Numerical and Thermal Investigation of Magneto-Hydrodynamic Hybrid Nanoparticles (SWCNT-Ag) under Rosseland Radiation: A Prescribed Wall Temperature Case
Abstract
:1. Introduction
2. Statement of Problem
2.1. Flow Governing Equations
2.2. Quantities of Physical Interest
3. Numerical Solution
4. Results and Discussion
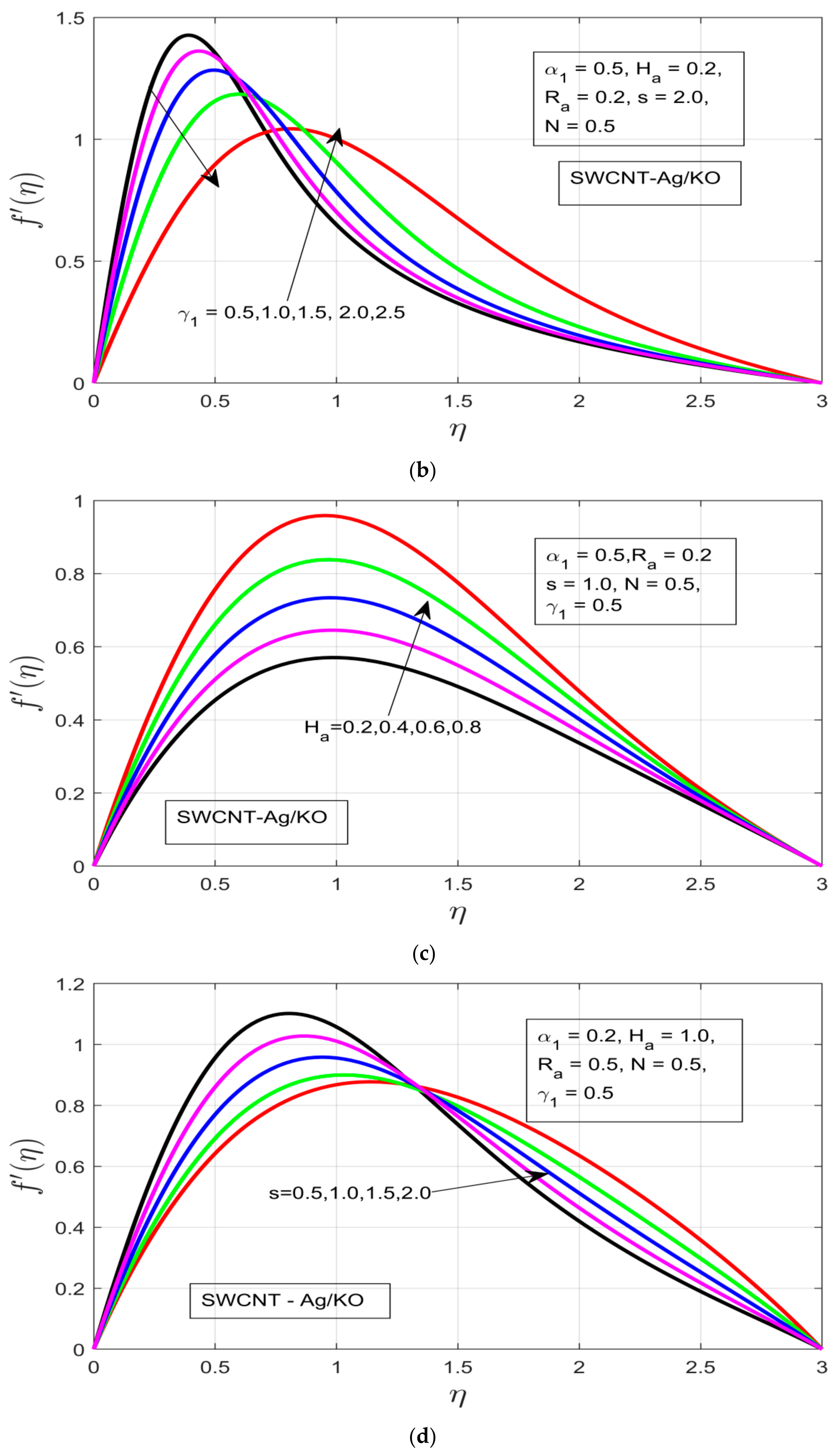
4.1. Velocity Profiles
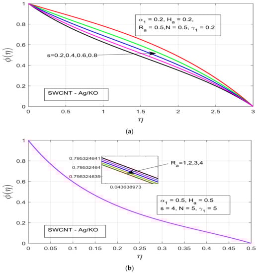
4.2. Temperature and Concentration Profiles
4.3. Skin Friction, Nusselt, and Sherwood Coefficients
4.4. Nephograms of Velocity Profiles and Temperatures
5. Conclusions
- The momentum boundary layer increased for the azimuthal velocity, accelerating the free stream fluid motion in the rotation parameter. The boundary layer declined under high-pressure force due to unsteadiness;
- The thickness of the flow boundary decreased under a positively applied pressure gradient (buoyancy force), expanded under rotation, and the magnetic field influenced the tangential velocity profile;
- Reduced skin friction coefficients for SWCNT-Ag/KO were observed under the increasing influence of different study constraints. These reduced skin rates for hybrid nanofluids were better than those for SWCNT/KO and Ag/KO;
- The mass conveyed with the SWCNT-Ag/KO hybrid nanofluid under the study constraints was high as compared to SWCNT-Ag/H2O. Due to unsteadiness in the flow movement, minimum rates of mass transfer were observed;
- The heat transfer coefficient (Nusselt number) for SWCNT-Ag/KO when compared with another hybrid nanofluid SWCNT-Ag/H2O was found to be considerably higher;
- The analyzed hybrid nanofluid (SWCNT-Ag–kerosene oil) produced minimum skin coefficient values and high thermal heat transfer rates when compared with a recent study for the SWCNT-MWCNT–kerosene oil hybrid nanofluid.
Author Contributions
Funding
Data Availability Statement
Acknowledgments
Conflicts of Interest
Nomenclature
| Magnetic field strength (NmA−1) | Grashof Number for PWT case | ||
| Free stream velocity | Buoyancy parameters for PWT | ||
| Components of velocity in (ms−1) | Angle of rotation | ||
| Temperature, concentration, and mass diffusivity, respectively | The ratio of the Grashof number | ||
| Cone and fluid’s angular velocities, respectively | Reynolds number | ||
| Sum of cone and fluid velocities | Prandtl number | ||
| Volumetric coefficients of temperature and concentration expansion, respectively | Schmidt or Sherwood number | ||
| Unsteadiness in free stream velocity | Hybrid nanofluid density(Kgm−3) | ||
| Prescribed wall temperature | Hybrid nanofluid thermal conductivity(Wm−1K−1) | ||
