Next Article in Journal
Remarkably High-Performance Nanosheet GeSn Thin-Film Transistor
Next Article in Special Issue
Sustainable and Printable Nanocellulose-Based Ionogels as Gel Polymer Electrolytes for Supercapacitors
Previous Article in Journal
Biocompatible Electrochemical Sensor Based on Platinum-Nickel Alloy Nanoparticles for In Situ Monitoring of Hydrogen Sulfide in Breast Cancer Cells
Previous Article in Special Issue
On the Use of Carbon Cables from Plastic Solvent Combinations of Polystyrene and Toluene in Carbon Nanotube Synthesis
 
 
Font Type:
Arial Georgia Verdana
Font Size:
Aa Aa Aa
Line Spacing:
Column Width:
Background:
Communication

Luminescence of SiO2-BaF2:Tb3+, Eu3+ Nano-Glass-Ceramics Made from Sol–Gel Method at Low Temperature

by
Natalia Pawlik
1,*,
Barbara Szpikowska-Sroka
1,
Tomasz Goryczka
2,
Ewa Pietrasik
1 and
Wojciech A. Pisarski
1,*
1
Institute of Chemistry, University of Silesia, 40-007 Katowice, Poland
2
Institute of Materials Engineering, University of Silesia, 41-500 Chorzow, Poland
*
Authors to whom correspondence should be addressed.
Nanomaterials 2022, 12(2), 259; https://doi.org/10.3390/nano12020259
Submission received: 17 December 2021 / Revised: 11 January 2022 / Accepted: 12 January 2022 / Published: 14 January 2022
(This article belongs to the Special Issue Multifunctional Nanomaterials for Energy Applications)

Abstract

:
The synthesis and characterization of multicolor light-emitting nanomaterials based on rare earths (RE3+) are of great importance due to their possible use in optoelectronic devices, such as LEDs or displays. In the present work, oxyfluoride glass-ceramics containing BaF2 nanocrystals co-doped with Tb3+, Eu3+ ions were fabricated from amorphous xerogels at 350 °C. The analysis of the thermal behavior of fabricated xerogels was performed using TG/DSC measurements (thermogravimetry (TG), differential scanning calorimetry (DSC)). The crystallization of BaF2 phase at the nanoscale was confirmed by X-ray diffraction (XRD) measurements and transmission electron microscopy (TEM), and the changes in silicate sol–gel host were determined by attenuated total reflectance infrared (ATR-IR) spectroscopy. The luminescent characterization of prepared sol–gel materials was carried out by excitation and emission spectra along with decay analysis from the 5D4 level of Tb3+. As a result, the visible light according to the electronic transitions of Tb3+ (5D47FJ (J = 6–3)) and Eu3+ (5D07FJ (J = 0–4)) was recorded. It was also observed that co-doping with Eu3+ caused the shortening in decay times of the 5D4 state from 1.11 ms to 0.88 ms (for xerogels) and from 6.56 ms to 4.06 ms (for glass-ceramics). Thus, based on lifetime values, the Tb3+/Eu3+ energy transfer (ET) efficiencies were estimated to be almost 21% for xerogels and 38% for nano-glass-ceramics. Therefore, such materials could be successfully predisposed for laser technologies, spectral converters, and three-dimensional displays.

1. Introduction

Barium fluoride, BaF2, belongs to the group of attractive nanoparticles, produced using different preparation methods and applied in numerous multifunctional applications. Nd3+:BaF2 nanocrystals synthesized by the reverse microemulsion technique present interesting luminescence properties [1]. Indeed, the quenching of fluorescence intensity (λem = 1052 nm) in nanosized Nd3+:BaF2 domains was not observed even under very high dopant levels (~45 mol.% of Nd3+). Further experiments revealed the crystallization of cubic and orthorhombic BaF2 nanoparticles, and it was proven that such fluoride crystals could be quite easily transformed from the orthorhombic phase to the more thermodynamically stable cubic phase under certain preparation conditions. This effect was confirmed by X-ray diffraction (XRD) and high-resolution transmission electron microscopy (HR-TEM) used for self-assembled monodisperse BaF2 nanocrystals accomplished by the liquid–solid-solution (LSS) approach [2]. BaF2 nanocrystals were also fabricated from precursor Na2O-K2O-BaF2-Al2O3-SiO2 glasses via their controlled heat treatment. Their self-organized nanocrystallization processes [3] and size distribution [4] have been presented and discussed in detail. Luminescence properties of nanosized Eu3+-doped BaF2 synthesized via an ionic liquid-assisted solvothermal method in different solvents (e.g., DMSO, water, or water with PVP solution) confirmed that these fluoride nanoparticles can be effectively used for bioimaging applications [5].
From the accumulated experience and literature data, it is known that RE3+ ions can be introduced into the fluoride nanocrystals dispersed within the transparent glassy host. Indeed, several precursor glasses doped with RE3+ ions were heat treated to fabricate RE3+:BaF2 nanocrystals and obtain transparent glass-ceramics with enhanced luminescence properties. Nano-glass-ceramics with RE3+:BaF2 have been examined for visible [6] and near-infrared [7,8] luminescence as well as white up-conversion applications [9]. Special attention has been devoted to the structure and luminescent properties of BaF2 nanocrystals in glass-ceramics singly doped with Er3+ [10,11] and co-doped with Er3+/Yb3+ [12,13]. Among RE3+, trivalent europium ions are commonly used as a spectroscopic probe, indicating structural changes around the optically active ions and their surrounding environment [14]. Additionally, europium ions in a divalent oxidation state can also exist, thus, the silicate glasses containing EuF3 synthesized by melt-quenching in reducing atmosphere tend to form Eu2+-doped glass-ceramics after the heat-treatment process. The prepared glass-ceramic system with Eu2+:BaF2 nanocrystals could be potentially utilized as a blue phosphor for UV–LED applications [15]. Divalent europium ions in fluorosilicate glass-ceramics can be well stabilized via lattice site substitution [16]. In the field of preparation of the RE3+-doped glass-ceramics containing BaF2 nanocrystals, particular attention should also be focused on the sol–gel method. The first synthesis of 95SiO2−5BaF2 (mol.%) nano-glass-ceramics via the sol–gel technique was reported and described in work by D. Chen et al. [17]. The authors proved that the size of precipitated BaF2 nanocrystals (2–15 nm) and the luminescence of Er3+ ions are strictly dependent on heat-treatment conditions of initially obtained xerogels. C.E. Secu et al. [18,19] presented the fabrication, structure, and luminescence of 95SiO2–5BaF2 (mol.%) nano-glass-ceramics singly doped with Pr3+, Ho3+, Dy3+, Sm3+, and Eu3+ ions. Except for Eu3+-doped samples, the emission bands of other active dopants were revealed after controlled heat treatment of precursor xerogels, which was explained by incorporating RE3+ into BaF2 crystals (3–7 nm) and removing residual OH groups from the silicate sol–gel host. The recently published work by M. Hu et al. [20] was concentrated on properties of 95SiO2–5BaF2 (mol.%) glass-ceramics singly and doubly doped by Tb3+, Eu3+, and Dy3+ ions, containing fluoride nanocrystals with an average size of ~5 nm. The authors verified the thermal stability of generated luminescence in a range from 30 °C to 290 °C, proving that synthesized sol–gel nano-glass-ceramics could be utilized as color and white light emitters. The properties of RE3+-doped sol–gel glass-ceramics containing BaF2 nanocrystals were compared with other oxyfluoride systems in an extensive review published recently by Secu et al. [21]. This class of RE3+-doped materials is widely considered as a promising candidate for selected applications, e.g., three-dimensional displays, flat color screens, spectral converters, light-emitting diodes (LEDs), etc. [21].
Our previously published work [22] was concerned with sol–gel SiO2-BaF2 nano-glass-ceramic systems doped with europium ions in a trivalent oxidation state. Their structural and optical properties have been studied using various experimental techniques, such as differential scanning calorimetry (DSC), X-ray diffraction (XRD), transmission electron microscopy (TEM) coupled with the energy-dispersive X-ray spectroscopy (EDS), infrared (ATR-IR), and luminescence spectroscopy. The properties of Tb3+, Eu3+ co-doped glass-ceramic systems containing BaF2 nanocrystals made from the sol–gel method at a low temperature are communicated here. To the best of our knowledge, these aspects for SiO2-BaF2:Tb3+, Eu3+ nano-glass-ceramics have not yet been examined.

