Biomimetic Citrate-Coated Luminescent Apatite Nanoplatforms for Diclofenac Delivery in Inflammatory Environments
Abstract
:1. Introduction
2. Materials and Methods
2.1. Reagents
2.2. Preparation of cAp and cAp-Tb Nanoparticles
2.3. Characterization of the Nanoparticles
2.4. Adsorption Kinetics
2.5. Adsorption Isotherms
2.6. Release Experiments
2.7. Luminescence Studies of cAp-Tb-DF Samples
2.8. Cells
2.9. Cytocompatibility Tests
2.10. Inflammatory Cytokine Treatment
2.11. Quantitative Real-Time PCR (qPCR)
2.12. PGE2 Production
2.13. Statistical Analysis
3. Results
3.1. Characterization of the NPs
3.2. Adsorption Isotherms
3.3. ζ-Potential versus pH of Unloaded and DF-Loaded cAp and cAp-Tb NPs Suspensions
3.4. Release Profiles and Release Efficiency
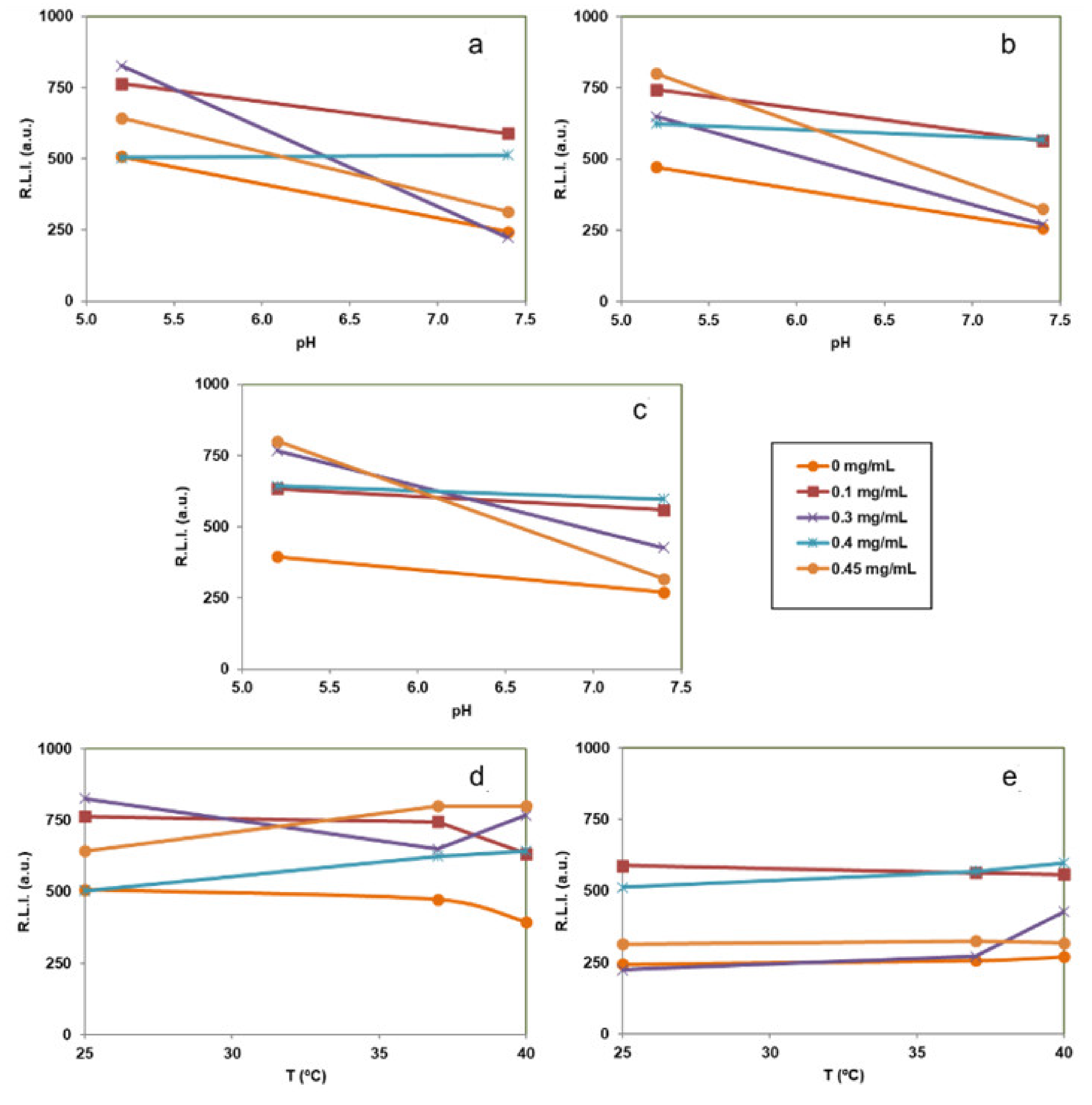
3.5. Luminescence Properties of Unloaded and DF-Loaded cAp and cAp-Tb NPs Suspensions
3.6. Cytocompatibility of the Different Nanoparticles
3.7. Effect of DF-Loaded Nanoparticles on the Osteoblasts Treated for Inflammation: COX-2 Expression
3.8. DF-Loaded Nanoparticles Inhibit the Release of PGE2 from Osteoblasts Treated for Inflammation
4. Discussion
5. Conclusions
Supplementary Materials
Author Contributions
Funding
Data Availability Statement
Conflicts of Interest
References
- Etter, E.L.; Mei, K.-C.; Nguyen, J. Delivering More for Less: Nanosized, Minimal-Carrier and Pharmacoactive Drug Delivery Systems. Adv. Drug Deliv. Rev. 2021, 179, 113994. [Google Scholar] [CrossRef] [PubMed]
- Dutta, B.; Barick, K.C.; Hassan, P.A. Recent Advances in Active Targeting of Nanomaterials for Anticancer Drug Delivery. Adv. Colloid Interface Sci. 2021, 296, 102509. [Google Scholar] [CrossRef] [PubMed]
- Subramaniam, S.; Joyce, P.; Thomas, N.; Prestidge, C.A. Bioinspired Drug Delivery Strategies for Repurposing Conventional Antibiotics against Intracellular Infections. Adv. Drug Deliv. Rev. 2021, 177, 113948. [Google Scholar] [CrossRef] [PubMed]
- Jelinkova, P.; Mazumdar, A.; Sur, V.P.; Kociova, S.; Dolezelikova, K.; Jimenez, A.M.J.; Koudelkova, Z.; Mishra, P.K.; Smerkova, K.; Heger, Z.; et al. Nanoparticle-Drug Conjugates Treating Bacterial Infections. J. Control. Release 2019, 307, 166–185. [Google Scholar] [CrossRef]
- Macedo, L.D.O.; Barbosa, E.J.; Löbenberg, R.; Bou-Chacra, N.A. Anti-Inflammatory Drug Nanocrystals: State of Art and Regulatory Perspective. Eur. J. Pharm. Sci. 2021, 158, 105654. [Google Scholar] [CrossRef]
