Electrostatic Tuning of Bilayer Graphene Edge Modes
Abstract
1. Introduction
2. Theoretical Model
3. Results and Discussion
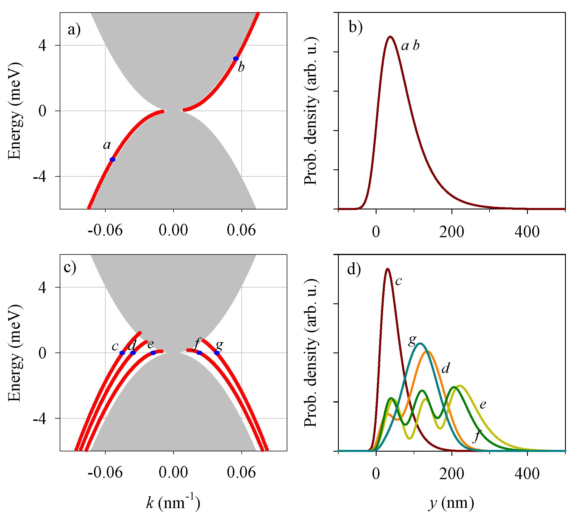
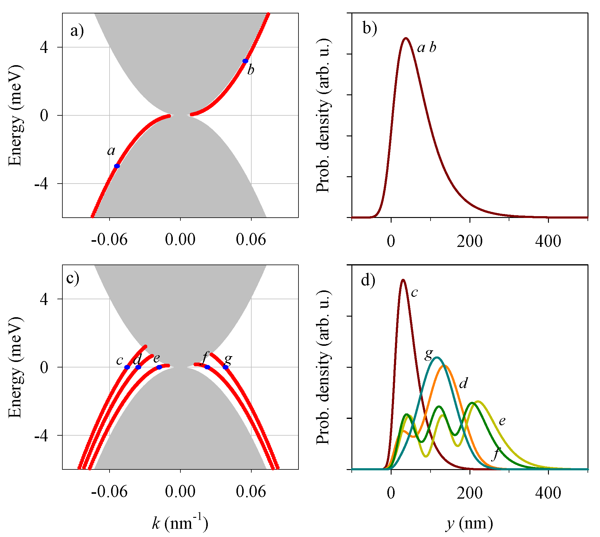
3.1. Single Edge
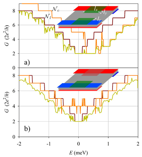
3.2. Quantum Wire Junctions
3.3. Further Discussion
4. Conclusions
5. Methods
Author Contributions
Funding
Data Availability Statement
Conflicts of Interest
Appendix A. Bulk Continuum
References
- McCann, E.; Koshino, M. The electronic properties of bilayer graphene. Rep. Prog. Phys. 2013, 76, 056503. [Google Scholar] [CrossRef]
- Zhang, F.; MacDonald, A.H.; Mele, E.J. Valley Chern numbers and boundary modes in gapped bilayer graphene. Proc. Natl. Acad. Sci. USA 2013, 110, 10546–10551. [Google Scholar] [CrossRef]
- Rozhkov, A.; Sboychakov, A.; Rakhmanov, A.; Nori, F. Electronic properties of graphene-based bilayer systems. Phys. Rep. 2016, 648, 1–104. [Google Scholar] [CrossRef]
- Overweg, H.; Knothe, A.; Fabian, T.; Linhart, L.; Rickhaus, P.; Wernli, L.; Watanabe, K.; Taniguchi, T.; Sánchez, D.; Burgdörfer, J.; et al. Topologically Nontrivial Valley States in Bilayer Graphene Quantum Point Contacts. Phys. Rev. Lett. 2018, 121, 257702. [Google Scholar] [CrossRef]
- Kraft, R.; Krainov, I.V.; Gall, V.; Dmitriev, A.P.; Krupke, R.; Gornyi, I.V.; Danneau, R. Valley Subband Splitting in Bilayer Graphene Quantum Point Contacts. Phys. Rev. Lett. 2018, 121, 257703. [Google Scholar] [CrossRef]
- Eich, M.; Herman, F.; Pisoni, R.; Overweg, H.; Kurzmann, A.; Lee, Y.; Rickhaus, P.; Watanabe, K.; Taniguchi, T.; Sigrist, M.; et al. Spin and Valley States in Gate-Defined Bilayer Graphene Quantum Dots. Phys. Rev. X 2018, 8, 031023. [Google Scholar] [CrossRef]
- Kurzmann, A.; Overweg, H.; Eich, M.; Pally, A.; Rickhaus, P.; Pisoni, R.; Lee, Y.; Watanabe, K.; Taniguchi, T.; Ihn, T.; et al. Charge Detection in Gate-Defined Bilayer Graphene Quantum Dots. Nano Lett. 2019, 19, 5216–5221. [Google Scholar] [CrossRef]
- Banszerus, L.; Rothstein, A.; Fabian, T.; Möller, S.; Icking, E.; Trellenkamp, S.; Lentz, F.; Neumaier, D.; Watanabe, K.; Taniguchi, T.; et al. Electron Hole Crossover in Gate-Controlled Bilayer Graphene Quantum Dots. Nano Lett. 2020, 20, 7709–7715. [Google Scholar] [CrossRef]
- Banszerus, L.; Hecker, K.; Icking, E.; Trellenkamp, S.; Lentz, F.; Neumaier, D.; Watanabe, K.; Taniguchi, T.; Volk, C.; Stampfer, C. Pulsed-gate spectroscopy of single-electron spin states in bilayer graphene quantum dots. Phys. Rev. B 2021, 103, L081404. [Google Scholar] [CrossRef]
- Banszerus, L.; Möller, S.; Hecker, K.; Icking, E.; Watanabe, K.; Taniguchi, T.; Hassler, F.; Volk, C.; Stampfer, C. Particle–hole symmetry protects spin-valley blockade in graphene quantum dots. Nature 2023, 618, 51–56. [Google Scholar] [CrossRef] [PubMed]
