Silver Nanoparticle Arrays onto Glass Substrates Obtained by Solid-State Thermal Dewetting: A Morphological, Structural and Surface Chemical Study
Abstract
1. Introduction
2. Materials and Methods
2.1. Preparation of the Silver Nanoparticle Arrays onto Glass Substrates by Solid-State Dewetting
2.2. Morphological and Structural Characterization
2.3. Surface Chemistry Analysis
3. Results and Discussion
3.1. Synthesis of the Ag Nanoparticle Arrays onto Glass Substrates
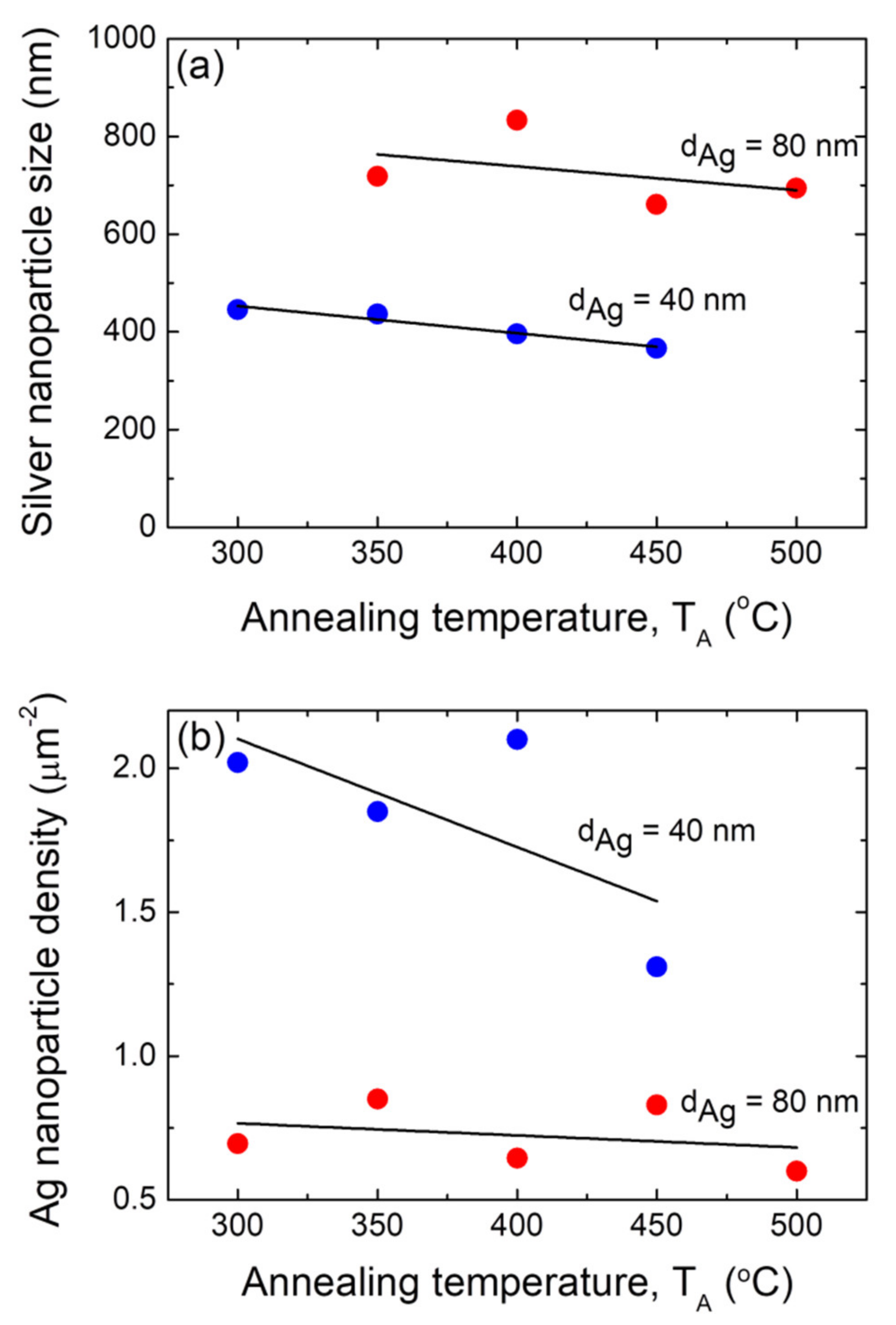
3.2. Morphological Characterization of the Ag Nanoparticle Arrays
3.3. Structural Characterization of the Ag Nanoparticle Arrays
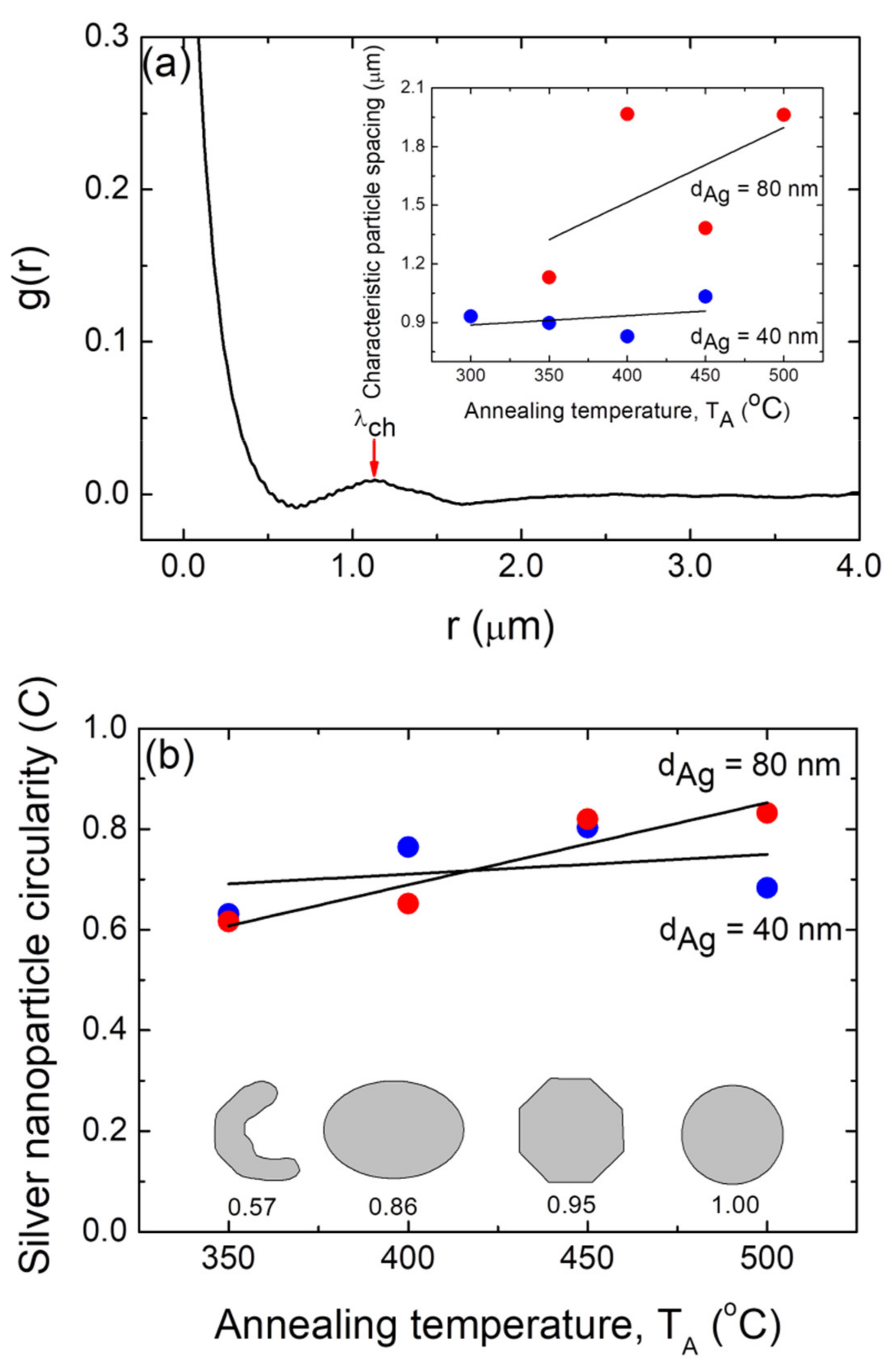
3.4. Faceting of the Dewetted Nanostructures and Micro-Cristallinity
3.5. Surface Chemical Analysis of the Ag Nanoparticle Arrays
4. Conclusions
Supplementary Materials
Author Contributions
Funding
Institutional Review Board Statement
Informed Consent Statement
Data Availability Statement
Acknowledgments
Conflicts of Interest
References
- Lin, H.K.; Huang, C.W.; Lin, Y.H.; Chuang, W.S.; Huang, J.C. Effects of Accumulated Energy on Nanoparticle Formation in Pulsed-Laser Dewetting of AgCu Thin Films. Nanoscale Res. Lett. 2021, 16, 110. [Google Scholar] [CrossRef]
 - Wang, L.; Hasanzadeh Kafshgari, M.; Meunier, M. Optical Properties and Applications of Plasmonic-Metal Nanoparticles. Adv. Funct. Mater. 2020, 30, 2005400. [Google Scholar] [CrossRef]
 - Pandey, P.; Sui, M.; Zhang, Q.; Li, M.-Y.; Kunwar, S.; Lee, J. Systematic control of the size, density and configuration of Pt nanostructures on sapphire (0001) by the variation of deposition amount and dwelling time. Appl. Surf. Sci. 2016, 368, 198–207. [Google Scholar] [CrossRef]
 - Torrisi, V.; Censabella, M.; Piccitto, G.; Compagnini, G.; Grimaldi, M.G.; Ruffino, F. Characteristics of Pd and Pt Nanoparticles Produced by Nanosecond Laser Irradiations of Thin Films Deposited on Topographically-Structured Transparent Conductive Oxides. Coatings 2019, 9, 68. [Google Scholar] [CrossRef]
 - Wani, I.A. Review—Recent Advances in Biogenic Silver Nanoparticles & NanoComposite Based Plasmonic-Colorimetric and Electrochemical Sensors. ECS J. Solid State Sci. Technol. 2021, 10, 47003. [Google Scholar] [CrossRef]
 - Kunwar, S.; Sui, M.; Zhang, Q.; Pandey, P.; Li, M.-Y.; Lee, J. Various Silver Nanostructures on Sapphire Using Plasmon Self-Assembly and Dewetting of Thin Films. Nano-Micro Lett. 2016, 9, 17. [Google Scholar] [CrossRef] [PubMed]
 - Loiseau, A.; Asila, V.; Boitel-Aullen, G.; Lam, M.; Salmain, M.; Boujday, S. Silver-Based Plasmonic Nanoparticles for and Their Use in Biosensing. Biosensors 2019, 9, 78. [Google Scholar] [CrossRef]