- Wong, C.Y.; Al-Salami, H.; Dass, C.R. Potential of Insulin Nanoparticle Formulations for Oral Delivery and Diabetes Treatment. J. Control. Release 2017, 264, 247–275. [Google Scholar] [CrossRef]
- Ozawa, T.; Yoshimura, H.; Kim, S.B. Advances in Fluorescence and Bioluminescence Imaging. Anal. Chem. 2013, 85, 590–609. [Google Scholar] [CrossRef]
- Clynes, M.A.; Harvey, N.C.; Curtis, E.M.; Fuggle, N.R.; Dennison, E.M.; Cooper, C. The Epidemiology of Osteoporosis. Br. Med. Bull. 2020, 133, 105–117. [Google Scholar] [CrossRef]
- Salari, N.; Ghasemi, H.; Mohammadi, L.; Behzadi, M.H.; Rabieenia, E.; Shohaimi, S.; Mohammadi, M. The Global Prevalence of Osteoporosis in the World: A Comprehensive Systematic Review and Meta-Analysis. J. Orthop. Surg. Res. 2021, 16, 609. [Google Scholar] [CrossRef]
- Curtis, E.M.; Moon, R.J.; Dennison, E.M.; Harvey, N.C.; Cooper, C. Recent Advances in the Pathogenesis and Treatment of Osteoporosis. Clin. Med. 2016, 16, 360–364. [Google Scholar] [CrossRef] [Green Version]
- Grässel, S.; Zaucke, F.; Madry, H. Osteoarthritis: Novel Molecular Mechanisms Increase Our Understanding of the Disease Pathology. J. Clin. Med. 2021, 10, 1938. [Google Scholar] [CrossRef]
- Ain, Q.; Zeeshan, M.; Khan, S.; Ali, H. Biomimetic Hydroxyapatite as Potential Polymeric Nanocarrier for the Treatment of Rheumatoid Arthritis. J. Biomed. Mater. Res. Part A 2019, 107, 2595–2600. [Google Scholar] [CrossRef]
- Gomez-Morales, J.; Iafisco, M.; Delgado-López, J.M.; Sarda, S.; Drouet, C. Progress on the preparation of nanocrystalline apatites and surface characterization: Overview of fundamental and applied aspects. Prog. Cryst. Growth Charact. Mater. 2013, 59, 1–46. [Google Scholar] [CrossRef] [Green Version]
- Hu, Y.Y.; Rawal, A.; Schmidt-Rohr, K. Strongly bound citrate stabilizes the apatite nanocrystals in bone. Proc. Natl. Acad. Sci. USA 2010, 107, 22425–224259. [Google Scholar] [CrossRef] [Green Version]
- Low, K.L.; Tan, S.H.; Zein, S.H.S.; Roether, J.A.; Mouriño, V.; Boccaccini, A.R. Calcium Phosphate-Based Composites as Injectable Bone Substitute Materials: A Review. J. Biomed. Mater. Res. Part B Appl. Biomater. 2010, 94B, 273–286. [Google Scholar] [CrossRef]
- Ding, Z.Z.; Fan, Z.H.; Huang, X.W.; Bai, S.M.; Song, D.W.; Lu, Q.; Kaplan, D.L. Bioactive Natural Protein–Hydroxyapatite Nanocarriers for Optimizing Osteogenic Differentiation of Mesenchymal Stem Cells. J. Mater. Chem. B 2016, 4, 3555–3561. [Google Scholar] [CrossRef] [Green Version]
