Multilayer Epitaxial Heterostructures with Multi-Component III–V:Fe Magnetic Semiconductors
Abstract
:1. Introduction
2. Materials and Methods
3. Results
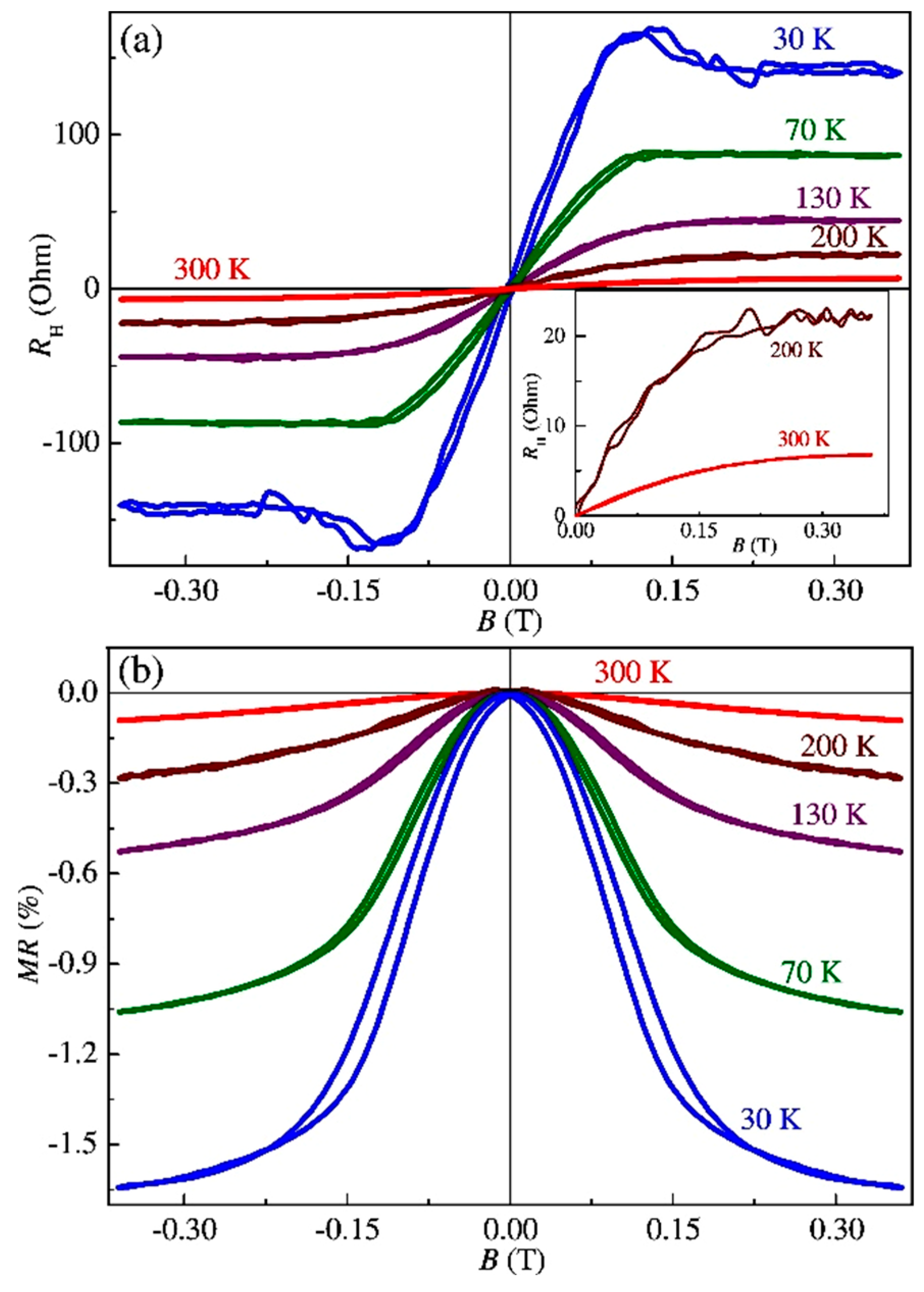
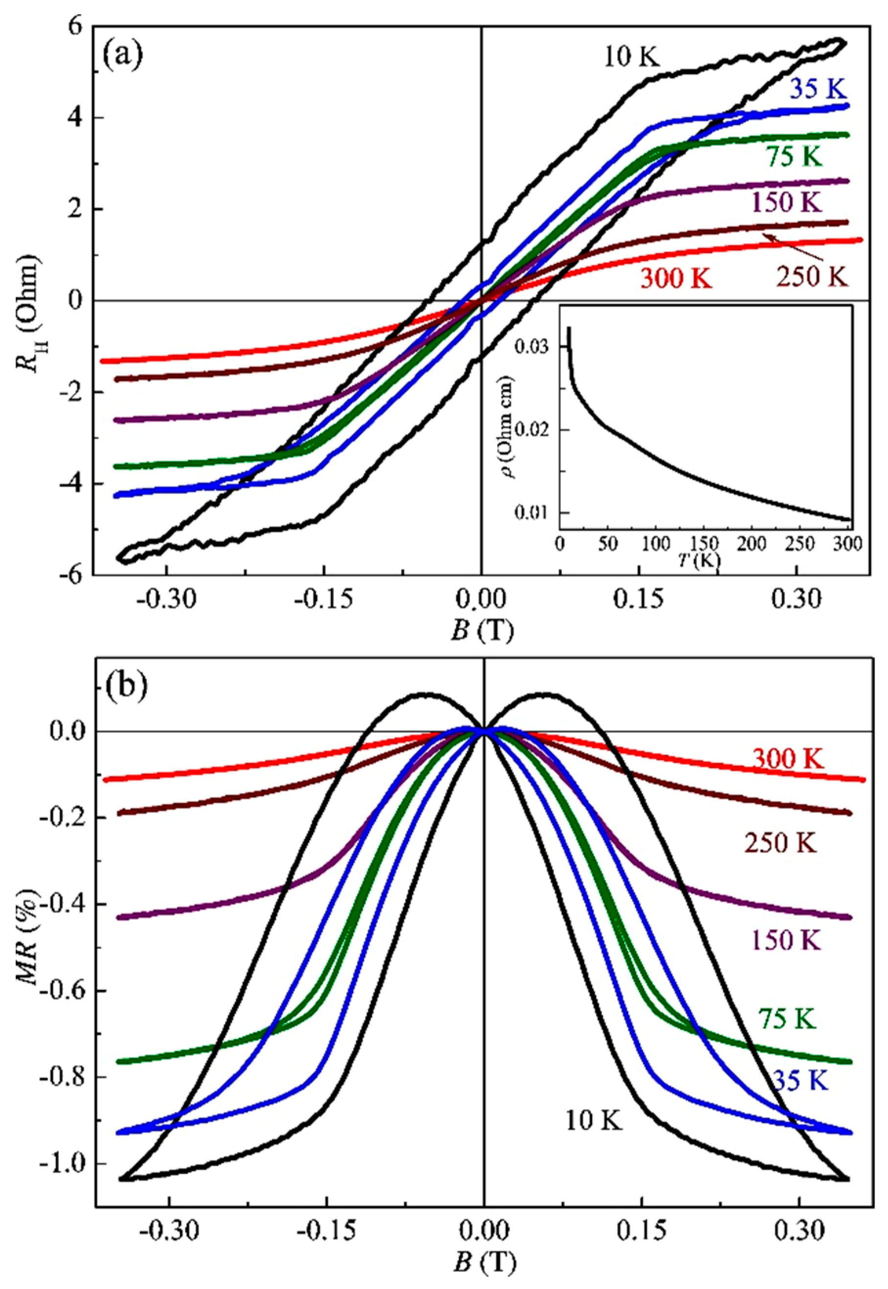
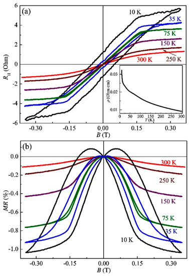
3.1. Three-Layer Structures
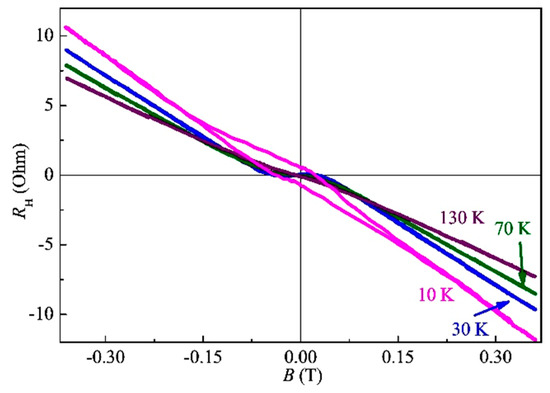
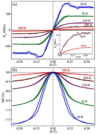
3.2. InAsSb:Fe/GaAs and InGaSb:Fe/GaAs Structures
4. Conclusions
Author Contributions
Funding
Data Availability Statement
Conflicts of Interest
References
- Chen, L.; Yang, X.; Yang, F.; Zhao, J.; Misuraca, J.; Xiong, P.; von Molnar, S. Enhancing the Curie Temperature of Ferromagnetic Semiconductor (Ga,Mn)As to 200 K via Nanostructure Engineering. Nano Lett. 2011, 11, 2584–2589. [Google Scholar] [CrossRef] [PubMed]
- Tanaka, M. Recent progress in ferromagnetic semiconductors and spintronics devices. Jpn. J. Appl. Phys. 2021, 60, 010101. [Google Scholar] [CrossRef]
- Hai, P.N.; Anh, L.D.; Mohan, S.; Tamegai, T.; Kodzuka, M.; Ohkubo, T.; Hono, K.; Tanaka, M. Growth and characterization of n-type electron-induced ferromagnetic semiconductor (In,Fe)As. Appl. Phys. Lett. 2012, 101, 182403. [Google Scholar] [CrossRef]
- Tu, N.T.; Hai, P.N.; Anh, L.D.; Tanaka, M. High-temperature ferromagnetism in heavily Fe-doped ferromagnetic semiconductor (Ga,Fe)Sb. Appl. Phys. Lett. 2016, 108, 192401. [Google Scholar] [CrossRef]
- Danilov, Y.A.; Kudrin, A.V.; Lesnikov, V.P.; Vikhrova, O.V.; Kryukov, R.N.; Antonov, I.N.; Tolkachev, D.S.; Alaferdov, A.V.; Kun’kova, Z.E.; Temiryazev, M.P.; et al. The Study of Features of Formation and Properties of A3B5 Semiconductors Highly Doped with Iron. Phys. Solid State 2018, 60, 2178–2181. [Google Scholar] [CrossRef]