 - Moores, A.; Goettmann, F. The plasmon band in noble metal nanoparticles: An introduction to theory and applications. New J. Chem. 2006, 30, 1121–1132. [Google Scholar] [CrossRef]
 - Taylor, A.B.; Zijlstra, P. Single-Molecule Plasmon Sensing: Current Status and Future Prospects. ACS Sens. 2017, 2, 1103–1122. [Google Scholar] [CrossRef]
 - Pandey, P.; Kunwar, S.; Sui, M.; Zhang, Q.; Li, M.; Lee, J. Morphological and Optical Evolution of Silver Nanoparticles on Sapphire (0001) Along with the Concurrent Influence of Diffusion, Ostwald’s Ripening, and Sublimation. IEEE Trans. Nanotechnol. 2017, 16, 321–332. [Google Scholar] [CrossRef]
 - Pandey, P.; Kunwar, S.; Sui, M.; Bastola, S.; Lee, J. Investigation on the morphological and optical evolution of bimetallic Pd-Ag nanoparticles on sapphire (0001) by the systematic control of composition, annealing temperature and time. PLoS ONE 2017, 12, e0189823. Available online: https://journals.plos.org/plosone/article?id=10.1371/journal.pone.0189823 (accessed on 20 January 2022). [CrossRef] [PubMed]
 - Łapiński, M.; Kozioł, R.; Cymann, A.; Sadowski, W.; Kościelska, B. Substrate Dependence in the Formation of Au Nanoislands for Plasmonic Platform Application. Plasmonics 2020, 15, 101–107. [Google Scholar] [CrossRef]
 - Liu, X.; Li, D.; Sun, X.; Li, Z.; Song, H.; Jiang, H.; Chen, Y. Tunable Dipole Surface Plasmon Resonances of Silver Nanoparticles by Cladding Dielectric Layers. Sci. Rep. 2015, 5, 12555. [Google Scholar] [CrossRef] [PubMed]
 - Chaudhari, K.; Ahuja, T.; Murugesan, V.; Subramanian, V.; Ganayee, M.A.; Thundat, T.; Pradeep, T. Appearance of SERS activity in single silver nanoparticles by laser-induced reshaping. Nanoscale 2019, 11, 321–330. [Google Scholar] [CrossRef]
 - Razek, S.A.; Ayoub, A.B.; Swillam, M.A. One Step Fabrication of Highly Absorptive and Surface Enhanced Raman Scattering (SERS) Silver Nano-trees on Silicon Substrate. Sci. Rep. 2019, 9, 13588. [Google Scholar] [CrossRef] [PubMed]
 - Mauriz, E.; Lechuga, L.M. Plasmonic Biosensors for Single-Molecule Biomedical Analysis. Biosensors 2021, 11, 123. [Google Scholar] [CrossRef]
 - Ko, Y.H.; Yu, J.S. Silver nanoparticle decorated ZnO nanorod arrays on AZO films for light absorption enhancement. Phys. Status Solidi 2012, 209, 297–301. [Google Scholar] [CrossRef]
 - Ivanova, T.; Harizanova, A.; Koutzarova, T.; Vertruyen, B. Optical and structural characterization of TiO2 films doped with silver nanoparticles obtained by sol–gel method. Opt. Mater. 2013, 36, 207–213. [Google Scholar] [CrossRef]
 - Tanyeli, I.; Nasser, H.; Es, F.; Bek, A.; Turan, R. Effect of surface type on structural and optical properties of Ag nanoparticles formed by dewetting. Opt. Express 2013, 21, A798–A807. [Google Scholar] [CrossRef]
