Nanoscale-Resistive Switching in Forming-Free Zinc Oxide Memristive Structures
Abstract
:1. Introduction
2. Materials and Methods
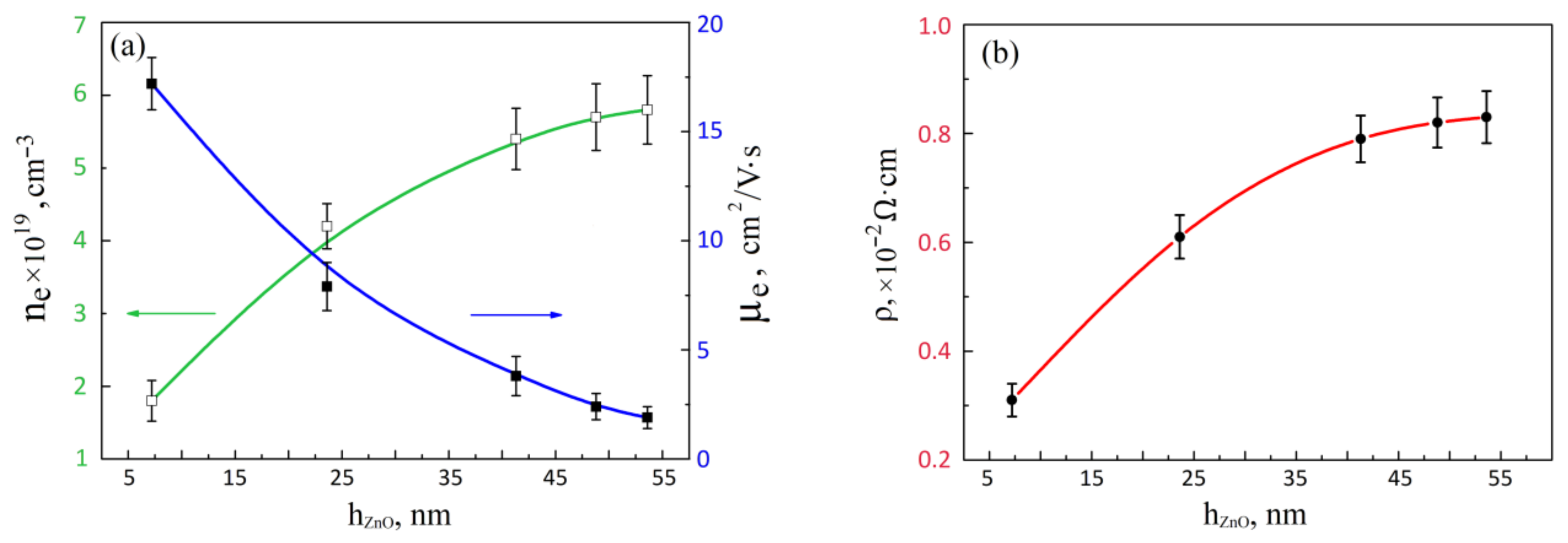
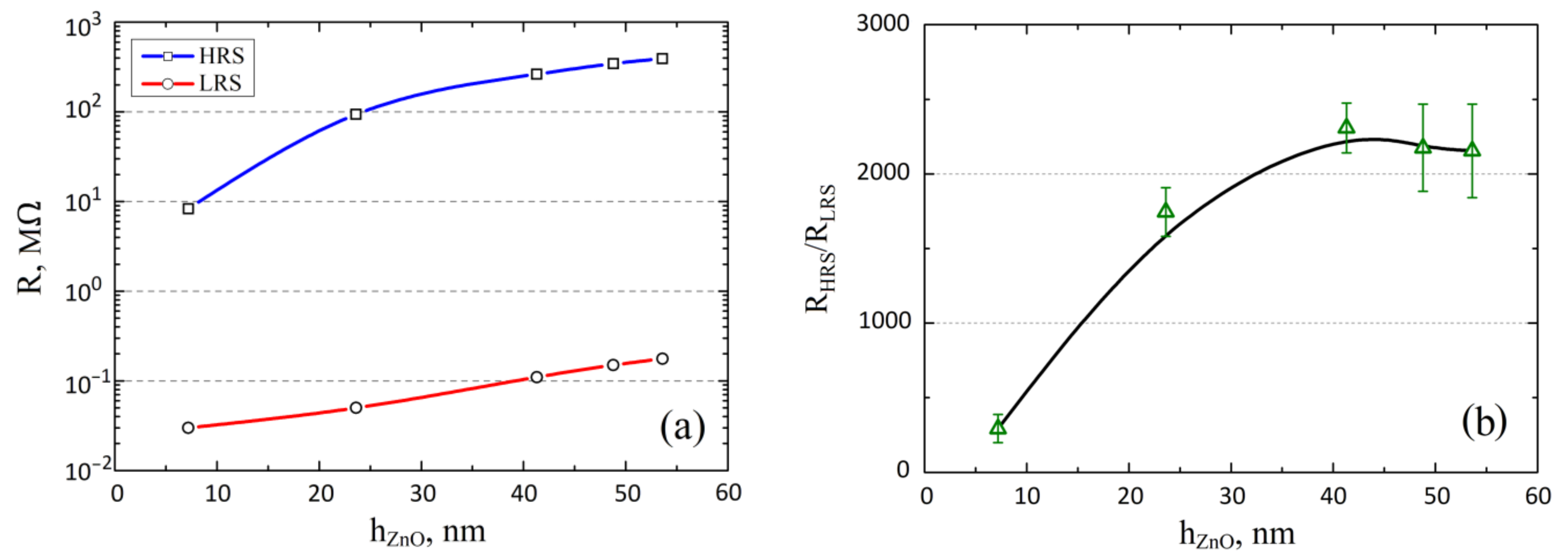
3. Results
4. Conclusions
Supplementary Materials
Author Contributions
Funding
Conflicts of Interest
References
- Schaller, R.R. Moore’s law: Past, present and future. IEEE Spectr. 1997, 34, 52–59. [Google Scholar] [CrossRef]
- Steinbuch, M.; Oomen, T.; Vermeulen, H. Motion Control, Mechatronics Design, and Moore’s Law. IEEJ J. Ind. Appl. 2021, 1, 21006010. [Google Scholar] [CrossRef]
- Burg, D.; Ausubel, J.H. Moore’s Law revisited through Intel chip density. PLoS ONE 2021, 16, e0256245. [Google Scholar] [CrossRef] [PubMed]
- Ajayan, J.; Nirmal, D.; Tayal, S.; Bhattacharya, S.; Arivazhagan, L.; Fletcher, A.A.; Ajitha, D. Nanosheet field effect transistors-A next generation device to keep Moore’s law alive: An intensive study. Microelectron. J. 2021, 114, 105141. [Google Scholar] [CrossRef]
- Xia, F.; Yang, L.T.; Wang, L.; Vinel, A. Internet of things. Int. J. Commun. Syst. 2012, 25, 1101. [Google Scholar] [CrossRef]
- Xu, W.; Zhou, H.; Cheng, N.; Lyu, F.; Shi, W.; Chen, J.; Shen, X. Internet of vehicles in big data era. IEEE/CAA J. Autom. Sin. 2017, 5, 19–35. [Google Scholar] [CrossRef]
- Radamson, H.H.; Zhu, H.; Wu, Z.; He, X.; Lin, H.; Liu, J.; Wang, G. State of the art and future perspectives in advanced CMOS technology. Nanomaterials 2020, 10, 1555. [Google Scholar] [CrossRef]
- Smirnov, V. Nanolithography by local anodic oxidation of thin titanium film. In Piezoelectrics and Nanomaterials: Fundamentals, Developments and Applications, 1st ed.; Parinov, I., Ed.; Nanotechnology Science and Technology: Rostov-on-Don, Russia, 2015; Volume 1, pp. 85–103. [Google Scholar]
- Tominov, R.V.; Vakulov, Z.E.; Avilov, V.I.; Khakhulin, D.A.; Polupanov, N.V.; Smirnov, V.A.; Ageev, O.A. The Effect of Growth Parameters on Electrophysical and Memristive Properties of Vanadium Oxide Thin Films. Molecules 2021, 26, 118. [Google Scholar] [CrossRef]
- Klimin, V.S.; Tominov, R.V.; Avilov, V.I.; Dukhan, D.D.; Rezvan, A.A.; Zamburg, E.G.; Ageev, O.A. Nanoscale profiling and memristor effect of ZnO thin films for RRAM and neuromorphic devices application. Int. Soc. Opt. Photonics 2018, 11022, 110220E. [Google Scholar]
- Smith, L.S. Neuromorphic systems: Past, present and future. Brain Inspired Cogn. Syst. 2008, 1, 167–182. [Google Scholar]