- Gera, S.; Sampathi, S.; Dodoala, S. Role of Nanoparticles in Drug Delivery and Regenerative Therapy for Bone Diseases. Curr. Drug Deliv. 2017, 14, 904–916. [Google Scholar] [CrossRef]
- Pietrzykowska, E.; Romelczyk-Baishya, B.; Chodara, A.; Koltsov, I.; Smogór, H.; Mizeracki, J.; Pakieła, Z.; Łojkowski, W. Microstructure and Mechanical Properties of Inverse Nanocomposite Made from Polylactide and Hydroxyapatite Nanoparticles. Materials 2022, 15, 184. [Google Scholar] [CrossRef]
- Bystrova, A.; Dekhtyar, Y.D.; Popov, A.; Coutinho, J.; Bystrov, V. Modified hydroxyapatite structure and properties: Modeling and synchrotron data analysis of modified hydroxyapatite structure. Ferroelectrics 2015, 475, 135–147. [Google Scholar] [CrossRef]
- Munir, M.U.; Salman, S.; Javed, I.; Bukhari, S.N.A.; Ahmad, N.; Shad, N.A.; Aziz, F. Nano-Hydroxyapatite as a Delivery System: Overview and Advancements. Artif. Cells Nanomed. Biotechnol. 2021, 49, 717–727. [Google Scholar] [CrossRef]
- Tram Do, T.N.; Lee, W.-H.; Loo, C.-Y.; Zavgorodniy, A.V.; Rohanizadeh, R. Hydroxyapatite Nanoparticles as Vectors for Gene Delivery. Ther. Deliv. 2012, 3, 623–632. [Google Scholar] [CrossRef]
- Zhang, Y.; Zhang, L.; Ban, Q.; Li, J.; Li, C.-H.; Guan, Y.-Q. Preparation and Characterization of Hydroxyapatite Nanoparticles Carrying Insulin and Gallic Acid for Insulin Oral Delivery. Nanomed. Nanotechnol. Biol. Med. 2018, 14, 353–364. [Google Scholar] [CrossRef]
- Iafisco, M.; Delgado-Lopez, J.M.; Varoni, E.M.; Tampieri, A.; Rimondini, L.; Gomez-Morales, J.; Prat, M. Cell Surface Receptor Targeted Biomimetic Apatite Nanocrystals for Cancer Therapy. Small 2013, 9, 3834–3844. [Google Scholar] [CrossRef]
- Khalifehzadeh, R.; Arami, H. Biodegradable Calcium Phosphate Nanoparticles for Cancer Therapy. Adv. Colloid Interface Sci. 2020, 279, 102157. [Google Scholar] [CrossRef]
- Oltolina, F.; Gregoletto, L.; Colangelo, D.; Gómez-Morales, J.; Delgado-López, J.M.; Prat, M. Monoclonal Antibody-Targeted Fluorescein-5-Isothiocyanate-Labeled Biomimetic Nanoapatites: A Promising Fluorescent Probe for Imaging Applications. Langmuir 2015, 31, 1766–1775. [Google Scholar] [CrossRef]
- Chen, M.-H.; Yoshioka, T.; Ikoma, T.; Hanagata, N.; Lin, F.-H.; Tanaka, J. Photoluminescence and Doping Mechanism of Theranostic Eu 3+/Fe 3+ Dual-Doped Hydroxyapatite Nanoparticles. Sci. Technol. Adv. Mater. 2014, 15, 055005. [Google Scholar] [CrossRef]