 - Santbergen, R.; Temple, T.L.; Liang, R.; Smets, A.H.M.; van Swaaij, R.A.C.M.M.; Zeman, M. Application of plasmonic silver island films in thin-film silicon solar cells. J. Opt. 2012, 14, 24010. [Google Scholar] [CrossRef]
 - Catchpole, K.R.; Polman, A. Design principles for particle plasmon enhanced solar cells. Appl. Phys. Lett. 2008, 93, 191113. [Google Scholar] [CrossRef]
 - Khodashenas, B.; Ghorbani, H.R. Synthesis of silver nanoparticles with different shapes. Arab. J. Chem. 2019, 12, 1823–1838. [Google Scholar] [CrossRef]
 - García-Barrasa, J.; López-de-Luzuriaga, J.; Monge, M. Silver nanoparticles: Synthesis through chemical methods in solution and biomedical applications. Open Chem. 2011, 9, 7–19. [Google Scholar] [CrossRef]
 - Botasini, S.; Dalchiele, E.A.; Benech, J.C.; Méndez, E. Stabilization of triangular and heart-shaped plane silver nanoparticles using 2-thiobarbituric acid. J. Nanoparticle Res. 2011, 13, 2819–2828. [Google Scholar] [CrossRef]
 - Le Bris, A.; Maloum, F.; Teisseire, J.; Sorin, F. Self-organized ordered silver nanoparticle arrays obtained by solid state dewetting. Appl. Phys. Lett. 2014, 105, 203102. [Google Scholar] [CrossRef]
 - Chaika, A.N.; Bozhko, S.I.; Ionov, A.M.; Sveklo, I.; Postnova, E.Y.; Semenov, V.N.; Bisht, A.; Rabkin, E. The role of defects in solid state dewetting of ultrathin Ag film on Si(557). Scr. Mater. 2021, 194, 113655. [Google Scholar] [CrossRef]
 - Oh, H.; Pyatenko, A.; Lee, M. A hybrid dewetting approach to generate highly sensitive plasmonic silver nanoparticles with a narrow size distribution. Appl. Surf. Sci. 2021, 542, 148613. [Google Scholar] [CrossRef]
 - Ye, J.; Zuev, D.; Makarov, S. Dewetting mechanisms and their exploitation for the large-scale fabrication of advanced nanophotonic systems. Int. Mater. Rev. 2019, 64, 439–477. [Google Scholar] [CrossRef]
 - Cho, J.S.; Jang, W.; Park, K.H.; Wang, D.H. A gold nanodot array imprinting process based on solid-state dewetting for efficient oxide-free photovoltaic devices. Appl. Phys. Lett. 2020, 117, 171601. [Google Scholar] [CrossRef]
 - Ruffino, F.; Grimaldi, M.G. Atomic force microscopy study of the growth mechanisms of nanostructured sputtered Au film on Si(111): Evolution with film thickness and annealing time. J. Appl. Phys. 2010, 107, 104321. [Google Scholar] [CrossRef]
 - Ruffino, F.; Grimaldi, M.G. Nano-shaping of gold particles on silicon carbide substrate from solid-state to liquid-state dewetting. Surf. Interfaces 2021, 24, 101041. [Google Scholar] [CrossRef]
 - Schulte, J. Nanotechnology: Global Strategies, Industry Trends and Applications; Schulte, J., Ed.; John Wiley & Sons, Ltd.: Chichester, UK, 2005. [Google Scholar]