| Rotational ratio | Hybrid nanofluid heat capacity (Jkg−1 K−1) | ||
| f,g | Velocity profiles | Temperature and concentration profiles | |
| Stefan Boltzmann constant | Heat absorption coefficient | ||
| Rotational ratio | Radiation parameter | ||
| η | Similarity variable | Hybrid nanofluid viscosity (mPa) | |
| Base fluid’s thermal conductivity (Wm−1K−1) | Temperature and concentration of free stream | ||
| Rosseland radiation | PDE’s | Partial differential equations | |
| SWCNT | Single-walled carbon nanotube | KO | Kerosene oil |
| L | Characteristic length | ODE’s | Ordinary differential equations |
| BLA | Boundary layer approximation | BVP | Boundary value problem |
| Ag | Silver nanoparticle | Dynamic viscosity |
References
- Raju, C.S.K.; Sandeep, N. Unsteady Casson nanofluid flow over a rotating cone in a rotating frame filled with ferrous nanoparticles: A numerical study. J. Magn. Magn. Mater. 2017, 421, 216–224. [Google Scholar] [CrossRef]
- Tiwari, A.K.; Kumar, V.; Said, Z.; Paliwal, H. A review on the application of hybrid nanofluids for parabolic trough collector: Recent progress and outlook. J. Clean. Prod. 2021, 292, 126031. [Google Scholar] [CrossRef]
- Shah, T.R.; Ali, H.M. Applications of hybrid nanofluids in solar energy, practical limitations and challenges: A critical review. Sol. Energy 2019, 183, 173–203. [Google Scholar] [CrossRef]
- Tarafdar, A.; Sirohi, R.; Negi, T.; Singh, S.; Badgujar, P.C.; Shahi, N.C.; Pandey, A. Nanofluid research advances Preparation, characteristics, and applications in food processing. Food Res. Int. 2021, 150, 110751. [Google Scholar] [CrossRef]
- Saeed, A.; Khan, N.; Gul, T.; Kumam, W.; Alghamdi, W.; Kumam, P. The Flow of Blood-Based Hybrid Nanofluids with Couple Stresses by the Convergent and Divergent Channel for the Applications of Drug Delivery. Molecules 2021, 26, 6330. [Google Scholar] [CrossRef]
- Anilkumar, D.; Roy, S.J. Unsteady mixed convection flow on a rotating cone in a rotating fluid. Appl. Math. Comput. 2004, 155, 545–561. [Google Scholar] [CrossRef]
- Hussain, A.; Hassan, A.; Al Mdallal, Q.; Ahmad, H.; Rehman, A.; Altanji, M.; Arshad, M. Heat transport investigation of magneto-hydrodynamics (SWCNT-MWCNT) hybrid nanofluid under the thermal radiation regime. Case Stud. Therm. Eng. 2021, 27, 101244. [Google Scholar] [CrossRef]
- Nadeem, S.; Saleem, S. Analytical treatment of unsteady mixed convection MHD flow on a rotating cone in a rotating frame. J. Taiwan Inst. Chem. Eng. 2013, 44, 596–604. [Google Scholar] [CrossRef]