- Gómez-Morales, J.; Fernández-Penas, R.; Romero-Castillo, I.; Verdugo-Escamilla, C.; Choquesillo-Lazarte, D.; D’Urso, A.; Prat, M.; Fernández-Sánchez, J.F. Crystallization, Luminescence and Cytocompatibility of Hexagonal Calcium Doped Terbium Phosphate Hydrate Nanoparticles. Nanomaterials 2021, 11, 322. [Google Scholar] [CrossRef]
- Haque, S.T.; Islam, R.A.; Gan, S.H.; Chowdhury, E.H. Characterization and Evaluation of Bone-Derived Nanoparticles as a Novel pH-Responsive Carrier for Delivery of Doxorubicin into Breast Cancer Cells. Int. J. Mol. Sci. 2020, 21, 6721. [Google Scholar] [CrossRef]
- Delgado-López, J.M.; Iafisco, M.; Rodríguez, I.; Tampieri, A.; Prat, M.; Gómez-Morales, J. Crystallization of Bioinspired Citrate-Functionalized Nanoapatite with Tailored Carbonate Content. Acta Biomater. 2012, 8, 3491–3499. [Google Scholar] [CrossRef]
- Jabalera, Y.; Oltolina, F.; Prat, M.; Jimenez-Lopez, C.; Fernández-Sánchez, J.F.; Choquesillo-Lazarte, D.; Gómez-Morales, J. Eu-doped citrate-coated carbonated apatite luminescent nanoprobes for drug delivery. Nanomaterials 2020, 10, 199. [Google Scholar] [CrossRef] [PubMed] [Green Version]
- Shang, H.-B.; Chen, F.; Wu, J.; Qi, C.; Lu, B.-Q.; Chen, X.; Zhu, Y.-J. Multifunctional biodegradable terbium-doped calcium phosphate nanoparticles: Facile preparation, pH-sensitive drug release and in vitro bioimaging. RSC Adv. 2014, 4, 53122–53129. [Google Scholar] [CrossRef]
- Wang, Y.; Lu, Y.; Zhang, J.; Hu, X.; Yang, Z.; Guo, Y.; Wang, Y. A synergistic antibacterial effect between terbium ions and reduced graphene oxide in a poly(vinyl alcohol)–alginate hydrogel for treating infected chronic wounds. J. Mater. Chem. B 2019, 7, 538–547. [Google Scholar] [CrossRef]
- Liu, D.D.; Ge, K.; Jin, Y.; Sun, J.; Wang, S.X.; Yang, M.S.; Zhang, J.C. Terbium promotes adhesion and osteogenic differentiation of mesenchymal stem cells via activation of the Smad-dependent TGF-β/BMP signaling pathway. J. Biol. Inorg. Chem. 2014, 19, 879–891. [Google Scholar] [CrossRef] [PubMed]
- Romero-Castillo, I.; López-Ruiz, E.; Fernández-Sánchez, J.F.; Marchal, J.A.; Gómez-Morales, J. Self-Assembled Type I Collagen-Apatite Fibers with Varying Mineralization Extent and Luminescent Terbium Promote Osteogenic Differentiation of Mesenchymal Stem Cells. Macromol. Biosci. 2021, 21, 2000319. [Google Scholar] [CrossRef]
- Gan, T.J. Diclofenac: An Update on Its Mechanism of Action and Safety Profile. Curr. Med. Res. Opin. 2010, 26, 1715–1731. [Google Scholar] [CrossRef]
- Rojas, A.; Chen, D.; Ganesh, T.; Varvel, N.H.; Dingledine, R. The COX-2/Prostanoid Signaling Cascades in Seizure Disorders. Expert Opin. Ther. Targets 2019, 23, 1–13. [Google Scholar] [CrossRef]