- Kudrin, A.V.; Danilov, Y.A.; Lesnikov, V.P.; Dorokhin, M.V.; Vikhrova, O.V.; Pavlov, D.A.; Usov, Y.V.; Antonov, I.N.; Kriukov, R.N.; Alaferdov, A.V.; et al. High-temperature intrinsic ferromagnetism in the (In,Fe)Sb semiconductor. J. Appl. Phys. 2017, 122, 183901. [Google Scholar] [CrossRef]
- Tu, N.T.; Hai, P.N.; Anh, L.D.; Tanaka, M. High-temperature ferromagnetism in new n-type Fe-doped ferromagnetic semiconductor (In,Fe)Sb. Appl. Phys. Express 2018, 11, 063005. [Google Scholar] [CrossRef]
- Kudrin, A.V.; Lesnikov, V.P.; Danilov, Y.A.; Dorokhin, M.V.; Vikhrova, O.V.; Demina, P.B.; Pavlov, D.A.; Usov, Y.V.; Milin, V.E.; Kuznetsov, Y.M.; et al. High-temperature intrinsic ferromagnetism in heavily Fe-doped GaAs layers. Semicond. Sci. Technol. 2020, 35, 125032. [Google Scholar] [CrossRef]
- Anh, L.D.; Kaneko, D.; Hai, P.N.; Tanaka, M. Growth and characterization of insulating ferromagnetic semiconductor (Al,Fe)Sb. Appl. Phys. Lett. 2015, 107, 232405. [Google Scholar] [CrossRef]
- Kudrin, A.V.; Lesnikov, V.P.; Pavlov, D.A.; Usov, Y.V.; Danilov, Y.A.; Dorokhin, M.V.; Vikhrova, O.V.; Milin, V.E.; Kriukov, R.N.; Kuznetsov, Y.M.; et al. Formation of epitaxial p-i-n structures on the basis of (In,Fe)Sb and (Ga,Fe)Sb diluted magnetic semiconductors layers. J. Magn. Magn. Mater. 2019, 487, 165321. [Google Scholar] [CrossRef]
- Tu, N.T.; Otsuka, T.; Arakawa, Y.; Anh, L.D.; Tanaka, M.; Hai, P.N. Spin transport in fully ferromagnetic p–n junctions. J. Appl. Phys. 2022, 131, 013902. [Google Scholar] [CrossRef]