- Hanif, H.; Khan, I.; Shafie, S. A novel study on a hybrid model of radiative Cu–Fe3O4/water nanofluid over a cone with PHF/PWT. Eur. Phys. J. Spec. Top. 2021, 230, 1257–1271. [Google Scholar] [CrossRef]
- Rajeswari, V.; Nath, G. Unsteady flow over a stretching surface in a rotating fluid. Int. J. Eng. Sci. 1992, 30, 747–756. [Google Scholar] [CrossRef]
- Nadeem, S.; Saleem, S. Unsteady Mixed Convection Flow of a Rotating Second-Grade Fluid on a Rotating Cone. Heat Transf—Asian Res. 2013, 43, 204–220. [Google Scholar] [CrossRef]
- Hussain, A.; Haider, Q.; Rehman, A.; Ahmad, H.; Baili, J.; Aljahdaly, N.H.; Hassan, A. A thermal conductivity model for hybrid heat and mass transfer investigation of single and multi-wall carbon nano-tubes flow induced by a spinning body. Case Stud. Therm. Eng. 2021, 28, 101449. [Google Scholar] [CrossRef]
- Hussain, A.; Haider, Q.; Rehman, A.; Malik, M.Y.; Nadeem, S.; Hussain, S. Heat Transport Improvement and Three-Dimensional Rotating Cone Flow of Hybrid-Based Nanofluid. Math. Probl. Eng. 2021, 2021, 6633468. [Google Scholar] [CrossRef]
- Hussain, A.; Haider, Q.; Rehman, A.; Abdussattar, A.; Malik, M.Y. A New Heat Dissipation Model and Convective Two-Phase Nanofluid in Brittle Medium Flow over a Cone. Math. Probl. Eng. 2021, 2021, 6688747. [Google Scholar] [CrossRef]
- Hussain, A.; Hassan, A.; Arshad, M.; Rehman, A.; Matoog, R.; Abdeljawad, T. Numerical simulation and thermal enhancement of multi-based nanofluid over an embrittled cone. Case Stud. Therm. Eng. 2021, 28, 101614. [Google Scholar] [CrossRef]
- Haddad, Z.; Oztop, H.F.; Abu-Nada, E.; Mataoui, A. A review on natural convective heat transfer of nanofluids. Renew. Sustain. Energy Rev. 2012, 16, 5363–5378. [Google Scholar] [CrossRef]
- Das, S.K.; Choi, S.U.; Patel, H.E. Heat transfer in nanofluids—A review. Heat Transf. Eng. 2006, 27, 3–19. [Google Scholar] [CrossRef]
- Godson, L.; Raja, B.; Lal, D.M.; Wongwises, S. Enhancement of heat transfer using nanofluids—An overview. Renew. Sustain. Energy Rev. 2010, 14, 629–641. [Google Scholar] [CrossRef]
- Daungthongsuk, W.; Wongwises, S. A critical review of convective heat transfer of nanofluids. Renew. Sustain. Energy Rev. 2007, 11, 797–817. [Google Scholar] [CrossRef]
- Farajollahi, B.; Etemad, S.; Hojjat, M. Heat transfer of nanofluids in a shell and tube heat exchanger. Int. J. Heat Mass Transf. 2010, 53, 12–17. [Google Scholar] [CrossRef]
- Manca, O.; Jaluria, Y.; Poulikakos, D. Heat transfer in nanofluids. Adv. Mech. Eng. 2010, 2, 380826. [Google Scholar] [CrossRef]