2. Materials and Methods

The xerogels singly doped with Tb3+ and co-activated with Tb3+, Eu3+ ions were prepared via the previously described sol–gel synthesis [22]. The reagents from Sigma-Aldrich (St. Louis, MO, USA) were applied for the fabrication the samples. In the first step of preparation, precursor (TEOS), ethanol, deionized water, and acetic acid (AcOH) were mixed (in a molar ratio 1:4:10:0.5) in round-bottom flasks for 30 min. TEOS, Si(OC2H5)4, was used as a precursor for creating the SiO2 silicate host, water was necessary to perform the hydrolysis reaction of TEOS, and AcOH played a role as a catalyst. Due to the significantly limited solubility of TEOS in water, ethyl alcohol was introduced into the reaction systems, enabling the hydrolysis reaction by increasing the TEOS–water contact surface. The hydrolysis could be expressed by the following reaction:
Si(OC2H5)4 + nH2O ⇄ Si(OH)n(OC2H5)(4-n) + nC2H5OH,
in which n ≤ 4. Simultaneously with the hydrolysis reaction, the condensation begins, which allows for the creation of a silicate network through the formation of siloxane bridges, Si–O–Si. The homocondensation could be given by the following chemical reaction:
(OC2H5)n(OH)(3-n)Si–OH + HO–Si(OC2H5)n(OH)(3-n)
(OC2H5)n(OH)(3-n)Si–O–Si(OC2H5)n(OH)(3–n) + H2O,
and the heterocondensation could be expressed by:
(OC2H5)n(OH)(3–n)Si–OH + C2H5O–Si(OC2H5)n(OH)(3–n)
(OC2H5)n(OH)(3–n)Si–O–Si(OC2H5)n(OH)(3–n) + C2H5OH,
in which n ≤ 3. The mechanisms of hydrolysis and condensation reactions of alkoxides were discussed in detail in the paper [23].
After pre-hydrolysis and pre-condensation, the solutions of Ba(AcO)2 and RE(AcO)3 (RE = Tb or Tb/Eu) in trifluoroacetic acid (CF3COOH, TFA) and deionized water were added dropwise, and the obtained mixtures were stirred for the next 60 min. Since the electrolytic dissociation of TFA acid (Ka = 5.9 × 10−1) is greater than for AcOH (Ka = 1.8 × 10−5), TFA is a much stronger acid than AcOH, and the following reaction occurs:
Ba(AcO)2 + 2TFA → Ba(TFA)2 + 2AcOH.
For Tb3+-doped samples, the molar ratio of TFA:Ba(AcO)2:Tb(AcO)3 was equal to 5:0.95:0.05, and for Tb3+, Eu3+ co-doped materials, the molar ratio of TFA:Ba(AcO)2:Tb(AcO)3:Eu(AcO)3 was equal to 5:0.9:0.05:0.05. The mass of TEOS, ethanol, deionized water, and acetic acid reached 90 wt.% of each sample, and the mass of the remaining part containing TFA, Ba(AcO)2, and RE(AcO)3 (RE = Tb or Tb/Eu) equaled 10 wt.%. The liquid sols were dried at 35 °C for several weeks and then heat treated at 350 °C per 10 h in a muffle furnace (Czylok, Jastrzębie-Zdrój, Poland). The thermal treatment of xerogels at 350 °C aims to transform them into SiO2-BaF2 nano-glass-ceramics. Indeed, TFA was introduced as a fluorination reagent, allowing for successful crystallization of BaF2 fraction inside the silicate sol–gel host. The fabricated xerogels were denoted as XGTb and XGTb/Eu (for singly and doubly doped xerogels), as well as nGCTb and nGCTb/Eu (for singly and co-doped nano-glass-ceramics).
The thermogravimetry and differential scanning calorimetry (TG/DSC) were carried out using a Labsys Evo system with a heating rate of 10 °C/min in argon atmosphere (SETARAM Instrumentation, Caluire, France). To verify the formation of fluoride nanocrystals within the silicate sol–gel host at 350 °C, the X-ray diffraction was performed using an X’Pert Pro diffractometer equipped by PANalytical with CuKα radiation (Almelo, the Netherlands). Additionally, the fluoride nanocrystals were observed by a JEOL JEM 3010 transmission electron microscope operated at 300 kV (JEOL, Tokyo, Japan). The structural characterization was supplemented by infrared spectroscopy (IR). The experiment was performed with the use of the Nicolet iS50 ATR spectrometer (Thermo Fisher Scientific Instruments, Waltham, MA, USA), and the spectra were collected in attenuated total reflectance (ATR) configuration within the 4000–400 cm−1 as well as 500–200 cm−1 ranges (64 scans, 4 cm−1 resolution).
The luminescence measurements were performed on a Photon Technology International (PTI) Quanta-Master 40 (QM40) UV/VIS Steady State Spectrofluorometer (Photon Technology International, Birmingham, NJ, USA) supplied with a tunable pulsed optical parametric oscillator (OPO) pumped by the third harmonic of a Nd:YAG laser (Opotek Opolette 355 LD, OPOTEK, Carlsbad, CA, USA). The laser system was coupled with a 75 W xenon lamp, a double 200 mm monochromator, and a multimode UV/VIS PMT (R928) (PTI Model 914) detector. The excitation and emission spectra were recorded with a resolution of 0.5 nm. The luminescence decay curves were recorded by a PTI ASOC-10 (USB-2500) oscilloscope. All structural and optical measurements were carried out at room temperature.