- Rainsford, K.D. Profile and Mechanisms of Gastrointestinal and Other Side Effects of Nonsteroidal Anti-Inflammatory Drugs (NSAIDs). Am. J. Med. 1999, 107, 27–35. [Google Scholar] [CrossRef]
- Kołodziejska, J.; Kołodziejczyk, M. Diclofenac in the Treatment of Pain in Patients with Rheumatic Diseases. Rheumatology 2018, 56, 174–183. [Google Scholar] [CrossRef] [Green Version]
- Gouda, A.A.; Kotb El-Sayed, M.I.; Amin, A.S.; el Sheikh, R. Spectrophotometric and Spectrofluorometric Methods for the Determination of Non-Steroidal Anti-Inflammatory Drugs: A Review. Arab. J. Chem. 2013, 6, 145–163. [Google Scholar] [CrossRef] [Green Version]
- Bosetti, M.; Leigheb, M.; Brooks, R.A.; Boccafoschi, F.; Cannas, M.F. Regulation of Osteoblast and Osteoclast Functions by FGF-6. J. Cell. Physiol. 2010, 225, 466–471. [Google Scholar] [CrossRef]
- Roato, I.; Belisario, D.C.; Compagno, M.; Verderio, L.; Sighinolfi, A.; Mussano, F.; Genova, T.; Veneziano, F.; Pertici, G.; Perale, G.; et al. Adipose-Derived Stromal Vascular Fraction/Xenohybrid Bone Scaffold: An Alternative Source for Bone Regeneration. Stem Cells Int. 2018, 2018, 4126379. [Google Scholar] [CrossRef]
- Zamperone, A.; Pietronave, S.; Merlin, S.; Colangelo, D.; Ranaldo, G.; Medico, E.; di Scipio, F.; Berta, G.N.; Follenzi, A.; Prat, M. Isolation and Characterization of a Spontaneously Immortalized Multipotent Mesenchymal Cell Line Derived from Mouse Subcutaneous Adipose Tissue. Stem Cells Dev. 2013, 22, 2873–2884. [Google Scholar] [CrossRef] [Green Version]
- Sidney, L.E.; Heathman, T.R.; Britchford, E.R.; Abed, A.; Rahman, C.V.; Buttery, L.D. Investigation of localized delivery of diclofenac sodium from poly(D,L-lactic acid-co-glycolic acid)/poly(ethylene glycol) scaffolds using an in vitro osteoblast inflammation model. Tissue Eng. Part A 2015, 21, 362–373. [Google Scholar] [CrossRef] [Green Version]
- Fornai, M.; Blandizzi, C.; Colucci, R.; Antonioli, L.; Bernardini, N.; Segnani, C.; Baragatti, B.; Barogi, S.; Berti, P.; Spisni, R.; et al. Role of Cyclooxygenases 1 and 2 in the Modulation of Neuromuscular Functions in the Distal Colon of Humans and Mice. Gut 2005, 54, 608–616. [Google Scholar] [CrossRef] [Green Version]
- Ramírez-Rodríguez, G.B.; Delgado-López, J.M.; Gómez-Morales, J. Evolution of Calcium Phosphate Precipitation in Hanging Drop Vapor Diffusion by in Situ Raman Microspectroscopy. CrystEngComm 2013, 15, 2206. [Google Scholar] [CrossRef]