- Wen, D.; Ding, Y. Experimental investigation into convective heat transfer of nanofluids at the entrance region under laminar flow conditions. Int. J. Heat Mass Transf. 2004, 47, 5181–5188. [Google Scholar] [CrossRef]
- Hosseinzadeh, S.; Hosseinzadeh, K.; Hasibi, A.; Ganji, D.D. Thermal analysis of moving porous fin wetted by hybrid nanofluid with trapezoidal, concave parabolic and convex cross sections. Case Stud. Therm. Eng. 2022, 30, 101757. [Google Scholar] [CrossRef]
- Ding, Y.; Chen, H.; He, Y.; Lapkin, A.; Yeganeh, M.; Šiller, L.; Butenko, Y.V. Forced convective heat transfer of nanofluids. Adv. Powder Technol. 2007, 18, 813–824. [Google Scholar] [CrossRef]
- Vanaki, S.M.; Ganesan, P.; Mohammed, H.A. Numerical study of convective heat transfer of nanofluids: A review. Renew. Sustain. Energy Rev. 2016, 54, 1212–1239. [Google Scholar] [CrossRef]
- Hayat, T.; Nadeem, S.; Khan, A. Numerical analysis of Ag–CuO/water rotating hybrid nanofluid with heat generation and absorption. Can. J. Phys. 2019, 97, 644–650. [Google Scholar] [CrossRef]
- Gopal, D.; Naik, S.H.S.; Kishan, N.; Raju, C.S.K. The impact of thermal stratification and heat generation/absorption on MHD carreau nanofluid flow over a permeable cylinder. SN Appl. Sci. 2020, 2, 1–10. [Google Scholar] [CrossRef] [Green Version]
- Hosseinzadeh, K.; Afsharpanah, F.; Zamani, S.; Gholinia, M.; Ganji, D. A numerical investigation on ethylene glycol-titanium dioxide nanofluid convective flow over a stretching sheet in presence of heat generation/absorption. Case Stud. Therm. Eng. 2018, 12, 228–236. [Google Scholar] [CrossRef]
- Yang, L.; Ji, W.; Mao, M.; Huang, J.-N. An updated review on the properties, fabrication and application of hybrid-nanofluids along with their environmental effects. J. Clean. Prod. 2020, 257, 120408. [Google Scholar] [CrossRef]
- Tulu, A.; Ibrahim, W. Mixed convection hybrid nanofluids flow of MWCNTs–Al2O3/engine oil over a spinning cone with variable viscosity and thermal conductivity. Heat Transf. 2021, 50, 3776–3799. [Google Scholar] [CrossRef]
- Christov, I.C. Soft hydraulics: From Newtonian to complex fluid flows through compliant conduits. arXiv 2021, arXiv:2106.07164. [Google Scholar] [CrossRef] [PubMed]
- Tlili, I.; Sandeep, N.; Reddy, M.G.; Nabwey, H.A. Effect of radiation on engine oil-TC4/NiCr mixture nanofluid flow over a revolving cone in a mutable permeable medium. Ain Shams Eng. J. 2020, 11, 1255–1263. [Google Scholar] [CrossRef]
- Ghadikolaei, S.; Hosseinzadeh, K.; Ganji, D. Investigation on ethylene glycol-water mixture fluid suspend by hybrid nanoparticles (TiO2-CuO) over rotating cone with considering nanoparticles shape factor. J. Mol. Liq. 2018, 272, 226–236. [Google Scholar] [CrossRef]