3. Results and Discussion

3.1. Thermal Behavior of Synthesized Xerogels

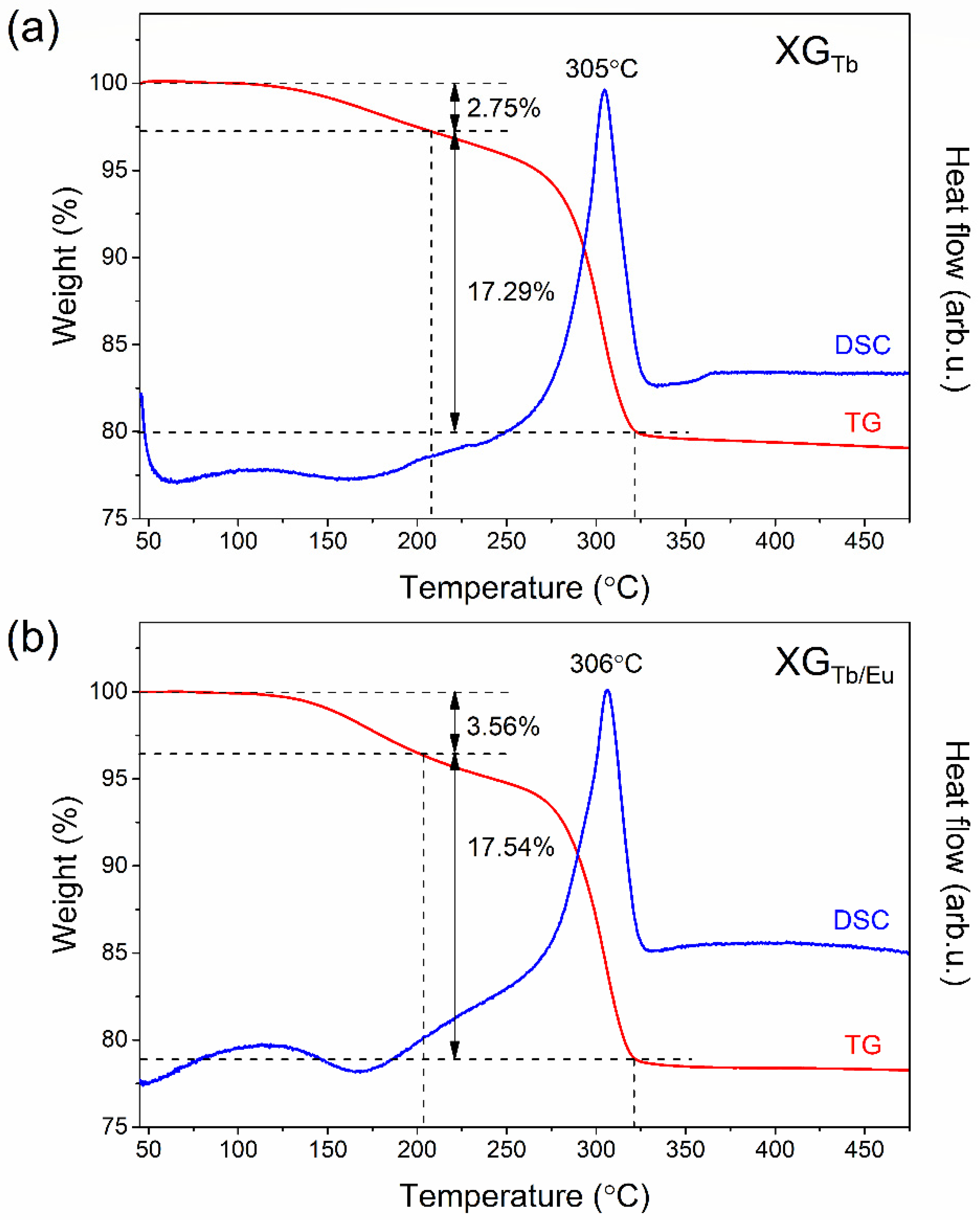
Figure 1 presents the TG/DSC curves recorded for fabricated xerogels in an inert gas atmosphere in a temperature range from 45 °C to 475 °C (the heating rate during measurement was 10 °C/min). According to TG curves, there are two distinguishable degradation steps for both fabricated samples: first, identified at 45–(~205) °C, and second, observed in the temperature range (~205) °C–(~320) °C. A slight weight loss, about 2.75% (XGTb) and 3.56% (XGTb/Eu), is associated with the elimination of residual solvents (ethyl alcohol, acetic acid) and water from the porous sol–gel host. At higher temperatures, strong exothermic peaks with maxima at 305 °C (XGTb) and 306 °C (XGTb/Eu) were identified, which appear along with ~17.55% weight loss. Generally, trifluoroacetates tend to decompose at temperatures near ~300 °C, which is well documented and described in the current literature [24,25,26]. Thus, recorded exothermic DSC peaks are clearly correlated with thermal decomposition of Ba(TFA)2 and crystallization of BaF2, which could be given by the chemical reaction:
Ba ( TFA ) 2 T BaF 2 + CF 3 CFO + CO 2 + CO .
The thermolysis led to cleavage of C–F bonds from −CF3 groups, and the resultant fluorine ions (F) tend to react with Ba–O bonds, forming BaF2 phase [27]. The heat exchanged during degradation of Ba(TFA)2 in studied sol–gel materials is close to −118 J/g. J. Farjas et al. [28] pointed out that the denoted heat exchange during the degradation of trifluoroacetates depends on atmosphere (air or ambient gas) and the presence of vapored water. Our obtained value is comparable with DSC results obtained for pure Ba(TFA)2 salt in argon atmosphere [28]. The data obtained from TG/DSC analysis for the studied sol–gel samples are shown in Table 1 and Table 2.

3.2. Structural Characterization by XRD, TEM, and ATR-IR

Figure 2 presents the X-ray diffraction (XRD) patterns of the xerogels and nano-glass-ceramics fabricated at 350 °C. The diffractograms collected for Tb3+ singly doped samples are depicted in Figure 2a, meanwhile, the data for Tb3+, Eu3+ co-doped materials are shown in Figure 2b. The XRD patterns of the precursor xerogels revealed any sharp diffraction lines, but only a broad hump with a maximum at ~25°, indicating their amorphous nature without long-range order [29]. Conversely, the intense diffraction lines were observed only after thermal treatment of xerogels at 350 °C for 10 h. The XRD patterns of prepared glass-ceramics are in accordance with the standard diffraction lines of cubic BaF2 crystallized in the Fm3m space group (ICDD card no. 00-004-0452), confirming the precipitation of fluoride crystals inside the silicate sol–gel matrix. The crystalline size of BaF2 in fabricated glass-ceramics was evaluated by calculations with the Scherrer formula given below [30]:
D = K λ B cos θ
in which K is a shape factor (in our calculations, K = 1 was taken), λ is a wavelength of X-rays (0.154056 nm, Kα line of Cu), Β is a broadening of the diffraction peak at half the maximum intensity, and θ is Bragg’s angle. The average crystal sizes of BaF2 were calculated to be 5 nm ± 0.1 nm for both nGCTb and nGCTb/Eu samples. The average size of BaF2 nanocrystallites was also calculated from a Williamson–Hall plot as follows [31]:
D = K λ β cos θ
where β is half of the width of the diffraction line, whereas (Δa/a) refers to the lattice deformation.
The Scherrer method makes the half-width of the diffraction line dependent only on the size of the crystallites. On the other hand, in the Williamson–Hall analysis, the internal stresses reflected by the lattice deformation are additionally taken into account in the broadening of the diffraction line. The mean crystal sizes, calculated with the Williamson–Hall method, were estimated to be 4.3 nm ± 0.1 nm for nGCTb, and 4.8 nm ± 0.1 nm for nGCTb/Eu. Moreover, the lattice deformation was negligible and less than 0.1%. The obtained results of the average crystallite size, from both methods, reveal good agreement. They proves the lack of internal stresses in the formed BaF2 particles. The crystal lattice parameters for BaF2 phase were determined to be 6.188 (8) Å (Tb3+-doped sample) and 6.169 (7) Å (Tb3+, Eu3+ co-doped sample), which are slightly smaller than the lattice parameter for undoped barium fluoride (a0 = 6.2001 Å). Indeed, both Tb3+ (1.04 Å) and Eu3+ (1.07 Å) ions [32] with smaller ionic radii could substitute Ba2+ (1.35 Å) [33] cations in BaF2 crystal lattice, resulting in a decrease in the unit cell volume. The indicated changes in the lattice parameter are also noticeable as a slight shift of the recorded diffraction lines towards higher values of the 2θ angle (an enlargement within a 22–28° angle, in which the (111) diffraction line was detected; shown in Figure 1). Additionally, it was observed that the shift of diffraction lines is more clearly visible for the nGCTb/Eu sample, which evidences that the total incorporation of RE3+ ions inside BaF2 nanocrystals is higher than for nGCTb. Similar results from XRD measurements were described in the literature for other oxyfluoride optical systems, e.g., SiO2-LaF3:Er3+ sol–gel nano-glass-ceramics [34] and germano-gallate glass-ceramics containing BaF2:Er3+ nanocrystals [11]. Figure 2c,d display the TEM images of prepared nano-glass-ceramic samples singly doped with Tb3+ and co-doped with Tb3+, Eu3+ ions, respectively. The size of BaF2 nanocrystals was average, estimated from the Scherrer equation and the Williamson–Hall method.
The ATR-IR spectrum within the 4000–400 cm−1 range for a representative XGTb/Eu sample is shown in Figure 3a, and the assignment of individual IR peaks was carried out based on the literature [35,36]. The recorded infrared signals confirmed the formation of a polycondensed silicate network created by Q2 (949 cm−1), Q3 (1045 cm−1), and Q4 (1134 cm−1) units of SiO2 tetrahedrons as well as Si–O–Si siloxane bridges (1192 cm−1, 801 cm−1). On the other hand, the signals recorded at ~3665 cm−1 and ~3400 cm−1, according to vicinal/geminal and hydrogen-bonded Si–OH groups, respectively, clearly pointed to the presence of unreacted silanol groups. Indeed, xerogels are highly porous materials [37], hence, the IR bands originating from Si–OH groups are expected. Indeed, the next recorded infrared band, 1659 cm−1, revealed the vibrations of Si–OH groups, but also oscillations within C=O carbonyl groups (from residual AcOH and unreacted TFA), as well as molecular water. A signal at ~3200 cm−1 was interpreted as vibrations from hydrogen-bonded OH groups in organic compounds and water, and may confirm that pores inside the silicate network are filled with liquids. It should be noted that peaks located near ~1134 cm−1 and ~1192 cm−1 could be assigned, despite Q4 units and Si–O–Si bridges, to oscillations of C–F bonds in Ba(TFA)2 and unreacted TFA. Indeed, a comparison of ATR-IR spectra in this region for XGTb/Eu xerogel and an analogous sample prepared without the addition of Ba(AcO)2 and TFA revealed that the signals are more intense for XGTb/Eu (inset of Figure 3a). This could point to the presence of additional oscillators that contribute to overall signals recorded at ~1134 cm−1 and ~1192 cm−1. The signal recorded at ~420 cm−1 was assigned to the O–Si–O bending vibration.
The ATR-IR spectrum within the 4000–400 cm−1 region registered for a representative nGCTb/Eu sample obtained at 350 °C is shown in Figure 3b. Compared with the ATR-IR spectrum for XGTb/Eu, the intensities of signals at >3000 cm−1 and 1659 cm−1 weakened significantly, which allows us to make conclusions about evaporation of volatile chemical components from the sol–gel host and progressive reactions between unreacted Si–OH groups. Additionally, it was also observed that for the nGCTb/Eu nano-glass-ceramic sample, the intensity of the IR signal near ~949 cm−1 is weaker than for the XGTb/Eu xerogel sample. An indicated effect may also suggest a continuation of polycondensation because Q2 units probably transformed into Q3 and Q4 ones, which favor the creation of a more cross-linked sol–gel host. It was also observed that intensities of IR signals near ~1134 cm−1 and ~1192 cm−1 weakened compared with those recorded for the xerogel. This effect could be explained by thermal decomposition of Ba(TFA)2 compound into BaF2 crystals within the prepared silicate sol–gel host in the proposed heat-treatment conditions. Indeed, the Ba–F vibrations might be observed at lower frequencies (inset of Figure 3b), which agrees with the IR spectrum recorded for pure BaF2 [38]. The peak with a maximum at ~440 cm−1 was recorded for both nGCTb/Eu nano-glass-ceramics and an analogous sample prepared without the addition of Ba(AcO)2 and TFA, confirming that such a band is not related to the fluoride fraction but to the oscillations within the silicate host (O–Si–O vibration). It should be noticed that this band shifts toward a higher frequency for nano-glass-ceramics in comparison with the xerogel. The reason for such spectral behavior could be explained by differences in the inter-tetrahedra angle of SiO4 units in xerogels and glass-ceramics, as was stated in the literature [39].