- Hotta, T.; Takase, K.; Takiguchi, K.; Sriharsha, K.; Anh, L.D.; Tanaka, M. Growth and characterization of quaternary-alloy ferromagnetic semiconductor (In,Ga,Fe)Sb. AIP Adv. 2022, 12, 015307. [Google Scholar] [CrossRef]
- Briggs, D.; Seah, M.P. (Eds.) Practical Surface Analysis by Auger and X-ray Photoelectron Spectroscopy, 2nd ed.; John Wiley: New York, NY, USA, 1990. [Google Scholar]
- Kudrin, A.V.; Lesnikov, V.P.; Danilov, Y.A.; Dorokhin, M.V.; Vikhrova, O.V.; Pavlov, D.A.; Usov, Y.V.; Antonov, I.N.; Kriukov, R.N.; Zubkov, S.Y.; et al. Robustness of ferromagnetism in (In,Fe)Sb diluted magnetic semiconductor to variation of charge carrier concentration. J. Magn. Magn. Mater. 2019, 485, 236–243. [Google Scholar] [CrossRef]
- Tu, N.T.; Hai, P.N.; Anh, L.D.; Tanaka, M. Magnetic properties and intrinsic ferromagnetism in (Ga,Fe)Sb ferromagnetic semiconductors. Phys. Rev. B 2015, 92, 144403. [Google Scholar] [CrossRef]













| Sample | Structure |
|---|---|
| M1 | (InAs0.8Sb0.2)0.83Fe0.17/GaAs/(InAs0.5Sb0.5)0.83Fe0.17/i-GaAs substrate |
| M2 | (In0.2Ga0.8Sb)0.8Fe0.2/GaAs/(InAs0.5Sb0.5)0.83Fe0.17/i-GaAs substrate |
| M3 | (InSb)0.8Fe0.2/GaAs/(In0.2Ga0.8Sb)0.8Fe0.2/i-GaAs substrate |
| Sample | Structure |
|---|---|
| S1 | (InAs0.8Sb0.2)0.83Fe0.17/i-GaAs |
| S2 | (InAs0.5Sb0.5)0.83Fe0.17/i-GaAs |
| S3 | (In0.2Ga0.8Sb)0.8Fe0.2/i-GaAs |
Disclaimer/Publisher’s Note: The statements, opinions and data contained in all publications are solely those of the individual author(s) and contributor(s) and not of MDPI and/or the editor(s). MDPI and/or the editor(s) disclaim responsibility for any injury to people or property resulting from any ideas, methods, instructions or products referred to in the content. |