- Gul, T.; Kashifullah; Bilal, M.; Alghamdi, W.; Asjad, M.I.; Abdeljawad, T. Hybrid nanofluid flow within the conical gap between the cone and the surface of a rotating disk. Sci. Rep. 2021, 11, 1180. [Google Scholar] [CrossRef]
- Adamaki, B.; Karatza, D.; Chianese, S.; Musmarra, D.; Metaxa, E.; Hristoforou, E. Super-paramagnetic nanoparticles: Manufacturing, structure, properties, simulation, applications. Chem. Eng. Trans. 2016, 47, 79–84. [Google Scholar]
- Sheriff, S.; Ahmad, S.; Mir, N.A. Irreversibility effects in peristaltic transport of hybrid nanomaterial in the presence of heat absorption. Sci. Rep. 2021, 11, 19697. [Google Scholar] [CrossRef] [PubMed]
- Sheriff, S.; Sadaf, H.; Akbar, N.S.; Mir, N.A. Heat and peristaltic propagation of water based nanoparticles with variable fluid features. Phys. Scr. 2019, 94, 125704. [Google Scholar] [CrossRef]
- Waqas, H.; Naqvi, S.M.R.S.; Alqarni, M.; Muhammad, T. Thermal transport in magnetized flow of hybrid nanofluids over a vertical stretching cylinder. Case Stud. Therm. Eng. 2021, 27, 101219. [Google Scholar] [CrossRef]
- Khan, M.R.; Li, M.; Mao, S.; Ali, R.; Khan, S. Comparative study on heat transfer and friction drag in the flow of various hybrid nanofluids effected by aligned magnetic field and nonlinear radiation. Sci. Rep. 2021, 11, 3691. [Google Scholar] [CrossRef]
- Kumar, K.G.; Reddy, M.G.; Kumari, P.V.; Aldalbahi, A.; Rahimi-Gorji, M.; Rahaman, M. Application of different hybrid nanofluids in convective heat transport of Carreau fluid. Chaos Solitons Fractals 2020, 141, 110350. [Google Scholar] [CrossRef]
- Hanif, H.; Khan, I.; Shafie, S. A novel study on time-dependent viscosity model of magneto-hybrid nanofluid flow over a permeable cone: Applications in material engineering. Eur. Phys. J. Plus 2020, 135, 730. [Google Scholar] [CrossRef]
- Al-Hanaya, A.M.; Sajid, F.; Abbas, N.; Nadeem, S. Effect of SWCNT and MWCNT on the flow of micropolar hybrid nanofluid over a curved stretching surface with induced magnetic field. Sci. Rep. 2020, 10, 8488. [Google Scholar] [CrossRef] [PubMed]
- Khan, M.R.; Pan, K.; Khan, A.U.; Nadeem, S. Dual solutions for mixed convection flow of SiO2− Al2O3/water hybrid nanofluid near the stagnation point over a curved surface. Phys. A Stat. Mech. Its Appl. 2020, 547, 123959. [Google Scholar] [CrossRef]
- Hussain, A.; Hassan, A.; Al Mdallal, Q.; Ahmad, H.; Rehman, A.; Altanji, M.; Arshad, M. Heat transportation enrichment and elliptic cylindrical solution of time-dependent flow. Case Stud. Therm. Eng. 2021, 27, 101248. [Google Scholar] [CrossRef]