3.3. Luminescence of Amorphous Silicate Xerogels

Figure 4a shows the excitation spectra of the prepared XGTb/Eu samples. The spectra were registered within the 340–520 nm spectral range on collecting the luminescence at 541 nm and 612 nm wavelengths. The excitation spectrum, while monitoring the green emission line at 541 nm, revealed the characteristic bands for Tb3+ ions according to the following transitions within the near-UV and VIS scope: 7F65L9 (352 nm), 7F65L10 (370 nm), 7F65D3 (379 nm), and 7F65D4 (488 nm). Meanwhile, the spectrum recorded by collecting the red luminescence at 612 nm showed the excitation lines of Eu3+ related to the electronic transitions from the 7F0 ground level into the following excited states: 5GJ (376 nm), 5L7 (384 nm), 5L6 (394 nm), 5D3 (418 nm), and 5D2 (464 nm). However, it was observed that the spectrum recorded for XGTb/Eu contains some additional weak bands, which did not appear for the sample singly doped with Eu3+ (for better visibility, an enlargement of the 340–390 nm scope is presented in the inset of Figure 2a, and the bands are marked by asterisks). It should be noted that the recorded additional bands correspond to the contribution of excitation lines originating from Tb3+ ions (7F65L9 (352 nm), 7F65L10 (379 nm), and 7F65D4 (488 nm)). Moreover, a slight shift of the 7F05L7 band (from 384 nm to 382 nm) was also denoted, which could be related to its overlapping with the 7F65D3 excitation line originating from Tb3+ co-dopant. Hence, the obtained results could suggest the occurrence of Tb3+ → Eu3+ ET. A similar interpretation of excitation spectra was described for lead borate glasses co-doped with Tb3+ and Eu3+ ions [40].
The fluorescence spectra of prepared sol–gel specimens are displayed in Figure 4b. The emission spectrum recorded for the XGTb/Eu sample under excitation at 394 nm (presented as a red line) consisted of several emission lines at 574 nm (5D07F0), 590 nm (5D07F1), 612 nm (5D07F2), 648 nm (5D07F3), and 696 nm (5D07F4) within the reddish-orange light area. It was observed that the 5D07F2 red emission band is the most prominent luminescence line, and the spectrum is similar to other Eu3+-doped typical glassy-like optical materials described in the literature [41,42]. Based on the collected spectrum, the R/O ratio (red-to-orange) was calculated using the areas of the 5D07F2 (R) and the 5D07F1 (O) bands. The R/O ratio value estimated for precursor silicate xerogel is relatively high and equals 3.92. It indicates that Eu3+ ions are far from an inversion center, which is characteristic for amorphous materials. In the luminescence spectrum of the XGTb sample (marked as a green line), the bands centered at 486 nm, 541 nm, 580 nm, and 618 nm were attributed to the 5D47FJ (J = 6–3) electronic transitions, respectively.
To verify the occurrence of ET between Tb3+ and Eu3+ ions in the studied silicate xerogels, the emission spectrum for the XGTb/Eu sample was recorded upon excitation at a 352 nm wavelength (shown as a blue line). The spectrum consisted of the following emission bands in the VIS spectral range: blue (486 nm), an intense green (541 nm), yellowish-orange (584 nm), and red (616 nm). The same bands within the blue–green light area were detected for the XGTb xerogel, and the mentioned emission lines were ascribed to the 5D47F6 and the 5D47F5 electronic transitions, respectively. Although the positions of these emission bands are the same, their intensity is slightly lower for the co-doped XGTb/Eu sample than for the singly doped XGTb one. Simultaneously, an increase in luminescence intensity within the yellowish-orange as well as red ranges was observed, and—compared with emissions recorded for the XGTb xerogel—the maxima of these bands were slightly shifted (from 580 nm to 584 nm, and from 618 nm to 616 nm). Thus, based on this observation, we could conclude that the indicated shift is a result of the superimposition of the yellow (5D47F4, 580 nm) and red band (5D47F3, 618 nm) of Tb3+ ions with orange (5D07F1, 590 nm) and red (5D07F2, 612 nm) luminescence originating from Eu3+.
Hence, our experimental results indicate the occurrence of Tb3+/Eu3+ ET upon excitation at a 352 nm wavelength when Tb3+ ions are excited from the 7F6 ground state. Then, the electrons at the 5L9 level decay rapidly through the 5G5, 5L10, and 5D3 states by the multiphonon relaxation process until the 5D4 level is populated. Since there is the energetical resemblance of the 5D4 (Tb3+) and the 5D1/5D0 (Eu3+) levels, the Tb3+/Eu3+ energy migration is feasible, and the excitation energy is transferred from Tb3+ to the adjacent Eu3+ ion. The acceptor ions relax from the 5D0 state to the 7FJ levels, promoting the light emission within the reddish-orange spectral region [43]. The ET is schematized in the level diagram presented in Figure 5.
The decay curves were registered for the green light at 541 nm, upon excitation at 352 nm from the near-UV range (inset in Figure 4b). For xerogels, a mono-exponential fit was used to evaluate the lifetimes of Tb3+, and the fitted curves are marked with a black line, while the collected experimental data are shown as green and blue lines for XGTb and XGTb/Eu, respectively. A slight shortening in the decay time of the 5D4 (Tb3+) state from 1.11 ms (XGTb) to 0.88 ms (XGTb/Eu) was identified. An indicated decline in a lifetime for co-doped xerogel could be explained by introducing an additional decay pathway via Eu3+ ions. Indeed, the ET from Tb3+ to Eu3+ enhances the decay rate of the excited Tb3+ ions, resulting in the shortening of the 5D4 (Tb3+) lifetime. Hence, the analysis of luminescence decay curves also enables calculation of the efficiency of Tb3+/Eu3+ ET, based on the following equation [44]:
η ET = ( 1 τ τ 0 ) · 100 % .
where τ0 and τ are the lifetimes of the 5D4 (Tb3+) state for sample singly doped with Tb3+, and the sample co-doped with Tb3+, Eu3+ ions, respectively. In the case of the studied xerogels, the efficiency of Tb3+/Eu3+ ET was estimated to be about 21%, and the comparable values were denoted for, e.g., fluoroborate glass (ηET = 20%) [45].