- Zenke, F.; Bohté, S.M.; Clopath, C.; Comşa, I.M.; Göltz, J.; Maass, W.; Masquelier, T.; Naud, R.; Neftci, E.O.; Petrovici, M.A.; et al. Visualizing a joint future of neuroscience and neuromorphic engineering. Neuron 2021, 109, 571–575. [Google Scholar] [CrossRef] [PubMed]
- Demin, V.A.; Emelyanov, A.V.; Lapkin, D.A.; Erokhin, V.V.; Kashkarov, P.K.; Kovalchuk, M.V. Neuromorphic elements and systems as the basis for the physical implementation of artificial intelligence technologies. Crystallogr. Rep. 2016, 61, 992–1001. [Google Scholar] [CrossRef]
- Ho, Y.; Huang, G.M.; Li, P. Nonvolatile memristor memory: Device characteristics and design implications. In Proceedings of the 2009 International Conference on Computer-Aided Design 2009, San Jose, CA, USA, 2–5 November 2009; Volume 1, pp. 485–490. [Google Scholar]
- Chua, L. Resistance switching memories are memristors. Appl. Phys. A 2011, 102, 765–783. [Google Scholar] [CrossRef] [Green Version]
- Yang, J.J.; Strukov, D.B.; Stewart, D.R. Memristive devices for computing. Nat. Nanotechnol. 2013, 8, 13. [Google Scholar] [CrossRef]
- Ha, S.D.; Ramanathan, S. Adaptive oxide electronics: A review. J. Appl. Phys. 2011, 110, 14. [Google Scholar] [CrossRef]
- Li, Y.; Wang, Z.; Midya, R.; Xia, Q.; Yang, J.J. Review of memristor devices in neuromorphic computing: Materials sciences and device challenges. J. Phys. D Appl. Phys. 2018, 51, 503002. [Google Scholar] [CrossRef]
- Zhang, H.; Yoo, S.; Menzel, S.; Funck, C.; Cüppers, F.; Wouters, D.J.; Hoffmann-Eifert, S. Understanding the coexistence of two bipolar resistive switching modes with opposite polarity in Pt/TiO2/Ti/Pt nanosized ReRAM devices. ACS Appl. Mater. Interfaces 2018, 10, 29766–29778. [Google Scholar] [CrossRef]
- Bengel, C.; Cüppers, F.; Payvand, M.; Dittmann, R.; Waser, R.; Hoffmann-Eifert, S.; Menzel, S. Utilizing the Switching Stochasticity of HfO2/TiOx-Based ReRAM Devices and the Concept of Multiple Device Synapses for the Classification of Overlapping and Noisy Patterns. Front. Neurosci. 2021, 15, 661856. [Google Scholar] [CrossRef]
- Chen, Y. ReRAM: History, status, and future. IEEE Trans. Electron Devices 2020, 67, 1420–1433. [Google Scholar] [CrossRef]
- Li, B.; Doppa, J.R.; Pande, P.P.; Chakrabarty, K.; Qiu, J.X.; Li, H. 3D-ReG: A 3D ReRAM-based heterogeneous architecture for training deep neural networks. ACM J. Emerg. Technol. Comput. Syst. (JETC) 2020, 16, 1–24. [Google Scholar] [CrossRef] [Green Version]