- Hussain, A.; Hassan, A.; Al Mdallal, Q.; Ahmad, H.; Sherif, E.-S.M.; Rehman, A.; Arshad, M. Comsolic solution of an elliptic cylindrical compressible fluid flow. Sci. Rep. 2021, 11, 20030. [Google Scholar] [CrossRef] [PubMed]
- Hussain, A.; Arshad, M.; Hassan, A.; Rehman, A.; Ahmad, H.; Baili, J.; Gia, T.N. Heat transport investigation of engine oil based rotating nanomaterial liquid flow in the existence of partial slip effect. Case Stud. Therm. Eng. 2021, 28, 101500. [Google Scholar] [CrossRef]
- Hussain, A.; Arshad, M.; Rehman, A.; Hassan, A.; Elagan, S.K.; Ahmad, H.; Ishan, A. Three-Dimensional Water-Based Magneto-Hydrodynamic Rotating Nanofluid Flow over a Linear Extending Sheet and Heat Transport Analysis: A Numerical Approach. Energies 2021, 14, 5133. [Google Scholar] [CrossRef]
- Hussain, A.; Elkotb, M.A.; Arshad, M.; Rehman, A.; Nisar, K.S.; Hassan, A.; Saleel, C.A. Computational Investigation of the Combined Impact of Nonlinear Radiation and Magnetic Field on Three-Dimensional Rotational Nanofluid Flow across a Stretchy Surface. Processes 2021, 9, 1453. [Google Scholar] [CrossRef]
- Hussain, A.; Arshad, M.; Rehman, A.; Hassan, A.; Elagan, S.; Alshehri, N. Heat Transmission of Engine-Oil-Based Rotating Nanofluids Flow with Influence of Partial Slip Condition: A Computational Model. Energies 2021, 14, 3859. [Google Scholar] [CrossRef]
- Raza, J.; Mebarek-Oudina, F.; Chamkha, A. Magnetohydrodynamic flow of molybdenum disulfide nanofluid in a channel with shape effects. Multidiscip. Model. Mater. Struct. 2019, 15, 737–757. [Google Scholar] [CrossRef]
- Arshad, M.; Hussain, A.; Hassan, A.; Haider, Q.; Ibrahim, A.H.; Alqurashi, M.S.; Almaliki, A.H.; Abdussattar, A. Thermophoresis and Brownian Effect for Chemically Reacting Magneto-Hydrodynamic Nanofluid Flow across an Exponentially Stretching Sheet. Energies 2021, 15, 143. [Google Scholar] [CrossRef]
- Wróblewski, P.; Lewicki, W. A Method of Analyzing the Residual Values of Low-Emission Vehicles Based on a Selected Expert Method Taking into Account Stochastic Operational Parameters. Energies 2021, 14, 6859. [Google Scholar] [CrossRef]
- Wróblewski, P.; Drożdż, W.; Lewicki, W.; Miązek, P. Methodology for Assessing the Impact of Aperiodic Phenomena on the Energy Balance of Propulsion Engines in Vehicle Electromobility Systems for Given Areas. Energies 2021, 14, 2314. [Google Scholar] [CrossRef]
- Wróblewski, P.; Drożdż, W.; Lewicki, W.; Dowejko, J. Total Cost of Ownership and Its Potential Consequences for the Development of the Hydrogen Fuel Cell Powered Vehicle Market in Poland. Energies 2021, 14, 2131. [Google Scholar] [CrossRef]