3.4. Luminescence of SiO2-BaF2 Nano-Glass-Ceramics

The excitation spectra recorded for the nGCTb/Eu sample are shown in Figure 6a. The spectra emerged by monitoring the green luminescence characteristic for Tb3+ (541 nm), and the red emission originating from Eu3+ ions (612 nm). The luminescence of Tb3+ ions (541 nm) could be efficiently excited by the following wavelengths from the near-UV scope: 352 nm (7F65L9), 369 nm (7F65L10), and 377 nm (7F65D3), as well as from the VIS range: 485 nm (7F65D4). In the case of the excitation spectrum recorded at a 612 nm emission wavelength, an intense line appeared at 394 nm (7F05L6, Eu3+), but a few weaker bands at 376 nm (7F05GJ), 384 nm (7F05L7), 418 nm (7F05D3), and 465 nm (7F05D2) were also detected. Similarly, as for xerogels, the recorded additional excitation lines at 352 nm, 369 nm, and 485 nm—marked in Figure 6a by asterisks—are typical for the 7F65L9,10, 5D4 transitions of Tb3+ ions, which could suggest the occurrence of Tb3+/Eu3+ ET in the studied nano-glass-ceramic samples. Similar results were found for other Tb3+, Eu3+ co-doped fluoride-based optical systems, e.g., pure CaF2 nanocrystals [46], and glass-ceramics containing SrF2 [47], as well as NaYF4 nanocrystals [48].
Figure 6b depicts the emission spectra collected for nGCTb/Eu and nGCTb samples, recorded upon excitation at 352 nm (a blue line for nGCTb/Eu, and a green line for nGCTb) and 394 nm (a red line) wavelengths. An excitation of the nGCTb sample using 352 nm results in registration of the visible emissions ascribed to the 5D47F6 (487 nm), 5D47F5 (541 nm), 5D47F4 (580 nm, 587 nm), and 5D47F3 (619 nm) transitions characteristic for Tb3+ ions. Subsequently, when the nGCTb/Eu co-doped sample was excited by a 394 nm wavelength, the luminescence bands originating from Eu3+ ions centered at 589 nm (5D07F1), 611 nm/614 nm (5D07F2), 648 nm (5D07F3), and 688 nm/696 nm (5D07F4) were observed. One can see that, in contrast to xerogel, the 5D07F1 magnetic dipole transition dominates the spectrum, which indicates that Eu3+ ions are placed at sites close to an inversion symmetry [49]. According to the calculated R/O ratio value (3.92 for XGTb/Eu and 0.51 for nGCTb/Eu) and the literature [18], the observed change in emission profile clearly suggests that Eu3+ ions tend to embed into the BaF2 fluoride nanocrystal lattice by substituting Ba2+ cations. The decrease in the R/O ratio value was denoted for other Eu3+-doped oxyfluoride glass-ceramic systems described in the literature [50,51,52].
The emission spectrum of the nGCTb/Eu sample, collected upon 352 nm excitation, revealed an intense orange (589 nm) and red (611 nm/615 nm, and 647 nm) luminescence corresponding to the transitions of Eu3+ from the 5D0 level. Along with those bands, two emission lines with relatively low intensity were found within the blue–green scope and were assigned to the emissions originating from the 5D4 state of Tb3+ ions. Therefore, compared with XGTb/Eu, the luminescence in the reddish-orange spectral range is particularly enhanced for nGCTb/Eu. Based on this observation, we could conclude that the distance between interacting Tb3+ and Eu3+ ions in the prepared nano-glass-ceramics might be significantly shorter than in xerogels. Such shortening in the inter-ionic distance, strictly related to the segregation of rare earths inside BaF2 nanocrystals precipitated at 350 °C, could be responsible for a more efficient transfer of excitation energy from Tb3+ to Eu3+ ions.
For the SiO2-BaF2 nano-glass-ceramics, the luminescence decay from the 5D4 level follows a double-exponential function with two different decay lifetimes. It results from the distribution of RE3+ ions between either the sol–gel host (described by faster τ1 component) and BaF2 nanocrystals (described by longer τ2 lifetime). The results are presented in the inset of Figure 6b, and the fitted decay curves are labeled with a black line, whereas the experimental data are tagged as green and blue lines for nGCTb and nGCTb/Eu, respectively. For the sample singly doped with Tb3+ ions, the lifetime components are equal to τ1 = 2.51 ms and τ2 = 6.97 ms, while for the sample co-doped with Tb3+, Eu3+ the decay times are equal to τ1 = 1.05 ms and τ2 = 4.53 ms. Based on lifetime components, the average decay times, τavg, were calculated from the following formula [53]:
τ avg = A 1 τ 1 2 + A 2 τ 2 2 A 1 τ 1 + A 2 τ 2 .
Thus, the average luminescence lifetime of the 5D4 (Tb3+) state for nGCTb/Eu was determined to be τavg = 4.06 ms, and for nGCTb it equaled τavg = 6.56 ms. The analysis of luminescence decay curves showed a noticeable prolongation in lifetimes for SiO2-BaF2 nano-glass-ceramics compared with xerogels. It suggests that the amount of OH groups characterized by high vibrational energy (>3000 cm−1) should be significantly reduced in glass-ceramics. Moreover, the dopant ions tend to enter into the BaF2 nanocrystals characterized by low phonon energy (~319 cm−1 [54]), making the radiative relaxation from the 5D4 level more prominent compared with xerogels.
Additionally, based on luminescence lifetimes, the calculated ET efficiency for prepared SiO2-BaF2 nano-glass-ceramic exceeds 38%. In such a case, the distance between interacting RE3+ ions entering into BaF2 nanocrystals decreased, resulting in a reinforced transfer of energy absorbed by Tb3+ to Eu3+. Indeed, it is related to creating an energy transfer net among the donor and acceptor ions, causing the ET to become more frequent. Comparable values of ET efficiency were described for glass-ceramics containing YF3:1Tb3+, 0.5Eu3+ (mol.%) nanophase (ηET ≈ 39%) [55].
Summarizing, due to the unique properties of BaF2, e.g., a broad region of transparency from 0.14 μm up to 14 μm, wide bandgap (11 eV), and low maximum phonon energy (~319 cm−1), the oxyfluoride glass-ceramics containing BaF2 nanophase are extensively applied to generate an efficient up- [11] and down-conversion luminescence [9], or white light emission [20]. Therefore, such materials could be successfully used for laser technologies, spectral converters, and three-dimensional displays [10]. Since Eu3+ ions emit within the red or reddish-orange light area, and Tb3+ ions are well known as green emitters, the fabricated SiO2-BaF2:Tb3+, Eu3+ nano-glass-ceramics are able to generate multicolor luminescence. Thus, sol–gel materials might be considered for use as optical elements in RGB lighting optoelectronic devices operating upon near-UV excitation.

4. Conclusions

This work presented the fabrication of Tb3+, Eu3+ co-doped oxyfluoride glass-ceramics at 350 °C from xerogels prepared via the sol–gel technique. The analysis of the thermal behavior of xerogels was performed using TG/DSC measurements, and the structural properties were determined based on ATR-IR spectroscopy. The crystallization of BaF2 at the nanoscale was confirmed by XRD and TEM measurements. The characterization of sol–gel samples involved an excitation of the prepared sol–gel materials upon near-UV irradiation at 352 nm which showed the Tb3+/Eu3+ energy transfer, resulting in strengthening the luminescence within the reddish-orange light scope due to additional emission from Eu3+ ions. Nevertheless, for xerogels, the blue–green luminescence (5D47F5,6 of Tb3+) dominated, meanwhile, the reddish-orange emission (5D07F0–4 of Eu3+ overlapped with 5D47F4,3 bands of Tb3+) was particularly enhanced for SiO2-BaF2 nano-glass-ceramics. The luminescence decay kinetics showed that in the co-doped sol–gel materials, the energy transfer from Tb3+ to Eu3+ ions occurred with an efficiency that varied from 21% for xerogels to 38% for nano-glass-ceramics. An indicated increase in energy transfer efficiency for prepared nano-glass-ceramics could be explained by shortening the distance between interacting Tb3+ and Eu3+ ions embedded into the BaF2 nanocrystal lattice. The obtained results suggest that the fabricated SiO2-BaF2:Tb3+, Eu3+ nano-glass-ceramics could be predisposed to application in selected technologies, e.g., three-dimensional displays and color screens.