- Patil, V.L.; Patil, A.A.; Patil, S.V.; Khairnar, N.A.; Tarwal, N.L.; Vanalakar, S.A.; Dongale, T.D. Bipolar resistive switching, synaptic plasticity and non-volatile memory effects in the solution-processed zinc oxide thin film. Mater. Sci. Semicond. Processing 2020, 106, 104769. [Google Scholar] [CrossRef]
- Partzsch, J.; Schuffny, R. Analyzing the scaling of connectivity in neuromorphic hardware and in models of neural networks. IEEE Trans. Neural Netw. 2011, 22, 919–935. [Google Scholar] [CrossRef] [PubMed]
- Ventra, D.M.; Pershin, Y.V. Biologically-inspired electronics with memory circuit elements. Adv. Neuromorphic Memristor Sci. Appl. 2012, 1, 15–36. [Google Scholar]
- Wang, H.; Li, H.; Pino, R.E. Memristor-based synapse design and training scheme for neuromorphic computing architecture. Int. Jt. Conf. Neural Netw. (IJCNN) 2012, 1, 1–5. [Google Scholar]
- Dowling, V.J.; Slipko, V.A.; Pershin, Y.V. Probabilistic memristive networks: Application of a master equation to networks of binary ReRAM cells. Chaos Solitons Fractals 2021, 142, 110385. [Google Scholar] [CrossRef]
- Al Chawa, M.M.; Picos, R.; Tetzlaff, R. A Compact Memristor Model for Neuromorphic ReRAM Devices in Flux-Charge Space. IEEE Trans. Circuits Syst. I Regul. Pap. 2021, 68, 3631–3641. [Google Scholar] [CrossRef]
- Xiao, Z.; Huang, J. Energy-efficient hybrid perovskite memristors and synaptic devices. Adv. Electron. Mater. 2016, 2, 1600100. [Google Scholar] [CrossRef]
- Chua, L. Memristor-the missing circuit element. IEEE Trans. Circuit Theory 1971, 18, 507–519. [Google Scholar] [CrossRef]
- Azghadi, M.R.; Linares-Barranco, B.; Abbott, D.; Leong, P.H. A hybrid CMOS-memristor neuromorphic synapse. IEEE Trans. Biomed. Circuits Syst. 2016, 11, 434–445. [Google Scholar] [CrossRef] [Green Version]
- Saxena, V. A compact CMOS memristor emulator circuit and its applications. In Proceedings of the 2018 IEEE 61st International Midwest Symposium on Circuits and Systems (MWSCAS), Windsor, ON, Canada, 5–8 August 2018; Volume 1, pp. 190–193. [Google Scholar]
- Lin, J.; Yuan, J.S. A scalable and reconfigurable in-memory architecture for ternary deep spiking neural network with ReRAM based neurons. Neurocomputing 2020, 375, 102–112. [Google Scholar] [CrossRef]
- Vishwakarma, K.; Kishore, R.; Datta, A. Symmetric Linear Rise and Fall of Conductance in a Trilayer Stack Engineered ReRAM-Based Synapse. ACS Appl. Electron. Mater. 2020, 2, 3263–3269. [Google Scholar] [CrossRef]