- Wróblewski, P.; Kupiec, J.; Drożdż, W.; Lewicki, W.; Jaworski, J. The Economic Aspect of Using Different Plug-In Hybrid Driving Techniques in Urban Conditions. Energies 2021, 14, 3543. [Google Scholar] [CrossRef]
- Shafiq, A.; Khan, I.; Rasool, G.; Sherif, E.-S.M.; Sheikh, A.H. Influence of Single- and Multi-Wall Carbon Nanotubes on Magnetohydrodynamic Stagnation Point Nanofluid Flow over Variable Thicker Surface with Concave and Convex Effects. Mathematics 2020, 8, 104. [Google Scholar] [CrossRef] [Green Version]
- Ameen, I.; Shah, Z.; Islam, S.; Nasir, S.; Khan, W.; Kumam, P.; Thounthong, P. Hall and Ion-Slip Effect on CNTS Nanofluid over a Porous Extending Surface through Heat Generation and Absorption. Entropy 2019, 21, 801. [Google Scholar] [CrossRef] [Green Version]
- Joshi, N.; Upreti, H.; Pandey, A.K.; Kumar, M. Heat and Mass Transfer Assessment of Magnetic Hybrid Nanofluid Flow via Bidirectional Porous Surface with Volumetric Heat Generation. Int. J. Appl. Comput. Math. 2021, 7, 1–17. [Google Scholar] [CrossRef]
- Ullah, I.; Hayat, T.; Alsaedi, A. Optimization of entropy production inflow of hybrid nanomaterials through Darcy–Forchheimer porous space. J. Therm. Anal. Calorim. 2021, 1–10. [Google Scholar]













n = 2, Sc = 2, N = 0.5, pr = 21 | ||||||||
|---|---|---|---|---|---|---|---|---|
| SWCNT-Ag/KO | ||||||||
| R | H | s | Sc | |||||
| 0.1 | 0.5 | 0.5 | 0.5 | 2 | −1.71459 | 0.194793 | 23.3065 | 3.66768 |
| 0.2 | −2.72506 | −0.0238261 | 23.2472 | 3.6136 | ||||
| 0.3 | −2.30372 | 0.0470601 | 23.2694 | 3.63363 | ||||
| 0.4 | −1.98823 | 0.120427 | 23.2893 | 3.65172 | ||||
| 0.5 | 0.5 | 0.5 | 1.0. | 2 | −3.43012 | 0.371631 | 23.2042 | 3.60143 |
| 1 | −1.04551 | 0.405135 | 23.3506 | 3.70912 | ||||
| 1.5 | −1.84875 | 0.390947 | 23.3002 | 3.6694 | ||||
| 2 | −2.66085 | 0.379969 | 23.2509 | 3.63317 | ||||
| 0.5 | 2 | 1 | 2 | 1 | −2.11565 | 0.359947 | 16.3115 | 2.5011 |
| 2 | −2.16934 | 0.359947 | 16.3115 | 2.5011 | ||||
| 3 | −2.11565 | 0.359947 | 16.3115 | 2.5011 | ||||
| 4 | −2.11565 | 0.359947 | 16.3115 | 2.5011 | ||||
| 0.1 | 2 | 0.5 | 0.2 | 1 | −3.31833 | −0.0437809 | 16.1534 | 2.35923 |
| 0.4 | −4.31028 | −0.172109 | 16.0379 | 2.26278 | ||||
| 0.6 | −3.8436 | −0.112958 | 16.085 | 2.30236 | ||||
| 0.8 | −3.5578 | −0.0728209 | 16.1223 | 2.33341 | ||||
| 0.5 | 2 | 0.5 | 1.0. | 0.5 | −3.43012 | 0.371631 | 23.2042 | 3.60143 |
| 1 | −3.13779 | 0.0501056 | 10.9814 | 1.42014 | ||||
| 1.5 | −2.87796 | 0.221208 | 16.2135 | 2.42122 | ||||