Author Contributions

Conceptualization, N.P.; methodology, N.P. and B.S.-S.; software, N.P.; validation, N.P.; formal analysis, N.P.; investigation, N.P., T.G. and E.P.; resources, W.A.P.; data curation, N.P.; writing—original draft preparation, N.P. and W.A.P.; writing—review and editing, N.P. and W.A.P.; visualization, N.P.; supervision, N.P.; project administration, N.P.; funding acquisition, W.A.P. All authors have read and agreed to the published version of the manuscript.

Funding

The research activities are co-financed by the funds granted under the Research Excellence Initiative of the University of Silesia in Katowice.

Institutional Review Board Statement

Not applicable.

Informed Consent Statement

Not applicable.

Data Availability Statement

The data presented in this study are available on request from the corresponding authors.

Conflicts of Interest

The authors declare no conflict of interest.

References

  1. Bender, C.M.; Burlitch, J.M.; Barber, D.; Pollock, C. Synthesis and fluorescence of neodymium-doped barium fluoride nanoparticles. Chem. Mater. 2000, 12, 1969–1976. [Google Scholar] [CrossRef]
  2. Xie, T.; Li, S.; Peng, Q.; Li, Y. Monodisperse BaF2 Nanocrystals: Phases, Size Transitions, and Self-Assembly. Angew. Chem. Int. Ed. 2009, 48, 196–200. [Google Scholar] [CrossRef]
  3. Bocker, C.; Rüssel, C. Self-organized nano-crystallisation of BaF2 from Na2O/K2O/BaF2/Al2O3/SiO2 glasses. J. Eur. Ceram. Soc. 2009, 29, 1221–1225. [Google Scholar] [CrossRef]
  4. Bocker, C.; Bhattacharyya, S.; Höche, T.; Rüssel, C. Size distribution of BaF2 nanocrystallites in transparent glass ceramics. Acta Mater. 2009, 57, 5956–5963. [Google Scholar] [CrossRef]
  5. Sharma, R.K.; Nigam, S.; Chouryal, Y.N.; Nema, S.; Bera, S.P.; Bhargava, Y.; Ghosh, P. Eu-Doped BaF2 Nanoparticles for Bioimaging Applications. ACS Appl. Nano Mater. 2019, 2, 927–936. [Google Scholar] [CrossRef]
  6. Huang, L.; Jia, S.; Li, Y.; Zhao, S.; Deng, D.; Wanh, H.; Jia, G.; Hua, W.; Xu, S. Enhanced emissions in Tb3+-doped oxyfluoride scintillating glass ceramics containing BaF2 nanocrystals. Nucl. Instrum. Methods Phys. Res. Sect. A 2015, 788, 111–115. [Google Scholar] [CrossRef]
  7. Zhang, W.-J.; Chen, Q.-J.; Qian, Q.; Zhang, Q.-Y. The 1.2 and 2.0 µm emission from Ho3+ in glass ceramics containing BaF2 nanocrystals. J. Am. Ceram. Soc. 2012, 95, 663–669. [Google Scholar] [CrossRef]
  8. Zhao, Z.; Liu, C.; Xia, M.; Yin, Q.; Zhao, X.; Han, J. Intense ~1.2 µm emission from Ho3+/Y3+ ions co-doped oxyfluoride glass-ceramics containing BaF2 nanocrystals. J. Alloys Compd. 2017, 701, 392–398. [Google Scholar] [CrossRef]
  9. Li, C.; Xu, S.; Ye, R.; Deng, D.; Hua, Y.; Zhao, S.; Zhuang, S. White up-conversion emission in Ho3+/Tm3+/Yb3+ tri-doped glass ceramics embedding BaF2 nanocrystals. Phys. B 2011, 406, 1698–1701. [Google Scholar] [CrossRef]
  10. Zhao, Z.; Ai, B.; Liu, C.; Yin, Q.; Xia, M.; Zhao, X.; Jiang, Y. Er3+ Ions-Doped Germano-Gallate Oxyfluoride Glass-Ceramics Containing BaF2 Nanocrystals. J. Am. Ceram. Soc. 2015, 98, 2117–2121. [Google Scholar] [CrossRef]
  11. Lesniak, M.; Zmojda, J.; Kochanowicz, M.; Miluski, P.; Baranowska, A.; Mach, G.; Kuwik, M.; Pisarska, J.; Pisarski, W.A.; Dorosz, D. Spectroscopic Properties of Erbium-Doped Oxyfluoride Phospho-Tellurite Glass and Transparent Glass-Ceramic Containing BaF2 Nanocrystals. Materials 2019, 12, 3429. [Google Scholar] [CrossRef] [Green Version]
  12. Qiao, X.; Fan, X.; Wang, M.; Zhang, X. Spectroscopic properties of Er3+–Yb3+ co-doped glass ceramics containing BaF2 nanocrystals. J. Non-Cryst. Solids 2008, 354, 3273–3277. [Google Scholar] [CrossRef]
  13. Dan, H.K.; Zhou, D.; Wang, R.; Jiao, Q.; Yang, Z.; Song, Z.; Yu, X.; Qiu, J. Effects of gold nanoparticles on the enhancement of upconversion and near-infrared emission in Er3+/Yb3+ co-doped transparent glass–ceramics containing BaF2 nanocrystals. Ceram. Int. 2015, 41, 2648–2653. [Google Scholar] [CrossRef]
  14. Qiao, X.; Luo, Q.; Fan, X.; Wang, M. Local vibration around rare earth ions in alkaline earth fluorosilicate transparent glass and glass ceramics using Eu3+ probe. J. Rare Earths 2008, 26, 883–888. [Google Scholar] [CrossRef]
  15. Luo, Q.; Fan, X.; Qiao, X.; Yang, H.; Wang, M.; Zhang, X. Eu2+-doped glass ceramics containing BaF2 nanocrystals as a potential blue phosphor for UV-LED. J. Am. Ceram. Soc. 2009, 92, 942–944. [Google Scholar] [CrossRef]
  16. Wang, C.; Chen, X.; Luo, X.; Zhao, J.; Qiao, X.; Liu, Y.; Fan, X.; Qian, G.; Zhang, X.; Han, G. Stabilization of divalent Eu2+ in fluorosilicate glass-ceramics via lattice site substitution. RSC Adv. 2018, 8, 34536–34542. [Google Scholar] [CrossRef] [Green Version]
  17. Chen, D.; Wang, Y.; Yu, Y.; Ma, E.; Zhou, L. Microstructure and luminescence of transparent glass ceramics containing Er3+:BaF2 nano-crystals. J. Solid State Chem. 2006, 179, 532–537. [Google Scholar] [CrossRef]
  18. Secu, C.E.; Secu, M.; Ghica, C.; Mihut, L. Rare-earth doped sol-gel derived oxyfluoride glass-ceramics: Structural and optical characterization. Opt. Mater. 2011, 33, 1770–1774. [Google Scholar] [CrossRef]
  19. Secu, C.E.; Bartha, C.; Polosan, S.; Secu, M. Thermally activated conversion of a silicate gel to an oxyfluoride glass ceramics: Optical study using Eu3+ probe ion. J. Lumin. 2014, 146, 539–543. [Google Scholar] [CrossRef]
  20. Hu, M.; Yang, Y.; Min, X.; Liu, B.; Wu, Y.; Wu, Y.; Yu, L. Rare earth ion (RE = Tb/Eu/Dy) doped nanocrystalline oxyfluoride glass-ceramic 5BaF2−95SiO2. J. Am. Ceram. Soc. 2021, 104, 5317–5327. [Google Scholar] [CrossRef]
  21. Secu, M.; Secu, C.; Bartha, C. Optical Properties of Transparent Rare-Earth Doped Sol-Gel Derived Nano-Glass Ceramics. Materials 2021, 14, 6871. [Google Scholar] [CrossRef]
  22. Pawlik, N.; Szpikowska-Sroka, B.; Pisarska, J.; Goryczka, T.; Pisarski, W.A. Reddish-Orange Luminescence from BaF2:Eu3+ Fluoride Nanocrystals Dispersed in Sol-Gel Materials. Materials 2019, 12, 3735. [Google Scholar] [CrossRef] [Green Version]
  23. Danks, A.E.; Hall, S.R.; Schnepp, Z. The evolution of ‘sol–gel’ chemistry as a technique for materials synthesis. Mater. Horiz. 2016, 3, 91–112. [Google Scholar] [CrossRef] [Green Version]
  24. Mosiadz, M.; Juda, K.L.; Hopkins, S.C.; Soloducho, J.; Glowacki, B.A. An in-depth in situ IR study of the thermal decomposition of yttrium trifluoroacetate hydrate. J. Therm. Anal. Calorim. 2012, 107, 681–691. [Google Scholar] [CrossRef]
  25. Yoshimura, Y.; Ohara, K. Thermochemical studies on the lanthanoid complexes of trifluoroacetic acid. J. Alloys Compd. 2006, 408–412, 573–576. [Google Scholar] [CrossRef]
  26. Kemnitz, E.; Noack, J. The non-aqueous fluorolytic sol–gel synthesis of nanoscaled metal fluorides. Dalton Trans. 2015, 44, 19411–19431. [Google Scholar] [CrossRef] [Green Version]
  27. Sun, X.; Zhang, Y.W.; Du, Y.P.; Yan, Z.G.; Si, R.; You, L.P.; Yan, C.H. From Trifluoroacetate Complex precursors to Monodisperse Rare-Earth Fluoride and Oxyfluoride Nanocrystals with Diverse Shapes through Controlled Fluorination in Solution Phase. Chem. Eur. J. 2007, 13, 2320–2332. [Google Scholar] [CrossRef]
  28. Farjas, J.; Camps, J.; Roura, P.; Ricart, S.; Puig, T.; Obradors, X. The thermal decomposition of barium trifluoroacetate. Thermochim. Acta 2012, 544, 77–83. [Google Scholar] [CrossRef]
  29. Khan, A.F.; Yadav, R.; Singh, S.; Dutta, V.; Chawla, S. Eu3+ doped silica xerogel luminescent layer having antireflection and spectrum modifying properties suitable for solar cell applications. Mater. Res. Bull. 2010, 45, 1562–1566. [Google Scholar] [CrossRef]
  30. De Pablos-Martín, A.; Mather, G.C.; Muñoz, F.; Bhattacharyya, S.; Höche, T.; Jinschek, J.R.; Heil, T.; Durán, A.; Pascual, M.J. Design of oxy-fluoride glass-ceramics containing NaLaF4 nano-crystals. J. Non-Cryst. Solids 2010, 356, 3071–3079. [Google Scholar] [CrossRef]
  31. Holder, C.F.; Schaak, R.E. Tutorial on Powder X-ray Diffraction for Characterizing Nanoscale Materials. ACS Nano 2019, 13, 7359–7365. [Google Scholar] [CrossRef] [Green Version]
  32. Qin, D.; Tang, W. Energy transfer and multicolor emission in single-phase Na5Ln(WO4)4-z(MoO4)z:Tb3+,Eu3+ (Ln = La, Y, Gd) phosphors. RSC Adv. 2016, 6, 45376–45385. [Google Scholar] [CrossRef]
  33. Hameed, A.S.H.; Karthikeyan, C.; Sasikumar, S.; Kumar, V.S.; Kumaresan, S.; Ravi, G. Impact of alkaline metal ions Mg2+, Ca2+, Sr2+ and Ba2+ on the structural, optical, thermal and antibacterial properties of ZnO nanoparticles prepared by the co-precipitation method. J. Mater. Chem. B 2013, 1, 5950–5962. [Google Scholar] [CrossRef]
  34. Gorni, G.; Velázquez, J.J.; Mosa, J.; Mather, G.C.; Serrano, A.; Vila, M.; Castro, G.R.; Bravo, D.; Balda, R.; Fernández, J.; et al. Transparent Sol-Gel Oxyfluoride Glass-Ceramics with High Crystalline Fraction and Study of RE Incorporation. Nanomaterials 2019, 9, 530. [Google Scholar] [CrossRef] [Green Version]