 - Kumar, N.; Alam, F.; Dutta, V. Deposition of Ag and Au–Ag alloy nanoparticle films by spray pyrolysis technique with tuned plasmonic properties. J. Alloys Compd. 2014, 585, 312–317. [Google Scholar] [CrossRef]
 - Badán, J.A.; Navarrete-Astorga, E.; Henríquez, R.; Martín, F.; Marotti, R.E.; Ramos-Barrado, J.R.; Dalchiele, E.A. Optical properties of silver nanoparticles deposited onto silicon substrates by different soft-solution processing techniques. Opt. Mater. 2020, 100, 109651. [Google Scholar] [CrossRef]
 - Raffi, M.; Akhter, J.I.; Hasan, M.M. Effect of annealing temperature on Ag nano-composite synthesized by sol-gel. Mater. Chem. Phys. 2005, 99, 405–409. [Google Scholar] [CrossRef]
 - Berni, M.; Carrano, I.; Kovtun, A.; Russo, A.; Visani, A.; Dionigi, C.; Liscio, A.; Valle, F.; Gambardella, A. Monitoring morphological and chemical properties during silver solid-state dewetting. Appl. Surf. Sci. 2019, 498, 143890. [Google Scholar] [CrossRef]
 - Wang, D.; Ji, R.; Schaaf, P. Formation of precise 2D Au particle arrays via thermally induced dewetting on pre-patterned substrates. Beilstein J. Nanotechnol. 2011, 2, 318–326. [Google Scholar] [CrossRef]
 - Serrano, A.; Llorca-Hernando, O.; del Campo, A.; Rubio-Marcos, F.; Rodríguez de la Fuente, O.; Fernández, J.F.; García, M.A. Ag-AgO nanostructures on glass substrates by solid-state dewetting: From extended to localized surface plasmons. J. Appl. Phys. 2018, 124, 133103. [Google Scholar] [CrossRef]
 - Lin, Y.-H.; Wang, J.-J.; Wang, Y.-T.; Lin, H.-K.; Lin, Y.-J. Antifungal Properties of Pure Silver Films with Nanoparticles Induced by Pulsed-Laser Dewetting Process. Appl. Sci. 2020, 10, 2260. [Google Scholar] [CrossRef]
 - Badán, J.A.; Jauregui, G.; Navarrete-Astorga, E.; Henríquez, R.; Jiménez, F.M.; Ariosa, D.; Dalchiele, E.A. Solid-state thermal dewetted silver nanoparticles onto electrochemically grown self-standing vertically aligned ZnO nanorods for three-dimensional plasmonic nanostructures. Ceram. Int. 2021, 47, 32685. [Google Scholar] [CrossRef]
 - Araújo, A.; Mendes, M.J.; Mateus, T.; Vicente, A.; Nunes, D.; Calmeiro, T.; Fortunato, E.; Águas, H.; Martins, R. Influence of the Substrate on the Morphology of Self-Assembled Silver Nanoparticles by Rapid Thermal Annealing. J. Phys. Chem. C 2016, 120, 18235–18242. [Google Scholar] [CrossRef]
 - Herre, P.; Will, J.; Dierner, M.; Wang, D.; Yokosawa, T.; Zech, T.; Wu, M.; Przybilla, T.; Romeis, S.; Unruh, T.; et al. Rapid fabrication and interface structure of highly faceted epitaxial Ni-Au solid solution nanoparticles on sapphire. Acta Mater. 2021, 220, 117318. [Google Scholar] [CrossRef]
 - Serrano, A.; Rubio-Zuazo, J.; López-Sánchez, J.; Enríquez, E.; Salas-Cólera, E.; Castro, G.R. Nanostructured Au(111)/Oxide Epitaxial Heterostructures with Tailoring Plasmonic Response by a One-Step Strategy. J. Phys. Chem. C 2019, 123, 25294–25302. [Google Scholar] [CrossRef]