- Gale, E. TiO2-based memristors and ReRAM: Materials, mechanisms and models (a review). Semicond. Sci. Technol. 2014, 9, 104004. [Google Scholar] [CrossRef] [Green Version]
- Al-Mamun, M.; Orlowski, M. Electric conductivity of remotely heated Cu nanofilaments in Cu/TaOx/Pt ReRAM cells. J. Appl. Phys. 2020, 129, 055107. [Google Scholar] [CrossRef]
- Li, Y.; Zhong, Y.; Xu, L.; Zhang, J.; Xu, X.; Sun, H.; Miao, X. Ultrafast synaptic events in a chalcogenide memristor. Sci. Rep. 2013, 3, 1–7. [Google Scholar] [CrossRef] [PubMed] [Green Version]
- Qian, W.H.; Cheng, X.F.; Zhou, J.; He, J.H.; Li, H.; Xu, Q.F.; Lu, J.M. Lead-free perovskite MASnBr3-based memristor for quaternary information storage. InfoMat 2020, 2, 743–751. [Google Scholar] [CrossRef] [Green Version]
- Romero, F.J.; Toral-Lopez, A.; Ohata, A.; Morales, D.P.; Ruiz, F.G.; Godoy, A.; Rodriguez, N. Laser-Fabricated reduced graphene oxide memristors. Nanomaterials 2019, 9, 897. [Google Scholar] [CrossRef] [Green Version]
- Mittermeier, B.; Bednar, A.; Kaiser, M.; Ruediger, A.; Schindler, C. Comparison of spin-on-glass and WO3 as an insulating layer for printed resistive memory devices. Mater. Technol. 2019, 34, 350–355. [Google Scholar] [CrossRef]
- Cao, X.; Li, X.; Gao, X.; Yu, W.; Liu, X.; Zhang, Y.; Cheng, X. Forming-free colossal resistive switching effect in rare-earth-oxide Gd2O3 films for memristor applications. J. Appl. Phys. 2009, 106, 073723. [Google Scholar] [CrossRef] [Green Version]
- Li, Y.; Chu, J.; Duan, W.; Cai, G.; Fan, X.; Wang, X.; Pei, Y. Analog and digital bipolar resistive switching in solution-combustion-processed NiO memristor. ACS Appl. Mater. Interfaces 2018, 10, 24598–24606. [Google Scholar] [CrossRef]
- Awais, M.N.; Muhammad, N.M.; Navaneethan, D.; Kim, H.C.; Jo, J.; Choi, K.H. Fabrication of ZrO2 layer through electrohydrodynamic atomization for the printed resistive switch (memristor). Microelectron. Eng. 2013, 103, 167–172. [Google Scholar] [CrossRef]
- Dongale, T.D.; Mohite, S.V.; Bagade, A.A.; Gaikwad, P.K.; Patil, P.S.; Kamat, R.K.; Rajpure, K.Y. Development of Ag/WO3/ITO thin film memristor using spray pyrolysis method. Electron. Mater. Lett. 2015, 11, 944–948. [Google Scholar] [CrossRef]
- Wang, X.; Qian, H.; Guan, L.; Wang, W.; Xing, B.; Yan, X.; Wang, Y. Influence of metal electrode on the performance of ZnO based resistance switching memories. J. Appl. Phys. 2017, 122, 154301. [Google Scholar] [CrossRef]