© 2023 by the authors. Licensee MDPI, Basel, Switzerland. This article is an open access article distributed under the terms and conditions of the Creative Commons Attribution (CC BY) license (https://creativecommons.org/licenses/by/4.0/).
Share and Cite
Kudrin, A.V.; Lesnikov, V.P.; Kriukov, R.N.; Danilov, Y.A.; Dorokhin, M.V.; Yakovleva, A.A.; Tabachkova, N.Y.; Sobolev, N.A. Multilayer Epitaxial Heterostructures with Multi-Component III–V:Fe Magnetic Semiconductors. Nanomaterials 2023, 13, 2435. https://doi.org/10.3390/nano13172435
Kudrin AV, Lesnikov VP, Kriukov RN, Danilov YA, Dorokhin MV, Yakovleva AA, Tabachkova NY, Sobolev NA. Multilayer Epitaxial Heterostructures with Multi-Component III–V:Fe Magnetic Semiconductors. Nanomaterials. 2023; 13(17):2435. https://doi.org/10.3390/nano13172435
Chicago/Turabian StyleKudrin, Alexey V., Valeri P. Lesnikov, Ruslan N. Kriukov, Yuri A. Danilov, Mikhail V. Dorokhin, Anastasia A. Yakovleva, Nataliya Yu. Tabachkova, and Nikolai A. Sobolev. 2023. "Multilayer Epitaxial Heterostructures with Multi-Component III–V:Fe Magnetic Semiconductors" Nanomaterials 13, no. 17: 2435. https://doi.org/10.3390/nano13172435
APA StyleKudrin, A. V., Lesnikov, V. P., Kriukov, R. N., Danilov, Y. A., Dorokhin, M. V., Yakovleva, A. A., Tabachkova, N. Y., & Sobolev, N. A. (2023). Multilayer Epitaxial Heterostructures with Multi-Component III–V:Fe Magnetic Semiconductors. Nanomaterials, 13(17), 2435. https://doi.org/10.3390/nano13172435