 - Choi, M.; Kang, G.; Shin, D.; Barange, N.; Lee, C.-W.; Ko, D.-H.; Kim, K. Lithography-Free Broadband Ultrathin-Film Absorbers with Gap-Plasmon Resonance for Organic Photovoltaics. ACS Appl. Mater. Interfaces 2016, 8, 12997–13008. [Google Scholar] [CrossRef] [PubMed]
 - Jacquet, P.; Podor, R.; Ravaux, J.; Lautru, J.; Teisseire, J.; Gozhyk, I.; Jupille, J.; Lazzari, R. On the solid-state dewetting of polycrystalline thin films: Capillary versus grain growth approach. Acta Mater. 2018, 143, 281–290. [Google Scholar] [CrossRef]
 - Gentili, D.; Foschi, G.; Valle, F.; Cavallini, M.; Biscarini, F. Applications of dewetting in micro and nanotechnology. Chem. Soc. Rev. 2012, 41, 4430–4443. [Google Scholar] [CrossRef] [PubMed]
 - Thompson, C.V. Solid-State Dewetting of Thin Films. Annu. Rev. Mater. Res. 2012, 42, 399–434. [Google Scholar] [CrossRef]
 - Jacquet, P.; Podor, R.; Ravaux, J.; Teisseire, J.; Gozhyk, I.; Jupille, J.; Lazzari, R. Grain growth: The key to understand solid-state dewetting of silver thin films. Scr. Mater. 2016, 115, 128–132. [Google Scholar] [CrossRef]
 - Pandey, P.; Kunwar, S.; Sui, M.; Li, M.-Y.; Zhang, Q.; Lee, J. Effect of annealing temperature on morphological and optical transition of silver nanoparticles on c-plane sapphire. J. Nanosci. Nanotechnol. 2018, 18, 3466–3477. [Google Scholar] [CrossRef]
 - Yadavali, S.; Kalyanaraman, R. Fabricating Metal Nanostructures with pulsed laser dewetting self-assembly. Adv. Mater. Process. 2013, 171, 22–26. [Google Scholar]
 - Hu, X.; Cahill, D.G.; Averback, R.S. Nanoscale pattern formation in Pt thin films due to ion-beam-induced dewetting. Appl. Phys. Lett. 2000, 76, 3215–3217. [Google Scholar] [CrossRef]
 - Hu, X.; Cahill, D.G.; Averback, R.S. Dewetting and nanopattern formation of thin Pt films on SiO2 induced by ion beam irradiation. J. Appl. Phys. 2001, 89, 7777–7783. [Google Scholar] [CrossRef]
 - Hu, X.; Cahill, D.G.; Averback, R.S. Burrowing of Pt nanoparticles into SiO2 during ion-beam irradiation. J. Appl. Phys. 2002, 92, 3995–4000. [Google Scholar] [CrossRef]
 - Hu, X.; Cahill, D.G.; Averback, R.S.; Birtcher, R.C. In situ transmission electron microscopy study of irradiation induced dewetting of ultrathin Pt films. J. Appl. Phys. 2002, 93, 165–169. [Google Scholar] [CrossRef]
 - Kojima, Y.; Kato, T. Nanoparticle formation in Au thin films by electron-beam-induced dewetting. Nanotechnology 2008, 19, 255605. [Google Scholar] [CrossRef]
 - Rusciano, G.; Capaccio, A.; Martinez, A.; Sasso, A. Nanoporous silver films produced by solid-state dewetting for SERS applications. In Proceedings of the SPIE, Online, 18 April 2021; Volume 11772, p. 117720E. [Google Scholar]