  35. Innocenzi, P. Infrared spectroscopy of sol-gel derived silica-based films: A spectra-microstructure overview. J. Non-Cryst. Solid. 2003, 316, 309–319. [Google Scholar] [CrossRef]
  36. Aguiar, H.; Serra, J.; González, P.; León, B. Structural study of sol-gel silicate glasses by IR and Raman spectroscopies. J. Non-Cryst. Solid. 2009, 355, 475–480. [Google Scholar] [CrossRef]
  37. Yamasaki, S.; Sakuma, W.; Yasui, H.; Daicho, K.; Saito, T.; Fujisawa, S.; Isogai, A.; Kanamori, K. Nanocellulose Xerogels With High Porosities and Large Specific Surface Areas. Front. Chem. 2019, 7, 316. [Google Scholar] [CrossRef] [Green Version]
  38. Richman, I. Longitudinal Optical Phonons in CaF2, SrF2, and BaF2. J. Chem. Phys. 1964, 41, 2836–2837. [Google Scholar] [CrossRef]
  39. Gorni, G.; Pascual, J.M.; Caballero, A.; Velázquez, J.J.; Mosa, J.; Castro, Y.; Durán, A. Crystallization mechanism in sol-gel oxyfluoride glass-ceramics. J. Non-Cryst. Solids 2018, 501, 145–152. [Google Scholar] [CrossRef]
  40. Pisarska, J.; Kos, A.; Sołtys, M.; Żur, L.; Pisarski, W.A. Energy transfer from Tb3+ to Eu3+ in lead borate glass. J. Non-Cryst. Solids 2014, 388, 1–5. [Google Scholar] [CrossRef]
  41. Shinozaki, K.; Honma, T.; Komatsu, T. High quantum yield and low concentration quenching of Eu3+ emission in oxyfluoride glass with high BaF2 and Al2O3 contents. Opt. Mater. 2014, 36, 1384–1389. [Google Scholar] [CrossRef]
  42. Deng, C.-B.; Zhang, M.; Lan, T.; Zhou, M.-J.; Wen, Y.; Zhong, J.; Sun, X.-Y. Spectroscopic investigation on Eu3+-doped TeO2−Lu2O3−WO3 optical glasses. J. Non-Cryst. Solids 2021, 554, 120565. [Google Scholar] [CrossRef]
  43. Xie, F.; Li, J.; Dong, Z.; Wen, D.; Shi, J.; Yan, J.; Wu, M. Energy transfer and luminescent properties of Ca8MgLu(PO4)7:Tb3+/Eu3+ as a green-to-red color tunable phosphor under NUV excitation. RSC Adv. 2015, 5, 59830–59836. [Google Scholar] [CrossRef]
  44. Wang, J.; Peng, X.; Cheng, D.; Zheng, Z.; Guo, H. Tunable luminescence and energy transfer in Y2BaAl4SiO12:Tb3+,Eu3+ phosphors for solid-state lighting. J. Rare Earths 2021, 39, 284–290. [Google Scholar] [CrossRef]
  45. Gopi, S.; Jose, S.K.; Sreeja, E.; Manasa, P.; Unnikrishnan, N.V.; Joseph, C.; Biju, P.R. Tunable green to red emission via Tb sensitized energy transfer in Tb/Eu co-doped alkali fluoroborate glass. J. Lumin. 2017, 192, 1288–1294. [Google Scholar] [CrossRef]
  46. Back, M.; Marin, R.; Franceschin, M.; Hancha, N.S.; Enrichi, F.; Trave, E.; Polizzi, S. Energy transfer in color-tunable water-dispersible Tb-Eu codoped CaF2 nanocrystals. J. Mater. Chem. C 2016, 4, 1906–1913. [Google Scholar] [CrossRef] [Green Version]
  47. Kłonkowski, A.M.; Wiczk, W.; Ryl, J.; Szczodrowski, K.; Wileńska, D. A white phosphor based on oxyfluoride nano-glass-ceramics co-doped with Eu3+ and Tb3+: Energy transfer study. J. Alloys Compd. 2017, 724, 649–658. [Google Scholar] [CrossRef]
  48. Li, X.; Peng, Y.; Wei, X.; Yuan, S.; Zhu, Y.; Chen, D. Energy transfer behaviors and tunable luminescence in Tb3+/Eu3+ codoped oxyfluoride glass ceramics containing cubic/hexagonal NaYF4 nanocrystals. J. Lumin. 2019, 210, 182–188. [Google Scholar] [CrossRef]
  49. Binnemans, K. Interpretation of europium(III) spectra. Coord. Chem. Rev. 2015, 295, 1–45. [Google Scholar] [CrossRef] [Green Version]
  50. Wang, X.; Chen, J.; Li, J.; Guo, H. Preparation and luminescent properties of Eu-doped transparent glass-ceramics containing SrF2 nanocrystals. J. Non-Cryst. Solids 2011, 357, 2290–2293. [Google Scholar] [CrossRef]
  51. Yanes, A.C.; Santana-Alonso, A.; Méndez-Ramos, J.; del-Castillo, J.; Rodríguez, V.D. Novel Sol-Gel Nano-Glass-Ceramics Comprising Ln3+-Doped YF3 Nanocrystals: Structure and High Efficient UV Up-Conversion. Adv. Funct. Mater. 2011, 21, 3136–3142. [Google Scholar] [CrossRef]
  52. Velázquez, J.J.; Mosa, J.; Gorni, G.; Balda, R.; Fernández, J.; Pascual, L.; Durán, A.; Castro, Y. Transparent SiO2-GdF3 sol-gel nano-glass ceramics for optical applications. J. Sol-Gel Sci. Technol. 2019, 89, 322–332. [Google Scholar] [CrossRef]
  53. Bao, W.; Yu, X.; Wang, T.; Zhang, H.; Su, C. Tb3+/Eu3+ co-doped Al2O3-B2O3-SrO glass ceramics: Preparation, structure and luminescence properties. Opt. Mater. 2021, 122, 111772. [Google Scholar] [CrossRef]
  54. Ritter, B.; Haida, P.; Fink, F.; Krahl, T.; Gawlitza, K.; Rurack, K.; Scholz, G.; Kemnitz, E. Novel and easy access to highly luminescent Eu and Tb doped ultra-small CaF2, SrF2 and BaF2 nanoparticles—structure and luminescence. Dalton Trans. 2017, 46, 2925–2936. [Google Scholar] [CrossRef]
  55. Chen, D.; Wang, Z.; Zhou, Y.; Huang, P.; Ji, Z. Tb3+/Eu3+:YF3 nanophase embedded glass ceramics: Structural characterization, tunable luminescence and temperature sensing behavior. J. Alloys Compd. 2015, 646, 339–344. [Google Scholar] [CrossRef]
Figure 1. DSC and TG curves of prepared xerogels singly doped with Tb3+ (a), and co-doped with Tb3+/Eu3+ ions (b).
Figure 1. DSC and TG curves of prepared xerogels singly doped with Tb3+ (a), and co-doped with Tb3+/Eu3+ ions (b).
Nanomaterials 12 00259 g001
Figure 2. XRD patterns of prepared sol–gel samples: Tb3+ singly doped materials (a) and Tb3+, Eu3+ co-doped specimens (b). The standard data for the BaF2 cubic phase (ICDD card no. 00-004-0452) are also shown for comparison. TEM images revealed the presence of fluoride crystals in glass-ceramics singly doped with Tb3+ (c) and co-doped with Tb3+, Eu3+ (d).
Figure 2. XRD patterns of prepared sol–gel samples: Tb3+ singly doped materials (a) and Tb3+, Eu3+ co-doped specimens (b). The standard data for the BaF2 cubic phase (ICDD card no. 00-004-0452) are also shown for comparison. TEM images revealed the presence of fluoride crystals in glass-ceramics singly doped with Tb3+ (c) and co-doped with Tb3+, Eu3+ (d).
Nanomaterials 12 00259 g002
Figure 3. ATR-IR spectra recorded for xerogel XGTb/Eu (a) and nano-glass-ceramic nGCTb/Eu (b) co-doped with Tb3+, Eu3+ ions.
Figure 3. ATR-IR spectra recorded for xerogel XGTb/Eu (a) and nano-glass-ceramic nGCTb/Eu (b) co-doped with Tb3+, Eu3+ ions.
Nanomaterials 12 00259 g003
Figure 4. The excitation spectra recorded for Tb3+em = 541 nm) and Eu3+em = 612 nm) ions in fabricated amorphous xerogels. For the latter, the additional lines originated from Tb3+ ions were marked by asterisks (a). The registered luminescence spectra collected for XGTb (green line, λexc = 352 nm) and XGTb/Eu samples (blue line, λexc = 352 nm; red line, λexc = 394 nm). Inset shows the decay curves recorded for the 5D4 state of Tb3+ ions (b).
Figure 4. The excitation spectra recorded for Tb3+em = 541 nm) and Eu3+em = 612 nm) ions in fabricated amorphous xerogels. For the latter, the additional lines originated from Tb3+ ions were marked by asterisks (a). The registered luminescence spectra collected for XGTb (green line, λexc = 352 nm) and XGTb/Eu samples (blue line, λexc = 352 nm; red line, λexc = 394 nm). Inset shows the decay curves recorded for the 5D4 state of Tb3+ ions (b).
Nanomaterials 12 00259 g004
Figure 5. Energy level scheme of Tb3+ and Eu3+ ions.
Figure 5. Energy level scheme of Tb3+ and Eu3+ ions.
Nanomaterials 12 00259 g005
Figure 6. The excitation spectra recorded for Tb3+em = 541 nm) and Eu3+em = 612 nm) ions in prepared SiO2-BaF2 nano-glass-ceramics. For the latter, the additional lines originated from Tb3+ ions were marked by asterisks (a). The registered emission spectra for nGCTb (green line, λexc = 352 nm) as well as nGCTb/Eu glass-ceramics (blue line, λexc = 352 nm; red line, λexc = 394 nm). Inset shows the decay curves recorded for the 5D4 (Tb3+) state in nano-glass-ceramics (b).
Figure 6. The excitation spectra recorded for Tb3+em = 541 nm) and Eu3+em = 612 nm) ions in prepared SiO2-BaF2 nano-glass-ceramics. For the latter, the additional lines originated from Tb3+ ions were marked by asterisks (a). The registered emission spectra for nGCTb (green line, λexc = 352 nm) as well as nGCTb/Eu glass-ceramics (blue line, λexc = 352 nm; red line, λexc = 394 nm). Inset shows the decay curves recorded for the 5D4 (Tb3+) state in nano-glass-ceramics (b).
Nanomaterials 12 00259 g006
Table 1. The parameters from TG analysis for studied sol–gel materials.
Table 1. The parameters from TG analysis for studied sol–gel materials.
SampleNumber of Degradation StepsTemperature Range (°C)Weight Loss (%)
XGTb1st45–2082.75
2nd208–32217.56
XGTb/Eu1st45–2043.56
2nd204–32117.54
Table 2. The parameters from DCS curves recorded for fabricated silicate sol–gel samples.
Table 2. The parameters from DCS curves recorded for fabricated silicate sol–gel samples.
SamplePeak Maximum (°C)Exchanged Heat (J/g)
XGTb305−118.3
XGTb/Eu306−117.9
Publisher’s Note: MDPI stays neutral with regard to jurisdictional claims in published maps and institutional affiliations.