- Meng, L.; Chu, Z.D.; Zhang, Y.; Yang, J.Y.; Dou, R.F.; Nie, J.C.; He, L. Enhanced intervalley scattering of twisted bilayer graphene by periodic AB stacked atoms. Phys. Rev. B 2012, 85, 235453. [Google Scholar] [CrossRef]
- Clericò, V.; Delgado-Notario, J.A.; Saiz-Bretín, M.; Malyshev, A.V.; Meziani, Y.M.; Hidalgo, P.; Méndez, B.; Amado, M.; Domínguez-Adame, F.; Diez, E. Quantum nanoconstrictions fabricated by cryo-etching in encapsulated graphene. Sci. Rep. 2019, 9, 13572. [Google Scholar] [CrossRef] [PubMed]
- Jin, S.; Zong, J.; Chen, W.; Tian, Q.; Qiu, X.; Liu, G.; Zheng, H.; Xi, X.; Gao, L.; Wang, C.; et al. Epitaxial Growth of Uniform Single-Layer and Bilayer Graphene with Assistance of Nitrogen Plasma. Nanomaterials 2021, 11, 3217. [Google Scholar] [CrossRef]
- Castro, E.V.; Novoselov, K.S.; Morozov, S.V.; Peres, N.M.R.; dos Santos, J.M.B.L.; Nilsson, J.; Guinea, F.; Geim, A.K.; Neto, A.H.C. Biased Bilayer Graphene: Semiconductor with a Gap Tunable by the Electric Field Effect. Phys. Rev. Lett. 2007, 99, 216802. [Google Scholar] [CrossRef]
- Ju, L.; Shi, Z.; Nair, N.; Lv, Y.; Jin, C.; Velasco, J.; Ojeda-Aristizabal, C.; Bechtel, H.A.; Martin, M.C.; Zettl, A.; et al. Topological valley transport at bilayer graphene domain walls. Nature 2015, 520, 650–655. [Google Scholar] [CrossRef] [PubMed]
- Sui, M.; Chen, G.; Ma, L.; Shan, W.Y.; Tian, D.; Watanabe, K.; Taniguchi, T.; Jin, X.; Yao, W.; Xiao, D.; et al. Gate-tunable topological valley transport in bilayer graphene. Nat. Phys. 2015, 11, 1027–1031. [Google Scholar] [CrossRef]
- Li, J.; Wang, K.; McFaul, K.J.; Zern, Z.; Ren, Y.; Watanabe, K.; Taniguchi, T.; Qiao, Z.; Zhu, J. Gate-controlled topological conducting channels in bilayer graphene. Nat. Nanotechnol. 2016, 11, 1060–1065. [Google Scholar] [CrossRef]
- Chen, H.; Zhou, P.; Liu, J.; Qiao, J.; Oezyilmaz, B.; Martin, J. Gate Controlled Valley Polarizer in Bilayer Graphene. Nat. Commun. 2020, 11, 1202. [Google Scholar] [CrossRef] [PubMed]
- Ryu, S.; López, R.; Serra, L. Conductance of electrostatic wire junctions in bilayer graphene. Phys. Rev. B 2022, 106, 035424. [Google Scholar] [CrossRef]
- Ihn, T. Semiconductor Nanostructures: Quantum States and Electronic Transport; Oxford University Press: Oxford, UK, 2009. [Google Scholar]
- Pereira, J.M.; Vasilopoulos, P.; Peeters, F.M. Tunable Quantum Dots in Bilayer Graphene. Nano Lett. 2007, 7, 946–949. [Google Scholar] [CrossRef]
- Recher, P.; Nilsson, J.; Burkard, G.; Trauzettel, B. Bound states and magnetic field induced valley splitting in gate-tunable graphene quantum dots. Phys. Rev. B 2009, 79, 085407. [Google Scholar] [CrossRef]
- Zarenia, M.; Pereira, J.M.; Peeters, F.M.; Farias, G.A. Electrostatically Confined Quantum Rings in Bilayer Graphene. Nano Lett. 2009, 9, 4088–4092. [Google Scholar] [CrossRef]
- Pereira, J.M.; Peeters, F.M.; Vasilopoulos, P.; Costa Filho, R.N.; Farias, G.A. Landau levels in graphene bilayer quantum dots. Phys. Rev. B 2009, 79, 195403. [Google Scholar] [CrossRef]