- She, Y.; Peng, Y.; Tang, B.; Hu, W.; Qiu, J.; Tang, X.; Bao, D. Bipolar resistive switching effects with self-compliance and multilevel storage characteristics in Ag/MgZnO/Si structures. Ceram. Int. 2018, 44, S11–S14. [Google Scholar] [CrossRef]
- Shan, F.; Guo, H.B.; Kim, H.S.; Lee, J.Y.; Sun, H.Z.; Gon Choi, S.; Kim, S.J. Enhanced electrical performance of structurally engineered memristor devices with multi-stacked indium zinc oxide films. Phys. Status Solidi (A) 2020, 217, 1900967. [Google Scholar] [CrossRef]
- Mika, K.; Socha, R.P.; Nyga, P.; Wiercigroch, E.; Małek, K.; Jarosz, M.; Zaraska, L. Electrochemical synthesis and characterization of dark nanoporous zinc oxide films. Electrochim. Acta 2019, 305, 349–359. [Google Scholar] [CrossRef]
- Dang, B.; Wu, Q.; Song, F.; Sun, J.; Yang, M.; Ma, X.; Hao, Y. A bio-inspired physically transient/biodegradable synapse for security neuromorphic computing based on memristors. Nanoscale 2018, 10, 20089–20095. [Google Scholar] [CrossRef]
- Tominov, R.V.; Smirnov, V.A.; Avilov, V.I.; Fedotov, A.A.; Klimin, V.S.; Chernenko, N.E. Formation of ZnO memristor structures by scratching probe nanolithography. Mater. Sci. Eng. 2018, 443, 012036. [Google Scholar] [CrossRef] [Green Version]
- Bhati, V.S.; Ranwa, S.; Fanetti, M.; Valant, M.; Kumar, M. Efficient hydrogen sensor based on Ni-doped ZnO nanostructures by RF sputtering. Sens. Actuators B Chem. 2018, 255, 588–597. [Google Scholar] [CrossRef]
- Tominov, R.V.; Zamburg, E.G.; Khakhulin, D.A.; Klimin, V.S.; Smirnov, V.A.; Chu, Y.H.; Ageev, O.A. Investigation of resistive switching of ZnxTiyHfzOi nanocomposite for RRAM elements manufacturing. J. Phys. Conf. Ser. 2017, 917, 032023. [Google Scholar] [CrossRef]
- Zhao, X.; Li, Y.; Ai, C.; Wen, D. Resistive switching characteristics of Li-doped ZnO thin films based on magnetron sputtering. Materials 2019, 12, 1282. [Google Scholar] [CrossRef] [Green Version]
- Li, S.S.; Su, Y.K. Oxygen-Vacancy Induced Resistive Switching Effect in Mn-Doped ZnO Memory Devices. Phys. Status Solidi (RRL)–Rapid Res. Lett. 2019, 13, 1800453. [Google Scholar] [CrossRef]
- Li, S.S.; Su, Y.K. Improvement of the performance in Cr-doped ZnO memory devices via control of oxygen defects. RSC Adv. 2019, 9, 2941–2947. [Google Scholar] [CrossRef] [Green Version]