- Langmuir, I. The Adsorption of Gases on Plane Surfaces of Glass, Mica and Platinum. J. Am. Chem. Soc. 1918, 40, 1361–1403. [Google Scholar] [CrossRef] [Green Version]
- Adamson, A.W. Physical Chemistry of Surfaces; Wiley: New York, NY, USA, 1997. [Google Scholar]
- López-Macipe, A.; Gómez-Morales, J.; Rodríguez-Clemente, R. The Role of pH in the Adsorption of Citrate Ions on Hydroxyapatite. J. Colloid Interface Sci. 1998, 200, 114–120. [Google Scholar] [CrossRef]
- Reed, B.E.; Matsumoto, M.R. Modeling Cadmium Adsorption by Activated Carbon Using the Langmuir and Freundlich Isotherm Expressions. Sep. Sci. Technol. 1993, 28, 2179–2195. [Google Scholar] [CrossRef]
- Rodríguez-Ruiz, I.; Delgado-López, J.M.; Durán-Olivencia, M.A.; Iafisco, M.; Tampieri, A.; Colangelo, D.; Prat, M.; Gómez-Morales, J. pH-Responsive Delivery of Doxorubicin from Citrate–Apatite Nanocrystals with Tailored Carbonate Content. Langmuir 2013, 29, 8213–8221. [Google Scholar] [CrossRef]
- Azizian, S.; Eris, S. Adsorption Isotherms and Kinetics. In Interface Science and Technology; Academic Press: London, UK, 2021; Volume 33, pp. 445–509. [Google Scholar] [CrossRef]
- Hemmilä, I.; Dakubu, S.; Mukkala, V.-M.; Siitari, H.; Lövgren, T. Europium as a Label in Time-Resolved Immunofluorometric Assays. Anal. Biochem. 1984, 137, 335–343. [Google Scholar] [CrossRef]
- Lakowicz, J.R. Principles of Fluorescence Spectroscopy; Springer: Boston, MA, USA, 2006. [Google Scholar] [CrossRef]
- Kaur, A.; Dhakal, S. Recent Applications of FRET-Based Multiplexed Techniques. TrAC Trends Anal. Chem. 2020, 123, 115777. [Google Scholar] [CrossRef]
- Hänninen, P.; Härmä, H. (Eds.) Lanthanide Luminescence Photophysical, Analytical and Biological Aspects; Springer: Berlin/Heidelberg, Germany, 2011. [Google Scholar] [CrossRef]
- Medina-Velazquez, D.Y.; Caldiño, U.; Morales-Ramirez, A.; Reyes-Miranda, J.; Lopez, R.E.; Escudero, R.; Ruiz-Guerrero, R.; Morales Perez, M.F. Synthesis of Luminescent Terbium-Thenoyltriflouroacetone MOF Nanorods for Green Laser Application. Opt. Mater. 2019, 87, 3–10. [Google Scholar] [CrossRef] [Green Version]
- Richardson, F.S. Terbium(III) and Europium(III) Ions as Luminescent Probes and Stains for Biomolecular Systems. Chem. Rev. 1982, 82, 541–552. [Google Scholar] [CrossRef]
- ISO 10993-5; Biological Evaluation of Medical Devices Part 5: Tests for In Vitro Cytotoxicity. International Standard Organization: Geneve, Switzerland, 2009.
