W.; Wang, X.H.; Chang, S.J. Terahertz modulator based on insulator-metal transition in photonic crystal waveguide. Appl. Opt. 2012, 51, 4589–4596. [Google Scholar] [CrossRef] [PubMed]
- Chen, M.; Yang, X.X. Polarization-insensitive electromagnetically induced transparency and its sensing performance based on spoof localized surface plasmons in vanadium dioxide-based terahertz metasurfaces. Phys. Chem. Chem. Phys. 2023, 25, 21074–21081. [Google Scholar] [CrossRef] [PubMed]
- Liu, H.; Wang, Z.; Li, L.; Fan, Y.; Tao, Z. Vanadium dioxide-assisted broadband tunable terahertz metamaterial absorber. Sci. Rep. 2019, 9, 5751. [Google Scholar] [CrossRef]
- Ge, J.H.; Zhang, Y.Q.; Dong, H.X.; Zhang, L. Nanolayered VO2-Based Switchable Terahertz Metasurfaces as NearPerfect Absorbers and Antireflection Coatings. ACS Appl. Nano Mater. 2022, 5, 5569–5577. [Google Scholar] [CrossRef]
- Wang, D.J.; He, X.J.; Yang, B.W.; Jiang, J.X.; Yao, Y.T.; Lv, G.J. Active wavefronts control with graphene-functionalized terahertz Metasurfaces. Diam. Relat. Mater. 2022, 124, 108919. [Google Scholar] [CrossRef]
- Zhu, H.; Yu, M.; Zhou, Y.; Wang, G.; Di, Y.; Wang, K.; Liu, L.; Xie, S. Transmission and reflection bidirectional terahertz coding metasurface based on thermally switchable materials. Opt. Commun. 2024, 550, 129855. [Google Scholar] [CrossRef]
- Xin, M.; Xie, R.; Zhai, G.; Gao, J.; Zhang, D.; Wang, X.; An, S.; Zheng, B.; Zhang, H.; Ding, J. Full control of dual-band vortex beams using a high-efficiency single-layer bi-spectral 2-bit coding metasurface. Opt. Express 2020, 28, 17374–17383. [Google Scholar] [CrossRef] [PubMed]
- Rouhi, K.; Rajabalipanah, H.; Abdolali, A. Multi-bit graphene-based bias-encoded metasurfaces for real-time terahertz wavefront shaping: From controllable orbital angular momentum generation toward arbitrary beam tailoring. Carbon 2019, 149, 125–138. [Google Scholar] [CrossRef]
- Yang, Q.L.; Wang, Y.; Liang, L.J.; Yang, M.S. Broadband transparent terahertz vortex beam generator based on thermally tunable geometric metasurface. Opt. Mater. 2021, 121, 111574. [Google Scholar] [CrossRef]
- Liang, S. Reconfigurable metasurface for generating flexibly tunable focusing Vortex Beams. Phys. Lett. A 2023, 460, 128613. [Google Scholar] [CrossRef]
- Ma, X.; Pu, M.; Li, X.; Huang, C.; Wang, Y.; Pan, W.; Zhao, B.; Cui, J.; Wang, C.; Zhao, Z.; et al. A planar chiral meta-surface for optical vortex generation and focusing. Sci. Rep. 2015, 5, 10365. [Google Scholar] [CrossRef]
- Zhang, K.; Yuan, Y.Y.; Zhang, D.W.; Ding, X.M.; Ratni, B.; Burokur, S.N.; Lu, M.J.; Tang, K.; Wu, Q. Phase-engineered metalenses to generate converging and non-diffractive vortex beam carrying orbital angular momentum in microwave region. Opt. Express 2018, 26, 1351. [Google Scholar] [CrossRef]













Disclaimer/Publisher’s Note: The statements, opinions and data contained in all publications are solely those of the individual author(s) and contributor(s) and not of MDPI and/or the editor(s). MDPI and/or the editor(s) disclaim responsibility for any injury to people or property resulting from any ideas, methods, instructions or products referred to in the content. |
© 2023 by the authors. Licensee MDPI, Basel, Switzerland. This article is an open access article distributed under the terms and conditions of the Creative Commons Attribution (CC BY) license (https://creativecommons.org/licenses/by/4.0/).
Share and Cite
Li, X.; Zhang, Y.; Jiang, J.; Yao, Y.; He, X. Full-Space Wavefront Shaping of Broadband Vortex Beam with Switchable Terahertz Metasurface Based on Vanadium Dioxide. Nanomaterials 2023, 13, 3023. https://doi.org/10.3390/nano13233023
Li X, Zhang Y, Jiang J, Yao Y, He X. Full-Space Wavefront Shaping of Broadband Vortex Beam with Switchable Terahertz Metasurface Based on Vanadium Dioxide. Nanomaterials. 2023; 13(23):3023. https://doi.org/10.3390/nano13233023
Chicago/Turabian StyleLi, Xueying, Ying Zhang, Jiuxing Jiang, Yongtao Yao, and Xunjun He. 2023. "Full-Space Wavefront Shaping of Broadband Vortex Beam with Switchable Terahertz Metasurface Based on Vanadium Dioxide" Nanomaterials 13, no. 23: 3023. https://doi.org/10.3390/nano13233023
APA StyleLi, X., Zhang, Y., Jiang, J., Yao, Y., & He, X. (2023). Full-Space Wavefront Shaping of Broadband Vortex Beam with Switchable Terahertz Metasurface Based on Vanadium Dioxide. Nanomaterials, 13(23), 3023. https://doi.org/10.3390/nano13233023