- Boppidi, P.K.R.; Raj, P.M.P.; Challagulla, S.; Gollu, S.R.; Roy, S.; Banerjee, S.; Kundu, S. Unveiling the dual role of chemically synthesized copper doped zinc oxide for resistive switching applications. J. Appl. Phys. 2018, 124, 214901. [Google Scholar] [CrossRef]
- Kao, M.C.; Chen, H.Z.; Chen, K.H.; Shi, J.B.; Weng, J.H.; Chen, K.P. Resistive switching behavior and optical properties of transparent Pr-doped ZnO based resistive random access memory. Thin Solid Film. 2020, 697, 137816. [Google Scholar] [CrossRef]
- Abbas, H.; Abbas, Y.; Hassan, G.; Sokolov, A.S.; Jeon, Y.R.; Ku, B.; Choi, C. The coexistence of threshold and memory switching characteristics of ALD HfO2 memristor synaptic arrays for energy-efficient neuromorphic computing. Nanoscale 2020, 12, 14120–14134. [Google Scholar] [CrossRef] [PubMed]
- Porro, S.; Bejtka, K.; Jasmin, A.; Fontana, M.; Milano, G.; Chiolerio, A.; Ricciardi, C. A Multi-level memristor based on atomic layer deposition of iron oxide. Nanotechnology 2018, 29, 495201. [Google Scholar] [CrossRef]
- Hadi, S.A.; Humood, K.M.; Abi Jaoude, M.; Abunahla, H.; Al Shehhi, H.F.; Mohammad, B. Bipolar Cu/HfO2/p++ Si memristors by sol-gel spin coating method and their application to environmental sensing. Sci. Rep. 2019, 9, 1–15. [Google Scholar]
- Santos, Y.P.; Valença, E.; Machado, R.; Macêdo, M.A. A novel structure ZnO-Fe-ZnO thin film memristor. Mater. Sci. Semicond. Processing 2018, 86, 43–48. [Google Scholar] [CrossRef]
- Xue, Q.; Wang, Y.C.; Wei, X.H. Synaptic plasticity of room-temperature fabricated amorphous MoOx film based memristor. Appl. Surf. Sci. 2019, 479, 469–474. [Google Scholar] [CrossRef]
- Ageev, O.A.; Gusev, E.Y.; Zamburg, E.G.; Vakulov, D.E.; Vakulov, Z.E.; Shumov, A.V.; Ivonin, M.N. Nanocrystalline ZnO films grown by PLD for NO2 and NH3 sensor. Appl. Mech. Mater. 2014, 475, 446–450. [Google Scholar]
- Tominov, R.V.; Vakulov, Z.E.; Avilov, V.I.; Khakhulin, D.A.; Fedotov, A.A.; Zamburg, E.G.; Smirnov, V.A.; Ageev, O.A. Synthesis and Memristor Effect of a Forming-Free ZnO Nanocrystalline Films. Nanomaterials 2020, 10, 1007. [Google Scholar] [CrossRef] [PubMed]
- Smirnov, V.A.; Tominov, R.V.; Avilov, V.I.; Alyabieva, N.I.; Vakulov, Z.E.; Zamburg, E.G.; Ageev, O.A. Investigation into the Memristor Effect in Nanocrystalline ZnO Films. Semiconductors 2019, 53, 72–77. [Google Scholar] [CrossRef]
- Chen, Y.L.; Ho, M.S.; Lee, W.J.; Chung, P.F.; Balraj, B.; Sivakumar, C. The mechanism underlying silicon oxide based resistive random-access memory (ReRAM). Nanotechnology 2020, 31, 145709. [Google Scholar] [CrossRef] [PubMed]