- Fenton, O.S.; Olafson, K.N.; Pillai, P.S.; Mitchell, M.J.; Langer, R. Advances in Biomaterials for Drug Delivery. Adv. Mat. 2018, 30, e1705328. [Google Scholar] [CrossRef]
- Van der Meel, R.; Sulheim, E.; Shi, Y.; Kiessling, F.; Mulder, W.J.M.; Lammers, T. Smart cancer nanomedicine. Nat. Nanotechnol. 2019, 14, 1007–1017. [Google Scholar] [CrossRef]
- Larous, S.; Meniai, A.-H. Adsorption of Diclofenac from Aqueous Solution Using Activated Carbon Prepared from Olive Stones. Int. J. Hydrog. Energy 2016, 41, 10380–10390. [Google Scholar] [CrossRef]
- Abbas, A.M.B.; Muhseen, R.J. Adsorption of Diclofenac Sodium and Ibuprofen by Bentonite Polyureaformaldehyde Thermodynamics and Kinetics Study. Iraqi J. Chem. Pet. Eng. 2018, 19, 29–43. [Google Scholar]
- Cohen, Y.; Rutenberg, R.; Cohen, G.; Veltman, B.; Gvirtz, R.; Fallik, E.; Danino, D.; Eltzov, E.; Poverenov, E. Aminated Polysaccharide-Based Nanoassemblies as Stable Biocompatible Vehicles Enabling Crossing of Biological Barriers: An Effective Transdermal Delivery of Diclofenac Medicine. ACS Appl. Bio Mater. 2020, 3, 2209–2217. [Google Scholar] [CrossRef]
- Arias, J.L.; López-Viota, M.; Sáez-Fernández, E.; Ruiz, M.A. Formulation and Physicochemical Characterization of Poly(ɛ-Caprolactone) Nanoparticles Loaded with Ftorafur and Diclofenac Sodium. Colloids Surf. B Biointerfaces 2010, 75, 204–208. [Google Scholar] [CrossRef]
- Al-Lawati, H.; Vakili, M.R.; Lavasanifar, A.; Ahmed, S.; Jamali, F. Reduced Heart Exposure of Diclofenac by Its Polymeric Micellar Formulation Normalizes CYP-Mediated Metabolism of Arachidonic Acid Imbalance in an Adjuvant Arthritis Rat Model: Implications in Reduced Cardiovascular Side Effects of Diclofenac by Nanodrug Delivery. Mol. Pharm. 2020, 17, 1377–1386. [Google Scholar] [CrossRef]
- Agotegaray, M.; Palma, S.; Lassalle, V. Novel Chitosan Coated Magnetic Nanocarriers for the Targeted Diclofenac Delivery. J. Nanosci. Nanotechnol. 2014, 14, 3343–3347. [Google Scholar] [CrossRef]
- Pereira, M.B.B.; França, D.B.; Araújo, R.C.; Silva Filho, E.C.; Rigaud, B.; Fonseca, M.G.; Jaber, M. Amino Hydroxyapatite/Chitosan Hybrids Reticulated with Glutaraldehyde at Different PpH Values and Their Use for Diclofenac Removal. Carbohydr. Polym. 2020, 236, 116036. [Google Scholar] [CrossRef]
- Fasolino, I.; Soriente, A.; Ambrosio, L.; Grazia Raucci, M. Osteogenic and Anti-Inflammatory Behavior of Injectable Calcium Phosphate Loaded with Therapeutic Drugs. Nanomaterials 2020, 10, 1743. [Google Scholar] [CrossRef]
- Gómez-Morales, J.; Verdugo-Escamilla, C.; Fernández-Penas, R.; Parra-Milla, C.M.; Drouet, C.; Iafisco, M.; Oltolina, F.; Prat, M.; Fernández-Sánchez, J.F. Bioinspired Crystallization, Sensitized Luminescence and Cytocompatibility of Citrate-Functionalized Ca-Substituted Europium Phosphate Monohydrate Nanophosphors. J. Colloid Interface Sci. 2019, 538, 174–186. [Google Scholar] [CrossRef] [Green Version]