 - Toropov, N.A.; Leonov, N.B.; Vartanyan, T.A. Influence of Silver Nanoparticles Crystallinity on Localized Surface Plasmons Dephasing Times. Phys. Status Solidi 2018, 255, 1700174. [Google Scholar] [CrossRef]
 - Preston, A.S.; Hughes, R.A.; Demille, T.B.; Davila, V.M.R.; Neretina, S. Dewetted nanostructures of gold, silver, copper, and palladium with enhanced faceting. Acta Mater. 2019, 165, 15–25. [Google Scholar] [CrossRef]
 - Kosinova, A.; Klinger, L.; Kovalenko, O.; Rabkin, E. The role of grain boundary sliding in solid-state dewetting of thin polycrystalline films. Scr. Mater. 2014, 82, 33–36. [Google Scholar] [CrossRef]
 - Leroy, F.; Borowik, Ł.; Cheynis, F.; Almadori, Y.; Curiotto, S.; Trautmann, M.; Barbé, J.C.; Müller, P. How to control solid state dewetting: A short review. Surf. Sci. Rep. 2016, 71, 391–409. [Google Scholar] [CrossRef]
 - Ding, Y.; Fan, F.; Tian, Z.; Wang, Z.L. Sublimation-Induced Shape Evolution of Silver Cubes. Small 2009, 5, 2812–2815. [Google Scholar] [CrossRef]
 - Morawiec, S.; Mendes, M.J.; Mirabella, S.; Simone, F.; Priolo, F.; Crupi, I. Self-assembled silver nanoparticles for plasmon-enhanced solar cell back reflectors: Correlation between structural and optical properties. Nanotechnology 2013, 24, 265601. [Google Scholar] [CrossRef]
 - Yoo, J.; Kim, J.-H.; Lee, K.; Lee, S.; Kim, S.; Park, H.-K.; Kim, S.-W.; Bae, J.; Park, J.-J.; Choi, D. Dewetted gold nanoparticles on ZnO nanorods for three-dimensionally distributed plasmonic hot spots. Scr. Mater. 2013, 69, 654–657. [Google Scholar] [CrossRef]
 - Saritas, S.; Özen, E.S.; Aydinli, A. Laser induced spinodal dewetting of Ag thin films forphotovoltaic applications. J. Optoelectron. Adv. Mater. 2013, 15, 10–13. [Google Scholar]
 - Oliva-Ramirez, M.; Schade, P.; Zobel, C.; Wang, D.; Schaaf, P. Morphological and compositional mapping of supersaturated AuNi alloy nanoparticles fabricated by solid state dewetting. Appl. Surf. Sci. Adv. 2021, 4, 100082. [Google Scholar] [CrossRef]
 - Hamm, G.; Becker, C.; Henry, C.R. Bimetallic Pd–Au nanocluster arrays grown on nanostructured alumina templates. Nanotechnology 2006, 17, 1943–1947. [Google Scholar] [CrossRef]
 - Paredes-Arroyo, C.; Guzmán, R. Nonequilibrium molecular dynamics simulation of a dense confined nanofluid: Wall-nanoparticle interaction effects. Comput. Mater. Sci. 2017, 131, 11–20. [Google Scholar] [CrossRef]
 - Sudheer; Mondal, P.; Rai, V.N.; Srivastava, A.K. A study of growth and thermal dewetting behavior of ultra-thin gold films using transmission electron microscopy. AIP Adv. 2017, 7, 75303. [Google Scholar] [CrossRef]