Share and Cite

MDPI and ACS Style

Pawlik, N.; Szpikowska-Sroka, B.; Goryczka, T.; Pietrasik, E.; Pisarski, W.A. Luminescence of SiO2-BaF2:Tb3+, Eu3+ Nano-Glass-Ceramics Made from Sol–Gel Method at Low Temperature. Nanomaterials 2022, 12, 259. https://doi.org/10.3390/nano12020259

AMA Style

Pawlik N, Szpikowska-Sroka B, Goryczka T, Pietrasik E, Pisarski WA. Luminescence of SiO2-BaF2:Tb3+, Eu3+ Nano-Glass-Ceramics Made from Sol–Gel Method at Low Temperature. Nanomaterials. 2022; 12(2):259. https://doi.org/10.3390/nano12020259

Chicago/Turabian Style

Pawlik, Natalia, Barbara Szpikowska-Sroka, Tomasz Goryczka, Ewa Pietrasik, and Wojciech A. Pisarski. 2022. "Luminescence of SiO2-BaF2:Tb3+, Eu3+ Nano-Glass-Ceramics Made from Sol–Gel Method at Low Temperature" Nanomaterials 12, no. 2: 259. https://doi.org/10.3390/nano12020259

APA Style

Pawlik, N., Szpikowska-Sroka, B., Goryczka, T., Pietrasik, E., & Pisarski, W. A. (2022). Luminescence of SiO2-BaF2:Tb3+, Eu3+ Nano-Glass-Ceramics Made from Sol–Gel Method at Low Temperature. Nanomaterials, 12(2), 259. https://doi.org/10.3390/nano12020259

Note that from the first issue of 2016, this journal uses article numbers instead of page numbers. See further details here.

Article Metrics

Back to TopTop