| 2 | −3.09376 | 0.308887 | 20.0279 | 3.07409 | ||||
| Base Fluid | Nanoparticles | Thermophysical Properties | ||
|---|---|---|---|---|
| Kerosene Oil | 783 | 2090 | 0.145 | |
| Ag | 10,490 | 235 | 429 | |
| SWCNT | 2600 | 425 | 600 | |
| Properties | Nanofluid | Hybrid Nanofluid |
|---|---|---|
| Density | ||
| Viscosity ( | ||
| Heat capacity | ||
| Thermal conductivity |
| Comparison of Conventional Nanofluid (SWCNT–Kerosene Oil) and Hybrid Nanofluid (SWCNT-Ag–Kerosene Oil) | Comparison of Skin Coefficient | |||||
|---|---|---|---|---|---|---|
| Shafiq et al. [56] | Present Work | Ameen et al. [57] | Present Work | |||
| 0 | 0.3 | 6.25429 | 22.8364 | 0.5 | −1.93809 | −1.9244 |
| 0.2 | 7.3438 | 20.8304 | 0.6 | −1.97461 | −2.27983 | |
| 0.4 | 7.62461 | 21.8364 | 0.7 | −2.00896 | −2.06492 | |
| Sc = 0.2 | Joshi et al. [58] | Present Results | |
|---|---|---|---|
| n | |||
| 1 | 0.06 | 0.5006 | 0.538877 |
| 2 | 0.523504948 | 0.538566 | |
| 3 | 0.545801582 | 0.538686 | |
| 4 | 0.567581406 | 0.538788 | |
Publisher’s Note: MDPI stays neutral with regard to jurisdictional claims in published maps and institutional affiliations. |
© 2022 by the authors. Licensee MDPI, Basel, Switzerland. This article is an open access article distributed under the terms and conditions of the Creative Commons Attribution (CC BY) license (https://creativecommons.org/licenses/by/4.0/).
Share and Cite
Hassan, A.; Hussain, A.; Arshad, M.; Alanazi, M.M.; Zahran, H.Y. Numerical and Thermal Investigation of Magneto-Hydrodynamic Hybrid Nanoparticles (SWCNT-Ag) under Rosseland Radiation: A Prescribed Wall Temperature Case. Nanomaterials 2022, 12, 891. https://doi.org/10.3390/nano12060891
Hassan A, Hussain A, Arshad M, Alanazi MM, Zahran HY. Numerical and Thermal Investigation of Magneto-Hydrodynamic Hybrid Nanoparticles (SWCNT-Ag) under Rosseland Radiation: A Prescribed Wall Temperature Case. Nanomaterials. 2022; 12(6):891. https://doi.org/10.3390/nano12060891
Chicago/Turabian StyleHassan, Ali, Azad Hussain, Mubashar Arshad, Meznah M. Alanazi, and Heba Y. Zahran. 2022. "Numerical and Thermal Investigation of Magneto-Hydrodynamic Hybrid Nanoparticles (SWCNT-Ag) under Rosseland Radiation: A Prescribed Wall Temperature Case" Nanomaterials 12, no. 6: 891. https://doi.org/10.3390/nano12060891
APA StyleHassan, A., Hussain, A., Arshad, M., Alanazi, M. M., & Zahran, H. Y. (2022). Numerical and Thermal Investigation of Magneto-Hydrodynamic Hybrid Nanoparticles (SWCNT-Ag) under Rosseland Radiation: A Prescribed Wall Temperature Case. Nanomaterials, 12(6), 891. https://doi.org/10.3390/nano12060891