 - Simonsen, S.B.; Chorkendorff, I.; Dahl, S.; Skoglundh, M.; Sehested, J.; Helveg, S. Direct Observations of Oxygen-induced Platinum Nanoparticle Ripening Studied by In Situ TEM. J. Am. Chem. Soc. 2010, 132, 7968–7975. [Google Scholar] [CrossRef]
 - Thiel, P.A.; Shen, M.; Liu, D.-J.; Evans, J.W. Coarsening of Two-Dimensional Nanoclusters on Metal Surfaces. J. Phys. Chem. C 2009, 113, 5047–5067. [Google Scholar] [CrossRef][Green Version]
 - Jiran, E.; Thompson, C.V. Capillary instabilities in thin films. J. Electron. Mater. 1990, 19, 1153–1160. [Google Scholar] [CrossRef]
 - Jacquet, P.; Bouteille, B.; Dezert, R.; Lautru, J.; Podor, R.; Baron, A.; Teisseire, J.; Jupille, J.; Lazzari, R.; Gozhyk, I. Periodic Arrays of Diamond-Shaped Silver Nanoparticles: From Scalable Fabrication by Template-Assisted Solid-State Dewetting to Tunable Optical Properties. Adv. Funct. Mater. 2019, 29, 1901119. [Google Scholar] [CrossRef]
 - Powder Diffraction File, File No. 04-0783 (Cubic Structure of Ag). 1999. Available online: https://ietresearch.onlinelibrary.wiley.com/doi/10.1049/mnl.2017.0349 (accessed on 20 January 2022).
 - Harris, G.B.X. Quantitative measurement of preferred orientation in rolled uranium bars. Lond. Edinb. Dublin Philos. Mag. J. Sci. 1952, 43, 113–123. [Google Scholar] [CrossRef]
 - Consonni, V.; Rey, G.; Roussel, H.; Doisneau, B.; Blanquet, E.; Bellet, D. Preferential orientation of fluorine-doped SnO2 thin films: The effects of growth temperature. Acta Mater. 2013, 61, 22–31. [Google Scholar] [CrossRef]
 - Dalchiele, E.A.; Giorgi, P.; Marotti, R.E.; Martín, F.; Ramos-Barrado, J.R.; Ayouci, R.; Leinen, D. Electrodeposition of ZnO thin films on n-Si(1 0 0). Sol. Energy Mater. Sol. Cells 2001, 70, 245–254. [Google Scholar] [CrossRef]
 - Riveros, G.; Ramírez, D.; Gau, D.L.; Hernández, L.; Häberle, P.; Marotti, R.E.; Romero, R.; Cuevas, A.; Martín, F.; Dalchiele, E.A. Electrodeposition of Single Phase SnS Thin Films: Effect of Electrolytic Bath Temperature on the Final Film Properties. J. Electrochem. Soc. 2019, 166, D44–D51. [Google Scholar] [CrossRef]
 - Hong, R.; Shao, W.; Ji, J.; Tao, C.; Zhang, D. Thermal annealing induced the tunable optical properties of silver thin films with linear variable thickness. Superlattices Microstruct. 2018, 118, 170–176. [Google Scholar] [CrossRef]
 - Patterson, A.L. The Scherrer Formula for X-ray Particle Size Determination. Phys. Rev. 1939, 56, 978–982. [Google Scholar] [CrossRef]
 - Scherrer, P. Nachrichten von der Gesellschaft der Wissenschaften zu Göttingen. Math. Kl. 1918, 2, 98–100. [Google Scholar]
 - Powder Diffraction File, File No. 41-1104 (Cubic Structure of Ag2O) 1999. Available online: http://publications.aston.ac.uk/id/document/53505 (accessed on 20 January 2022).