- Zarenia, M.; Pereira, J.M.; Chaves, A.; Peeters, F.M.; Farias, G.A. Simplified model for the energy levels of quantum rings in single layer and bilayer graphene. Phys. Rev. B 2010, 81, 045431, Erratum in Phys. Rev. B 2010, 82, 119906. [Google Scholar] [CrossRef]
- da Costa, D.; Zarenia, M.; Chaves, A.; Farias, G.; Peeters, F. Analytical study of the energy levels in bilayer graphene quantum dots. Carbon 2014, 78, 392–400. [Google Scholar] [CrossRef]
- Li, J.; Morpurgo, A.F.; Büttiker, M.; Martin, I. Marginality of bulk-edge correspondence for single-valley Hamiltonians. Phys. Rev. B 2010, 82, 245404. [Google Scholar] [CrossRef]
- Martin, I.; Blanter, Y.M.; Morpurgo, A.F. Topological Confinement in Bilayer Graphene. Phys. Rev. Lett. 2008, 100, 036804. [Google Scholar] [CrossRef]
- Zarenia, M.; Pereira, J.M.; Farias, G.A.; Peeters, F.M. Chiral states in bilayer graphene: Magnetic field dependence and gap opening. Phys. Rev. B 2011, 84, 125451. [Google Scholar] [CrossRef]
- Xavier, L.J.P.; Pereira, J.M.; Chaves, A.; Farias, G.A.; Peeters, F.M. Topological confinement in graphene bilayer quantum rings. Appl. Phys. Lett. 2010, 96, 212108. [Google Scholar] [CrossRef]
- Benchtaber, N.; Sánchez, D.; Serra, L. Scattering of topological kink-antikink states in bilayer graphene structures. Phys. Rev. B 2021, 104, 155303. [Google Scholar] [CrossRef]
- Benchtaber, N.; Sánchez, D.; Serra, L. Geometry effects in topologically confined bilayer graphene loops. New J. Phys. 2021, 24, 013001. [Google Scholar] [CrossRef]
- Osca, J.; Serra, L. Complex band-structure analysis and topological physics of Majorana nanowires. Eur. Phys. J. B 2019, 92, 101. [Google Scholar] [CrossRef]





Disclaimer/Publisher’s Note: The statements, opinions and data contained in all publications are solely those of the individual author(s) and contributor(s) and not of MDPI and/or the editor(s). MDPI and/or the editor(s) disclaim responsibility for any injury to people or property resulting from any ideas, methods, instructions or products referred to in the content. |
© 2023 by the authors. Licensee MDPI, Basel, Switzerland. This article is an open access article distributed under the terms and conditions of the Creative Commons Attribution (CC BY) license (https://creativecommons.org/licenses/by/4.0/).
Share and Cite
Ali, H.; Serra, L. Electrostatic Tuning of Bilayer Graphene Edge Modes. Nanomaterials 2023, 13, 2102. https://doi.org/10.3390/nano13142102
Ali H, Serra L. Electrostatic Tuning of Bilayer Graphene Edge Modes. Nanomaterials. 2023; 13(14):2102. https://doi.org/10.3390/nano13142102
Chicago/Turabian StyleAli, Hira, and Llorenç Serra. 2023. "Electrostatic Tuning of Bilayer Graphene Edge Modes" Nanomaterials 13, no. 14: 2102. https://doi.org/10.3390/nano13142102
APA StyleAli, H., & Serra, L. (2023). Electrostatic Tuning of Bilayer Graphene Edge Modes. Nanomaterials, 13(14), 2102. https://doi.org/10.3390/nano13142102