- Hughes, F.J.; Buttery, L.D.K.; Hukkanen, M.V.J.; O’Donnell, A.; Maclouf, J.; Polak, J.M. Cytokine-Induced Prostaglandin E2 Synthesis and Cyclooxygenase-2 Activity Are Regulated Both by a Nitric Oxide-Dependent and -Independent Mechanism in Rat Osteoblasts in Vitro. J. Biol. Chem. 1999, 274, 1776–1782. [Google Scholar] [CrossRef] [Green Version]













| Substrate, T (°C) | R2 | KLF | r | Qmax (mg/mg) | Adsorption Type |
|---|---|---|---|---|---|
| cAp, 25 °C | 0.9679 | 2.77 | 1.794 | 0.04648 | Cooperative, high affinity |
| cAp, 37 °C | 0.9709 | 0.05 | 0.5536 | 0.05067 | Non-cooperative, low affinity |
| cAp-Tb, 25 °C | 0.9503 | 2.98 | 1.0973 | 0.05411 | Cooperative, high affinity |
| cAp-Tb, 37 °C | 0.9482 | 0.65 | 0.3751 | 0.06306 | Non-cooperative, low affinity |
| Parameter | cAp-DF, 25 °C, pH = 7.4 | cAp-DF, 37 °C, pH = 7.4 | cAp-Tb-DF, 25 °C, pH = 7.4 | cAp-Tb-DF, 37 °C, pH = 7.4 | cAp-DF, 25 °C, pH = 5.2 | cAp-DF, 37 °C, pH = 5.2 | cAp-Tb-DF, 25 °C, pH = 5.2 | cAp-Tb DF, 37 °C, pH = 5.2 |
|---|---|---|---|---|---|---|---|---|
| QDmax (mg/mg) | 0.01128 | 0.01177 | 0.01007 | 0.01066 | 0.01048 | 0.01300 | 0.01073 | 0.01185 |
| Dr (%wt) | 24.26 | 23.24 | 18.55 | 16.90 | 23.33 | 25.66 | 19.84 | 18.79 |
Publisher’s Note: MDPI stays neutral with regard to jurisdictional claims in published maps and institutional affiliations. |
© 2022 by the authors. Licensee MDPI, Basel, Switzerland. This article is an open access article distributed under the terms and conditions of the Creative Commons Attribution (CC BY) license (https://creativecommons.org/licenses/by/4.0/).
Share and Cite
Cano Plá, S.M.; D’Urso, A.; Fernández-Sánchez, J.F.; Colangelo, D.; Choquesillo-Lazarte, D.; Ferracini, R.; Bosetti, M.; Prat, M.; Gómez-Morales, J. Biomimetic Citrate-Coated Luminescent Apatite Nanoplatforms for Diclofenac Delivery in Inflammatory Environments. Nanomaterials 2022, 12, 562. https://doi.org/10.3390/nano12030562
Cano Plá SM, D’Urso A, Fernández-Sánchez JF, Colangelo D, Choquesillo-Lazarte D, Ferracini R, Bosetti M, Prat M, Gómez-Morales J. Biomimetic Citrate-Coated Luminescent Apatite Nanoplatforms for Diclofenac Delivery in Inflammatory Environments. Nanomaterials. 2022; 12(3):562. https://doi.org/10.3390/nano12030562
Chicago/Turabian StyleCano Plá, Sandra Maria, Annarita D’Urso, Jorge Fernando Fernández-Sánchez, Donato Colangelo, Duane Choquesillo-Lazarte, Riccardo Ferracini, Michela Bosetti, Maria Prat, and Jaime Gómez-Morales. 2022. "Biomimetic Citrate-Coated Luminescent Apatite Nanoplatforms for Diclofenac Delivery in Inflammatory Environments" Nanomaterials 12, no. 3: 562. https://doi.org/10.3390/nano12030562
APA StyleCano Plá, S. M., D’Urso, A., Fernández-Sánchez, J. F., Colangelo, D., Choquesillo-Lazarte, D., Ferracini, R., Bosetti, M., Prat, M., & Gómez-Morales, J. (2022). Biomimetic Citrate-Coated Luminescent Apatite Nanoplatforms for Diclofenac Delivery in Inflammatory Environments. Nanomaterials, 12(3), 562. https://doi.org/10.3390/nano12030562