 - Kuzma, A.; Weis, M.; Flickyngerova, S.; Jakabovic, J.; Satka, A.; Dobrocka, E.; Chlpik, J.; Cirak, J.; Donoval, M.; Telek, P.; et al. Influence of surface oxidation on plasmon resonance in monolayer of gold and silver nanoparticles. J. Appl. Phys. 2012, 112, 103531. [Google Scholar] [CrossRef]
 - Henry, C.R. Morphology of supported nanoparticles. Prog. Surf. Sci. 2005, 80, 92–116. [Google Scholar] [CrossRef]
 - Liang, C.; Huang, S.; Zhao, W.; Liu, W.; Chen, J.; Liu, H.; Tong, Y. Polyhedral Fe3O4 nanoparticles for lithium ion storage. New J. Chem. 2015, 39, 2651–2656. [Google Scholar] [CrossRef]
 - González, A.L.; Noguez, C.; Beránek, J.; Barnard, A.S. Size, Shape, Stability, and Color of Plasmonic Silver Nanoparticles. J. Phys. Chem. C 2014, 118, 9128–9136. [Google Scholar] [CrossRef]
 - Sun, S.; Zhang, X.; Cui, J.; Yang, Q.; Liang, S. High-index faceted metal oxide micro-/nanostructures: A review on their characterization, synthesis and applications. Nanoscale 2019, 11, 15739–15762. [Google Scholar] [CrossRef] [PubMed]
 - Lv, J.; Lai, F.; Lin, L.; Lin, Y.; Huang, Z.; Chen, R. Thermal stability of Ag films in air prepared by thermal evaporation. Appl. Surf. Sci. 2007, 253, 7036–7040. [Google Scholar] [CrossRef]
 - Herley, P.J.; Prout, E.G. The Thermal Decomposition of Silver Oxide. J. Am. Chem. Soc. 1960, 82, 1540–1543. [Google Scholar] [CrossRef]
 - Schön, G.; Tummavuori, J.; Lindström, B.; Enzell, C.R.; Swahn, C.-G. ESCA Studies of Ag, Ag2O and AgO. Acta Chem. Scand. 1973, 27, 2623–2633. [Google Scholar] [CrossRef]
 - Moulder, J.F.; Stickle, W.F.; Sobol, W.M.; Bomben, K.D. Handbook of X-ray Photoelectron Spectroscopy; Perkin-Elmer Corporation, Physical Electronics Division: Eden Prairie, MN, USA, 1992. [Google Scholar]
 - Ferraria, A.M.; Carapeto, A.P.; do Rego, A.M.B. X-ray photoelectron spectroscopy: Silver salts revisited. Vacuum 2012, 86, 1988–1991. [Google Scholar] [CrossRef]
 - Hoflund, G.B.; Hazos, Z.F.; Salaita, G.N. Surface characterization study of Ag, AgO, and Ag2O using X-ray photoelectron spectroscopy and electron energy-loss spectroscopy. Phys. Rev. B 2000, 62, 11126–11133. [Google Scholar] [CrossRef]
 














Publisher’s Note: MDPI stays neutral with regard to jurisdictional claims in published maps and institutional affiliations.  | 
© 2022 by the authors. Licensee MDPI, Basel, Switzerland. This article is an open access article distributed under the terms and conditions of the Creative Commons Attribution (CC BY) license (https://creativecommons.org/licenses/by/4.0/).
Share and Cite
Badán, J.A.; Navarrete-Astorga, E.; Henríquez, R.; Jiménez, F.M.; Ariosa, D.; Ramos-Barrado, J.R.; Dalchiele, E.A. Silver Nanoparticle Arrays onto Glass Substrates Obtained by Solid-State Thermal Dewetting: A Morphological, Structural and Surface Chemical Study. Nanomaterials 2022, 12, 617. https://doi.org/10.3390/nano12040617
Badán JA, Navarrete-Astorga E, Henríquez R, Jiménez FM, Ariosa D, Ramos-Barrado JR, Dalchiele EA. Silver Nanoparticle Arrays onto Glass Substrates Obtained by Solid-State Thermal Dewetting: A Morphological, Structural and Surface Chemical Study. Nanomaterials. 2022; 12(4):617. https://doi.org/10.3390/nano12040617
Chicago/Turabian StyleBadán, Juan Agustín, Elena Navarrete-Astorga, Rodrigo Henríquez, Francisco Martín Jiménez, Daniel Ariosa, José Ramón Ramos-Barrado, and Enrique A. Dalchiele. 2022. "Silver Nanoparticle Arrays onto Glass Substrates Obtained by Solid-State Thermal Dewetting: A Morphological, Structural and Surface Chemical Study" Nanomaterials 12, no. 4: 617. https://doi.org/10.3390/nano12040617
APA StyleBadán, J. A., Navarrete-Astorga, E., Henríquez, R., Jiménez, F. M., Ariosa, D., Ramos-Barrado, J. R., & Dalchiele, E. A. (2022). Silver Nanoparticle Arrays onto Glass Substrates Obtained by Solid-State Thermal Dewetting: A Morphological, Structural and Surface Chemical Study. Nanomaterials, 12(4), 617. https://doi.org/10.3390/nano12040617
        
                                                