- Yang, B.; Xu, N.; Li, C.; Huang, C.; Ma, D.; Liu, J.; Fang, L. A forming-free ReRAM cell with low operating voltage. IEICE Electron. Express 2020, 17, 20200343. [Google Scholar] [CrossRef]
- Xu, N.; Liu, L.; Sun, X.; Liu, X.; Han, D.; Wang, Y.; Yu, B. Characteristics and mechanism of conduction/set process in TiN/ZnO/Pt resistance switching random-access memories. Appl. Phys. Lett. 2008, 92, 232112. [Google Scholar] [CrossRef]
- Yang, J.J.; Pickett, M.D.; Li, X.; Ohlberg, D.A.; Stewart, D.R.; Williams, R.S. Memristive switching mechanism for metal/oxide/metal nanodevices. Nat. Nanotechnol. 2008, 3, 429–433. [Google Scholar] [CrossRef]
- Goux, L.; Czarnecki, P.; Chen, Y.Y.; Pantisano, L.; Wang, X.; Degraeve, R.; Altimime, L. Evidences of oxygen-mediated resistive-switching mechanism in TiN\HfO2\Pt cells. Appl. Phys. Lett. 2010, 97, 243509. [Google Scholar] [CrossRef]
- Develos, K.D.; Kusunoki, M.; Mukaida, M.; Ohshima, S. Effect of deposition rate on the surface morphology of CeO2 films deposited by pulsed laser deposition. Phys. C Supercond. 1999, 320, 21–30. [Google Scholar] [CrossRef]
- Rupp, J.L.; Infortuna, A.; Gauckler, L.J. Microstrain and self-limited grain growth in nanocrystalline ceria ceramics. Acta Mater. 2006, 54, 1721–1730. [Google Scholar] [CrossRef]
- Chiu, F.C. A review on conduction mechanisms in dielectric films. Adv. Mater. Sci. Eng. 2014, 2014, 1–18. [Google Scholar] [CrossRef] [Green Version]
- Luo, J.M.; Lin, S.P.; Zheng, Y.; Wang, B. Nonpolar resistive switching in Mn-doped BiFeO3 thin films by chemical solution deposition. Appl. Phys. Lett. 2012, 101, 062902. [Google Scholar] [CrossRef]
- Das, O.P.; Pandey, S.K. Effect of conducting filament radius on local temperature and activation power of ON-state ReRAM device. Semicond. Sci. Technol. 2021, 36, 095039. [Google Scholar] [CrossRef]









| Bottom-Electrode Material | TiN | Pt | ZnO:In | ZnO:Pd |
|---|---|---|---|---|
| RHRS, MΩ | 276.11 ± 8.43 | 1141.37 ± 13.24 | 61.38 ± 2.54 | 0.67 ± 0.01 |
| RLRS, MΩ | 0.120 ± 0.005 | 1.310 ± 0.003 | 0.231 ± 0.032 | 0.041 ± 0.002 |
| RHRS/RLRS | 2307.8 ± 166.4 | 871.3 ± 12.1 | 272.5 ± 48.7 | 16.4 ± 1.1 |
| Uset, V | 1.9 ± 0.2 | 2.7 ± 0.4 | 2.3 ± 0.2 | 1.2 ± 0.1 |
| Ures, V | −1.3 ± 0.5 | −2.2 ± 0.6 | −2.7 ± 0.3 | −1.3 ± 0.1 |
| No. Sample | 1 | 2 | 3 | 4 | 5 |
|---|---|---|---|---|---|
| Substrate temperature, °C | 500 | ||||
| Number of laser pulses | 1000 | 2000 | 3000 | 4000 | 5000 |
| Laser pulse repetition rate, Hz | 10 | ||||
| Oxygen pressure, mTorr | 0.5 | ||||
| Film thickness (hZnO), nm | 7.2 ± 2.5 | 23.6 ± 6.7 | 41.2 ± 9.7 | 48.8 ± 15.0 | 53.6 ± 18.3 |
| Surface roughness (Ra), nm | 2.3 ± 0.2 | 5.5 ± 1.2 | 8.1 ± 1.6 | 13.1 ± 1.9 | 16.2 ± 2.1 |
| No. Sample | 1 | 2 | 3 | 4 | 5 |
|---|---|---|---|---|---|
| RHRSp, MΩ | 8.12 ± 0.79 | 104.22 ± 4.52 | 276.11 ± 8.43 | 305.12 ± 13.11 | 386.71 ± 18.22 |
| RLRSp, MΩ | 0.030 ± 0.007 | 0.060 ± 0.003 | 0.120 ± 0.005 | 0.142 ± 0.013 | 0.182 ± 0.018 |
| RHRSs, MΩ | 7.93 ± 0.93 | 89.31 ± 12.7 | 250.54 ± 15.52 | 328.26 ± 39.41 | 378.81 ± 38.82 |
| RLRSs, MΩ | 0.035 ± 0.012 | 0.061 ± 0.002 | 0.114 ± 0.009 | 0.148 ± 0.026 | 0.182 ± 0.053 |
| RHRSp/RLRSp | 292.7 ± 94.6 | 1745.1 ± 162.6 | 2307.8 ± 166.4 | 2175.4 ± 291.4 | 2154.7 ± 313.3 |
| RHRSs/RLRSs | 267.1 ± 118.1 | 1472.5 ± 256.4 | 2224.3 ± 311.6 | 2336.8 ± 676.8 | 2342.1 ± 895.3 |
Publisher’s Note: MDPI stays neutral with regard to jurisdictional claims in published maps and institutional affiliations. |
© 2022 by the authors. Licensee MDPI, Basel, Switzerland. This article is an open access article distributed under the terms and conditions of the Creative Commons Attribution (CC BY) license (https://creativecommons.org/licenses/by/4.0/).
Share and Cite
Tominov, R.V.; Vakulov, Z.E.; Polupanov, N.V.; Saenko, A.V.; Avilov, V.I.; Ageev, O.A.; Smirnov, V.A. Nanoscale-Resistive Switching in Forming-Free Zinc Oxide Memristive Structures. Nanomaterials 2022, 12, 455. https://doi.org/10.3390/nano12030455
Tominov RV, Vakulov ZE, Polupanov NV, Saenko AV, Avilov VI, Ageev OA, Smirnov VA. Nanoscale-Resistive Switching in Forming-Free Zinc Oxide Memristive Structures. Nanomaterials. 2022; 12(3):455. https://doi.org/10.3390/nano12030455
Chicago/Turabian StyleTominov, Roman V., Zakhar E. Vakulov, Nikita V. Polupanov, Aleksandr V. Saenko, Vadim I. Avilov, Oleg A. Ageev, and Vladimir A. Smirnov. 2022. "Nanoscale-Resistive Switching in Forming-Free Zinc Oxide Memristive Structures" Nanomaterials 12, no. 3: 455. https://doi.org/10.3390/nano12030455
APA StyleTominov, R. V., Vakulov, Z. E., Polupanov, N. V., Saenko, A. V., Avilov, V. I., Ageev, O. A., & Smirnov, V. A. (2022). Nanoscale-Resistive Switching in Forming-Free Zinc Oxide Memristive Structures. Nanomaterials, 12(3), 455. https://doi.org/10.3390/nano12030455

